Telefonische Hilfe zur Selbsthilfe: Das Alzheimer-Telefon aus der Sicht der Nutzer:innen
Alexander Kurz 1Ina Maria Fischer 1
Vildan Dogan 1
Carolin Kurz 2
1 Klinik für Psychiatrie und Psychotherapie, Klinikum rechts der Isar, Technische Universität München, Deutschland
2 Klinik für Psychiatrie und Psychotherapie, LMU Klinikum, München, Deutschland
Zusammenfassung
Hintergrund: Zu den Unterstützungsmöglichkeiten für Angehörige von Menschen mit Demenz zählt die telefonische Beratung. Seit 2002 bietet die Deutsche Alzheimer Gesellschaft Selbsthilfe Demenz e.V. mit ihrem Alzheimer-Telefon telefonische Beratung rund um Demenz kostenlos und bundesweit an. Qualität und Nutzen solcher Dienste wurden hierzulande bisher selten untersucht.
Methoden: Die vorliegende Studie zur kostenlosen Beratung am Alzheimer-Telefon der Deutschen Alzheimer Gesellschaft untersuchte, inwieweit die Beratungsleistung Qualitätskriterien telefonischer Beratungsangebote sowie den Erwartungen und Bedürfnissen der Ratsuchenden entspricht. Hierzu wurde ein Online-Fragenkatalog konzipiert, auf den die Anrufenden im Nachgang an das Beratungsgespräch Zugriff hatten.
Ergebnisse: Von den 201 Teilnehmer:innen waren 80% weiblich; das Durchschnittsalter der Anrufer lag bei 51 Jahren. Bei 74% der Fälle handelte es sich um einmalige Beratungen, 26% der Anrufer suchten zweimal oder öfter Rat. Zu den häufigsten Gründen für den Anruf gehörten Verhaltensänderungen (45%) und die Suche nach einem Pflegeheim (41%). Andere Familienmitglieder waren signifikant (p=0.036) häufiger auf der Suche nach örtlichen Betreuungsmöglichkeiten. Auf Basis der 201 ausgewerteten Online-Fragebögen ergab sich eine hohe allgemeine Zufriedenheit der überwiegenden Mehrheit der Anrufenden mit den Beratungsgesprächen. Insbesondere mit dem wertschätzenden und empathischen Kommunikationsstil der Berater:innen sowie deren fachlicher Kompetenz waren die Ratsuchenden besonders zufrieden. Dies galt ebenso für die Erreichbarkeit des Telefons. Die Erwartungen der Anrufer:innen an den Anruf waren breit gestreut und reflektierten die vielfältigen Lebensbereiche, die im Rahmen einer Demenz betroffen sein können. Mehr als 75% der Anrufenden waren mit der Qualität der erhaltenen Informationen voll zufrieden. Knapp die Hälfte der Anrufenden waren sich sicher, dass die Beratung zur Lösung ihres Anliegens beitragen würde. 14% der Ratsuchenden war sich jedoch unsicher, inwieweit es ihnen gelingen würde, die besprochenen Lösungswege umzusetzen. Was es zusätzlich braucht, um die in der Beratung besprochenen Entlastungs- und Lösungsvorschläge umzusetzen, wäre eine weitere Erhebung wert. Untersucht werden könnten dafür die Rückmeldungen von Angehörigen, die das Alzheimer-Telefon wiederholt nutzen – die Wiederholungsrate liegt derzeit bei 25%, Tendenz steigend. Dies könnte interessant sein sowohl für die Beratung als auch für die Weiterentwicklung entsprechender Unterstützungsangebote. Verbesserungsmöglichkeiten des Alzheimer-Telefons könnten in dem verstärkten Angebot von Folgegesprächen, einem Fokus auf Angehörige mit besonderem Unterstützungsbedarf (bspw. frühe Diagnose oder nicht verwandte Personen, Personen mit Migrationshintergrund) und der Intensivierung der Zusammenarbeit mit nachgeschalteten Beratungsformen am Wohnort der Anrufenden bestehen.
Schlussfolgerung: Die telefonische Beratung ist ein nützlicher Baustein der Demenzversorgung in Deutschland und ein wichtiger Beitrag im Rahmen der Nationalen Demenzstrategie – insbesondere im Hinblick auf den besonderen Bedarf an Information und Beratung von Angehörigen mit einer Demenzerkrankung.
Schlüsselwörter
Demenzversorgung, Telefonberatung, Deutsche Alzheimer Gesellschaft, Qualitätsprüfung
1 Einleitung
Die Prävalenz von Menschen mit Demenz in Deutschland wird aktuell auf rund 1,6 Mio. geschätzt, die Inzidenz auf 300.000 Neuerkrankungen pro Jahr [1]. Rund drei Viertel der Menschen mit Demenz werden in Europa durch Familienangehörige oder andere Nahestehende versorgt [2]. Bei den pflegenden Angehörigen handelt es sich meist um die Lebenspartner:innen (46%) oder um die Kinder (45%), in der Mehrzahl um Frauen (80%); das Durchschnittsalter beträgt 64 Jahre; ein Drittel der pflegenden Angehörigen ist zusätzlich noch berufstätig [3], [4]. Es ist zu erwarten, dass der Anteil der Alleinstehenden – insbesondere der Anteil der alleinstehenden Frauen – mit Demenz durch Scheidung, Wegzug und die niedrige Geburtenrate in den nächsten Jahren steigen wird, weswegen immer häufiger auch nicht verwandte Personen oder entferntere Verwandte einen Menschen mit Demenz versorgen [2]. Der durchschnittliche zeitliche Aufwand der Pflege beträgt 7,5 Stunden pro Tag; 66% der Angehörigen pflegen ihre:n Angehörige:n für die Dauer von einem Jahr, 33% mehr als fünf Jahre lang [5], [6]. Die Bezugspersonen nehmen eine große psychische, soziale, organisatorische und finanzielle Last auf sich, oft mit negativen Folgen für ihre eigene körperliche und seelische Gesundheit [7], [8]. Primäre Stressoren stellen die Dauer der Angehörigenpflege und deren zeitlicher Aufwand dar, weiterhin häufige neuropsychiatrische Symptome der Demenz wie Apathie, Aggression, Unruhe, Enthemmung und psychotisches Erleben [5]. Pflegende Angehörige von Menschen mit Demenz weisen ein signifikant höheres Risiko als die Allgemeinbevölkerung auf, an einer Depression, Angststörung, Suchterkrankung oder Schmerzstörung zu erkranken; auch das kardiovaskuläre Risiko ist deutlich erhöht [9]. Die psychische wie physische Gesundheit der Angehörigen hat direkte Konsequenzen für den Gesundheitszustand der Personen mit Demenz [9]. Aber nicht alle Angehörigen werden selbst krank; die Bewältigung der Angehörigenpflege ist als komplexer Anpassungsprozess zu verstehen; dabei stellen das Wissen um die Erkrankung und um das Unterstützungsangebot, die Anwendung von Problemlösestrategien und das Gefühl von Selbstwirksamkeit wichtige Faktoren für eine positive Bewältigung der Pflegeaufgaben eines Menschen mit Demenz dar [9]. Pflegende Angehörige haben einen hohen Bedarf an Information, Beratung und Unterstützung [10]. Da häufig die Hausarztpraxis der Eintrittspunkt in das medizinisch-soziale Versorgungssystem darstellt, müssen Ärztinnen und Ärzte über die vorhandenen Versorgungsmöglichkeiten gut informiert sein [11]. Die Beratung per Telefon stellt eine wichtige Hilfsmöglichkeit für pflegende Angehörige dar [12]. Sie ist kostenlos, leicht zugänglich und zeitlich flexibel und auch in Zeiten der Covid-19-Pandemie einsetzbar [13], [14]. Sie erfüllt wichtige Informationsbedürfnisse, kann depressive Symp-tome vermindern, zur Inanspruchnahme von Unterstützungs- und Beratungsangeboten von Angesicht zu Angesicht informieren, motivieren und die Suche nach geeigneten Anlaufstellen erleichtern [15], [16]. Qualität und Nutzen telefonischer Beratungsmöglichkeiten auf dem Gebiet der Demenz wurden in Deutschland bisher selten untersucht [17].
Das bundesweit operierende „Alzheimer-Telefon“ der Deutschen Alzheimer Gesellschaft nimmt jährlich etwa 5.500–6.000 Anrufe bzw. auch E-Mail-Anfragen entgegen und wird seit 2002 durch das Bundesministerium für Familie, Senioren, Frauen und Jugend gefördert [18]. Das Beratungsspektrum ist breit und umfasst Informationen zu Ursachen, Formen, Diagnose und Behandlungsmöglichkeiten der Demenz. Außerdem erhalten Angehörige Basiswissen zu Kommunikation und zum Umgang mit herausfordernden Verhaltensweisen. Ebenso umfasst die Beratung rechtliche und finanzielle Fragen sowie Hilfsmöglichkeiten am Wohnort. In 75% handelt es sich um einmalige Gespräche; etwa 25% der Ratsuchenden rufen zweimal oder öfter an. Ein Teil des Beratungsteams verfügt neben seiner beruflichen Qualifikation (soziale Arbeit, Sozialwissenschaft, Psychologie oder psychiatrische Pflege) selbst über Erfahrungen als pflegende Angehörige. Die Beratungsqualität wird durch regelmäßige Teamsitzungen, kontinuierliche Supervision sowie durch externe Fortbildungen gesichert. Die Nationale Demenzstrategie hebt die Wichtigkeit dieses telefonischen Beratungsdienstes hervor [19].
Bisher wurde aber nicht untersucht, ob das Alzheimer-Telefon den Erwartungen und Bedürfnissen der Ratsuchenden entspricht. In der vorliegenden Arbeit berichten wir über die Evaluation des Alzheimer-Telefons anhand einer Online-Befragung von 201 Nutzer:innen im Nachgang an die telefonischen Beratungsgespräche. Aus den Ergebnissen sollen Verbesserungsvorschläge abgeleitet werden, die auch für ähnliche Beratungsdienste hilfreich sein können.
2 Methode
Für die Erhebung des globalen Nutzer:innenurteils wurde der Fragebogen zur Patientenzufriedenheit (ZUF-8) [20] an den Kontext der telefonischen Beratung angepasst. Der Summenwert der 8 jeweils vierstufig skalierten Items liegt zwischen 8 (geringste Zufriedenheit) und 32 (höchste Zufriedenheit). Um die Bewertung einzelner Beratungsaspekte zu erfassen [21], entwickelten wir in Ermangelung eines geeigneten deutschsprachigen Instruments einen eigenen Fragebogen (siehe Anhang 1 [Anh. 1]). In Anlehnung an das Qualitätsmodell im Gesundheitswesen [22] wird die Beratungsleistung mit insgesamt 13 jeweils 5-stufig skalierten Items im Hinblick auf strukturelle Bedingungen (Erreichbarkeit des Alzheimer-Telefons), Beratungsprozess (Gesprächsverhalten der Beratenden, Wertschätzung, zeitliche Flexibilität, Empathie, genaue Erfassung des Anliegens, Umgang mit den Grenzen des eigenen Wissens, lösungsorientierte Gesprächsführung, fachliche Kompetenz) und Ergebnis des Gesprächs (Qualität der erhaltenen Information, Aufzeigen nächster Handlungsschritte, praktische Umsetzbarkeit der Lösungsvorschläge, Beitrag zur Bewältigung des aktuellen Problems) beurteilt. In einem Freitextfeld konnten die Studienteilnehmer:innen zusätzlich Anregungen und Verbesserungsvorschläge zum Alzheimer-Telefon geben. Die Datenerhebung erfolgte zwischen dem 1. Februar 2022 und dem 28. April 2022 online mit Hilfe der Umfrage-Applikation Limesurvey. Unmittelbar nach dem telefonischen Beratungsgespräch erhielten die Anrufenden, die ihre Zustimmung dafür erteilt hatten, per E-Mail Zugang zu dem Fragebogen. In die Studie eingeschlossen wurden Angehörige oder Nahestehende einer Person mit Demenz als Hauptzielgruppe des Alzheimer-Telefons. Nicht in die Untersuchung aufgenommen wurden Menschen mit Demenz sowie Fachkräfte aus dem Bereich der Demenzversorgung. Für die Studie liegt eine Unbedenklichkeitserklärung durch die Ethikkommission bei der Ludwigs-Maximilians-Universität (Projektnummer 23-0316 KB) vor. Gruppenunterschiede bzgl. metrischer Variablen wurden mit einer einfachen Varianzanalyse berechnet. Unterschiede in der Verteilung zwischen ordinal skalierten Variablen wurden mit einem Kruskal-Wallis-Test berechnet. Es erfolgte eine Korrektur für multiples Testen nach Bonferroni. Effektgrößen zwischen nominal skalierten und metrischen Variablen wurden mit dem Eta-Koeffizienten berechnet; Effektgrößen zwischen nominal und ordinal skalierten Variablen wurden mit dem Phi-Koeffizienten berechnet. Effektgrößen wurden als klein (0,1), mittel (0,2) und stark (0,3) gewertet [23]. Die Daten wurden mit dem Statistical Package for the Social Sciences (SPSS) Version 27 ausgewertet.
3 Ergebnisse
Beschreibung der Nutzer:innen
An der Online-Befragung nahmen insgesamt 205 Anrufende teil. Vier von ihnen wurden ausgeschlossen, weil sie angegeben hatten, das Alzheimer-Telefon zu Ausbildungszwecken kontaktiert zu haben. Mit etwa drei Viertel der Anrufenden (74%) stellten Kinder oder Schwiegerkinder die größte Angehörigengruppe dar, bei 13% handelte es sich um andere Verwandte, bei 8% um Eheleute oder Lebensgefährt:innen, 5% waren nicht verwandte Personen (Abbildung 1 [Abb. 1]). Von den übrigen 201 Teilnehmenden waren 80% weiblich; das Durchschnittsalter betrug 51 Jahre (Tabelle 1 [Tab. 1], Abbildung 2 [Abb. 2]). Es gab fünf Gruppen von Anrufer:innen: Kinder, Schwiegerkinder, (Ehe-)Partner:innen, andere Verwandte und nicht verwandte Personen.
Abbildung 1: Beziehung zur Person mit Demenz
Tabelle 1: Beschreibung der Anrufer:innen
Abbildung 2: Alters- und Geschlechtsverteilung der Anrufer:innen
Partner:innen der Person mit Demenz waren mit im Durchschnitt 69 Jahren signifikant (p<0.001) älter als (Schwieger-)Kinder (Mittel 51 bzw. 52 Jahre) oder sonstige Angehörige (Mittel 42 Jahre) oder nicht verwandte Personen (Mittel 54 Jahre). Zwischen den einzelnen Anrufer:innengruppen gab es keine signifikanten Unterschiede in der Geschlechterverteilung (Abbildung 2 [Abb. 2]). Etwa die Hälfte (47%) der Teilnehmenden waren die Hauptversorgenden der Person mit Demenz; dabei waren die (Ehe-)Partner:innen signifikant häufiger (p<0.001) die Hauptverantwortlichen für die Person mit Demenz.
Die häusliche Situation unterschied sich bei den Anrufer:innen: 91% lebten nicht in demselben Haushalt wie die Person mit Demenz, Ehepartner:innen lebten signifikant (p<0.001) häufiger mit der Person mit Demenz zusammen.
Die Häufigkeit des persönlichen Kontakts mit der betroffenen Person wurde bei 22% der Anrufenden mit täglich, bei 36% mit einmal oder mehrmals wöchentlich, und bei 31% mit einmal pro Monat oder seltener angegeben. Dabei hatten (Ehe-)Partner:innen signifikant (p<0.001) häufiger Kontakt mit den Personen mit Demenz als sonstige Verwandte und nicht verwandte Angehörige. Bei fast der Hälfte der Anrufenden in allen Gruppen handelte es sich um Akademiker (49%).
Gründe für Kontaktaufnahme
Die häufigsten Gründe für den Anruf beim Alzheimer-Telefon waren vielschichtig und stellten besondere Belastungen für die Angehörigen wie Verhaltensänderungen (45%) und die Suche nach einem Pflegeheim (41%) dar. Weniger häufig wurden rechtliche Themen (27%) sowie die Suche nach Ansprechpartner:innen am Wohnort (26%) und Entlastungsmöglichkeiten (24%) genannt (Tabelle 2 [Tab. 2], Abbildung 3 [Abb. 3]). Selten genannte Gründe des Anrufs stellten finanzielle Fragen (4%) sowie Fragen zur Pflegeversicherung (9%) und zur ambulanten Pflege (14%) dar. Sonstige Verwandte suchten signifikant (p=0.036) häufiger nach Entlastungsmöglichkeiten vor Ort.
Tabelle 2: Gründe des Anrufs (Mehrfachnennung möglich, n=201)
Abbildung 3: Gründe für den Anruf (mehrere Antwortmöglichkeiten, n=201; Abbildung in [%])
Strukturelle Bedingungen
Die meisten Anrufer:innen (74%) führten ein Gespräch; lediglich die Partner:innen führten signifikant (p=0.042) öfter zwei Gespräche. Die Dauer der Beratungsgespräche lag zwischen 17 und 40 Minuten (25. und 75. Perzentil) mit einem Durchschnitt von 29 Minuten. Hinsichtlich der Dauer des Beratungsgesprächs gab es keine Unterschiede zwischen den Gruppen von Anrufern (Tabelle 3 [Tab. 3]). Bei mehr als zwei Dritteln (69%) der Ratsuchenden war nur ein Anrufversuch erforderlich, um eine:n Berater:in zu erreichen. Lediglich 14% benötigten zwei und 17% sogar mehr Anrufe, um innerhalb einer vertretbaren Wartezeit zu eine:m Berater:in durchzukommen. Insgesamt 93% waren mit der Erreichbarkeit des Alzheimer-Telefons zufrieden oder sehr zufrieden; der überwiegende Teil (93%) der Anrufer:innen würde das Alzheimer-Telefon erneut kontaktieren (Tabelle 4 [Tab. 4]).
Tabelle 3: Strukturelle Bedingungen
Tabelle 4: Zufriedenheit mit Beratungsgespräch
Beratung insgesamt
Auf dem ZUF-8 bildete sich insgesamt ein hoher Grad der Zufriedenheit ab; der Summenwert betrug im Mittel 30 von maximal 32 Punkten (Tabelle 4 [Tab. 4]). Jeweils 99% der Befragten sagten aus, sie würden das Alzheimer-Telefon im Fall eines Problems erneut kontaktieren und einer oder einem Bekannten in einer ähnlichen Situation empfehlen. Lediglich 0,5–1% würden dies nicht tun. 2% der Anrufenden gaben an, dass die Beratung nicht ihren Bedürfnissen entsprochen habe und dass sie mit dem Ausmaß an Hilfe, das sie erhalten haben, nicht zufrieden waren. Eher zufrieden und sehr zufrieden waren über 98% der Studienteilnehmenden (ZUF-8>24). Die nicht voll zufriedenen Anrufer:innen (n=9) waren mit im Durchschnitt 45 Jahren tendenziell jünger (p=0.05 bei allerdings niedrig ausgeprägter Effektstärke) und hatten sich häufiger wegen eines Problems außerhalb der oben aufgeführten Hauptfragestellungen an das Alzheimer-Telefon gewandt (Tabelle 5 [Tab. 5]).
Tabelle 5: Charakterisierung nicht voll zufriedener Anrufer:innen
Beurteilung der Prozessqualität
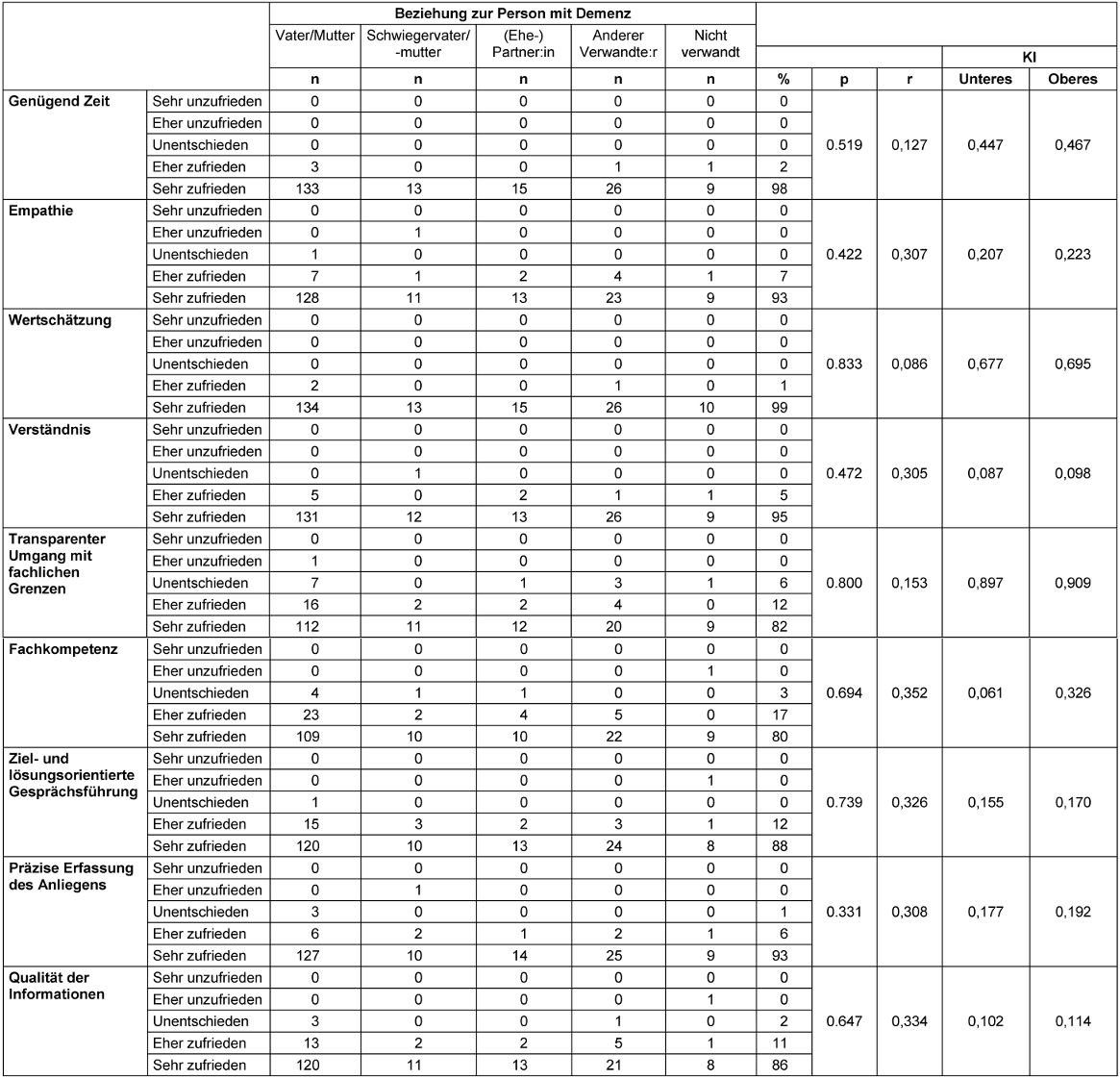
Das Urteil der Teilnehmenden im Hinblick auf den Gesprächsverlauf und die Gesprächsatmosphäre war überwiegend positiv. Insgesamt war die Mehrzahl der Anrufenden in allen Anrufer:innengruppen zufrieden mit der Qualität des Beratungsgesprächs, dem angebotenen Hilfsangebot und der Art der Beratung (Tabelle 6 [Tab. 6]). Mehr als 90% der Anrufenden verliehen der von den Beraterinnen und Beratern gegebenen Wertschätzung, der eingeräumten Zeit, ihrer Empathie und der Genauigkeit der Problemerfassung Bestnoten. Nicht ganz so überzeugt waren einige der Teilnehmenden jedoch von der Zielgerichtetheit des Gesprächs und der transparenten Darstellung der Möglichkeiten und Grenzen der telefonischen Beratung. 20% der Ratsuchenden schilderten den Eindruck, dass die oder der Beratende ihre Fragen nicht vollständig beantwortet habe. Es gab keine Unterschiede zwischen den Anrufer:innengruppen bzgl. der Zufriedenheit mit dem Beratungsprozess.
Tabelle 6: Beurteilung der Prozessqualität (n=201)
Beurteilung der Ergebnisqualität auf der sachlichen Ebene
Die überwiegende Mehrzahl der Anrufer:innen konstatierte eine empathische und wertschätzende Gesprächsführung der Berater:innen. 86% der Anrufenden stimmten voll zu, dass die erhaltenen Informationen hilfreich waren (Tabelle 7 [Tab. 7]). Für 75% der Anrufenden zeigte die Beratung die nächsten Schritte für sie auf; lediglich 5% waren unentschieden oder zweifelten daran, dass sie durch die Beratung mehr Handlungskompetenz erhalten haben.
Tabelle 7: Beurteilung der Ergebnisqualität (n=201)
Beurteilung der Ergebnisqualität auf der emotionalen Ebene
Etwa die Hälfte der Anrufenden (48%) äußerte sich voll zuversichtlich, dass die Lösungsvorschläge für sie realisierbar seien und einen Beitrag zur Lösung des vorliegenden Problems darstellten. Auch gab die Mehrheit der Anrufer:innen an, sich nach dem Beratungsgespräch erleichtert zu fühlen (Tabelle 7 [Tab. 7]). 30% schilderten, dass sie sich nach dem Beratungsgespräch sicherer im Umgang mit der Person mit Demenz fühlten. Negative Gefühle wie Unsicherheit, Hoffnungslosigkeit oder Stress wurden in allen Anrufer:innengruppen überwiegend verneint. Die Anrufer empfanden die Beratung als angemessen und schätzten den Spagat des Beraters zwischen zu persönlicher und zu unpersönlicher Beratung (Tabelle 8 [Tab. 8]).
Tabelle 8: Gründe für Unzufriedenheit [%]
4 Diskussion
Die telefonische Beratung pflegender Angehöriger stellt eine niederschwellig nutzbare, kostenfreie und prinzipiell für jede:n zugängliche Möglichkeit dar, Angehörige bei der Betreuung einer Person mit Demenz zu unterstützen. Die Beratung von Angehörigen einer Person mit Demenz stellt aufgrund der vielen Lebensbereiche, die sich im Verlauf der Demenz verändern können, eine äußerst komplexe Angelegenheit dar. Die Frage des Forschungsprojektes war, ob die Beratungsarbeit des Alzheimer-Telefons den Ansprüchen pflegender Angehöriger entspricht, was eine gute Telefonberatung ausmacht und wann ein Beratungsgespräch als gelungen anzusehen ist.
Die Ergebnisse der Studie zeichnen aus der Sicht der Nutzer:innen ein sehr positives Bild der Beratung am Alzheimer-Telefon. Die weitaus meisten der Befragten attestierten dem Beratungsgespräch eine ausgezeichnete Qualität, bezeichneten die erhaltenen Informationen als hilfreich, würden das telefonische Beratungsangebot Bekannten empfehlen und gegebenenfalls selbst erneut in Anspruch nehmen. Auch äußerten sich die Teilnehmenden sehr anerkennend zu den strukturellen Merkmalen des telefonischen Beratungsangebotes wie dessen Erreichbarkeit, ebenso zu den meisten Aspekten der Gesprächsführung durch die Beratenden.
Die Untersuchung wirft auch ein Licht auf die Herausforderungen eines telefonischen Beratungsdienstes auf dem Gebiet der Demenz. Um dem breiten Spektrum an Fragen und Problemen gerecht zu werden, die an die Beratenden herangetragen werden, ist im Grunde eine umfassende medizinische, psychologische, sozialpädagogische, juristische Qualifikation sowie ökonomisches Hintergrundwissen erforderlich, die ein:e einzelne:r Mitarbeiter:in kaum aufbringen kann. Umso erstaunlicher ist, dass die Berater:innen diese großen Anforderungen in der Regel erfüllen konnten und dass es ihnen nur in wenigen Fällen nicht gelang, den Bedürfnissen der Anrufenden in vollem Umfang zu entsprechen. Um ein derart hohes Beratungsniveau zu erhalten, scheinen die kontinuierliche Supervision, die Fallbesprechungen sowie regelmäßige Besprechungen innerhalb des Beratungsteams einen wichtigen Beitrag zu leisten. Das Team des Alzheimer-Telefons hat zudem seit seinem Bestehen kontinuierlich an einer digitalen Datenbank gearbeitet. Diese wird bis heute mit neuen Informationen ergänzt, insbesondere zu seltenen und herausfordernden Beratungsanfragen.
Ein gutes Beratungsgespräch zeichnet sich durch das richtige Maß zwischen zu viel und zu wenig Information, übermäßig distanzierter oder allzu persönlicher Kommunikationsweise sowie Überschreitung der Kompetenzgrenzen und vorschneller Weiterverweisung aus. Den Beraterinnen und Beratern des Alzheimer-Telefons gelang es in der Regel gut, diesen Mittelweg einzuhalten. Das Ziel der Beratung am Alzheimer-Telefon bestand oft darin, den Ratsuchenden einen Weg zur Bewältigung eines aktuellen, oft komplexen Problems zu weisen und einen nächsten Handlungsschritt aufzuzeigen. Auf diese Weise soll im Sinne der Hilfe zur Selbsthilfe die Fähigkeit der Anrufenden erhöht werden, die Probleme aus eigener Kraft zu meistern.
Bei der Beurteilung der Ergebnisqualität auf der emotionalen Ebene zeigten sich Zweifel, inwieweit sich die Vorschläge in der Lebenspraxis realisieren lassen und einen Beitrag zur Lösung des Anliegens darstellen. Und doch kann gerade diese Unsicherheit einen weiteren Hinweis zur Optimierung des Beratungsangebotes geben: Wie können Ratsuchende noch wirksamer dabei unterstützt werden, die Lösungsvorschläge in die Tat umzusetzen, Hilfsmöglichkeiten am Wohnort zu mobilisieren, die notwendigen Kooperationspartner einzubeziehen oder auf eine alternative Strategie umzuschalten, wenn sich der bisher eingeschlagene Weg als nicht gangbar erweist? Hier bietet sich einerseits an, ein Folgegespräch vorzuschlagen, andererseits auf die Möglichkeit der persönlichen Beratung am Wohnort hinzuweisen. Darüber hinaus könnte die langjährige und ständig wachsende Erfahrung der Mitarbeitenden beim Alzheimer-Telefon auf Schulungsveranstaltungen an regional tätige Beratende weitergegeben werden. Langfristig könnte daraus ein bundesweites Beratungsnetz mit gemeinsamen Strategien und Zielen entstehen. Die Last der Umsetzung der Vorschläge aus der Beratung liegt jedoch bei den Anrufer:innen. Weiterhin sollte untersucht werden, was für die pflegenden Angehörigen Hürden für die Umsetzung der Beratung darstellt.
Einige Einschränkungen der vorliegenden Studie dürfen nicht unerwähnt bleiben:
Der Anteil von Frauen in unserer Stichprobe (80%) ist etwas höher als in einer aktuellen bundesweiten Erhebung an Angehörigen mit Pflegeerfahrung (72%), so dass die Anliegen männlicher Angehöriger von Personen mit Demenz in der vorliegenden Auswertung unterrepräsentiert sind [24]. Die Nutzerdaten des Alzheimer-Telefons bestätigen, dass der größte Teil der informellen Versorgung von Menschen mit Demenz auf den Schultern von Frauen liegt [25].
Das Format der Online-Befragung erlaubte es zwar, mit geringem Aufwand eine große Zahl von Anrufenden zu erreichen, andererseits schloss dieses Verfahren pflegende Angehörige von der Teilnahme aus, die keine E-Mail-Adresse besaßen. Das ist eine mögliche Erklärung dafür, dass die Studienteilnehmenden mit einem Durchschnittsalter von 51 Jahren verhältnismäßig jung waren und in der weit überwiegenden Mehrzahl nicht mit der Person mit Demenz in einem Haushalt zusammenlebten. Es könnte sein, dass die Beratung durch das Alzheimer-Telefon von älteren Angehörigen, von (Ehe-)Partner:innen anders beurteilt wird als von den Angehörigen, die sich von einer räumlichen Distanz aus kümmern. Durch die digitale Umfrageanwendung, gegenüber der bei etwas älteren Teilnehmer:innen eventuell Berührungsängste bestehen, könnte es zu einem Verzerrungseffekt gekommen sein. Aus der vorliegenden Auswertung ergaben sich Hinweise, dass sich unter den weniger zufriedenen Anrufer:innen tendenziell Jüngere befanden, die eventuell ein anderes Beratungsspektrum suchen. Wichtige Einflussgrößen wie die Art der Demenz oder weitere Informationen zum Krankheitsbild, ein Migrationshintergrund, die Dauer der Pflege oder die Berufstätigkeit der Angehörigen wurden allerdings nicht erhoben [4], [5], [26]. Diese Informationen sollten im Rahmen eines weiteren Forschungsprojekts erfasst werden, um die Beratung gezielter anpassen zu können. Auch das technische Kommunikationsmedium, also das Telefon, wurde nicht thematisiert. Der Bedarf nach einem ergänzenden Angebot beispielsweise in der Form von Online-Videokonferenzen oder Tutorials wurde nicht abgefragt.
Zusammenfassend stellten die Nutzerinnen und Nutzer dem am weitesten verbreiteten telefonischen Beratungsdienst für Angehörige von Menschen mit Demenz in Deutschland ein sehr gutes Zeugnis aus. Sie waren mit den organisatorischen Gegebenheiten des Alzheimer-Telefons, dem Kommunikationsverhalten der Beratenden, ihrer fachlichen Kompetenz, der Qualität der erhaltenen Information und der Nützlichkeit des Beratungsgesprächs in hohem Maß zufrieden. Die positive Bewertung zeigt, dass die Beratung durch das Alzheimer-Telefon ein nützlicher und im Alltag umsetzbarer Baustein der Demenzversorgung in Deutschland und ein wichtiger Beitrag zur Nationalen Demenzstrategie ist. Die Ergebnisse der vorliegenden Studie können dazu beitragen, diese bedeutende Dienstleistung weiter zu erhalten und zu verbessern.
Kernaussagen
- Die Nationale Demenzstrategie hebt die persönliche Beratung am Telefon als wichtige Hilfsmöglichkeit für pflegende Angehörige von Menschen mit Demenz hervor.
- Ein solches Angebot ist das seit 2002 bestehende Alzheimer-Telefon der Deutschen Alzheimer Gesellschaft e.V., das bundesweit kostenlose Beratung rund um das Thema Demenz anbietet.
- In einer Online-Befragung von 201 Nutzer:innen wurde untersucht, inwiefern dieser Service den Qualitätskriterien telefonischer Hilfsangebote und den Bedürfnissen der Anrufenden entspricht.
- Die weit überwiegende Mehrheit der Teilnehmenden ist mit der Erreichbarkeit und Qualität der Beratung, dem Kommunikationsstil der Beratenden und der erhaltenen Hilfe sehr zufrieden.
- Die telefonische Beratung ist ein nützlicher Bestandteil der Demenzversorgung und kann ratsuchenden Angehörigen von Menschen mit Demenz empfohlen werden.
- Die Art der Auswertung mit einem digitalen Fragebogen sollte überdacht werden, da es einen Verzerrungseffekt der Teilnehmenden gegeben haben könnte.
- Die Zielsetzung des Gesprächs und die Darstellung der Möglichkeiten und Grenzen der telefonischen Beratung sollten transparent kommuniziert werden.
- Allgemeinmediziner:innen sollten über das Beratungsangebot informiert sein.
- Die Angebote für spezielle Gruppen von pflegenden Angehörigen (jüngere Angehörige) sollten ausgebaut werden.
- Informationen zu den Personen mit Demenz sollten im Rahmen eines weiteren Forschungsprojekts gezielt erhoben werden, um den Bedarf gezielter anzupassen.
- Ein bundesweites Beratungsnetzwerk für pflegende Angehörige mit gemeinsamen Strategien und Zielen sollte gebildet werden.
Abkürzungen
- KI: Konfidenzintervall
- n.a.: nicht anwendbar
- n: Nummer
- r: Effektstärke
- SD: Standardabweichung
Anmerkungen
Dankworte und Förderung
Diese Arbeit ist Professor Dr. med. Alexander Kurz gewidmet (1950–2023), der die Fertigstellung leider nicht mehr erleben durfte und dessen letzte wissenschaftliche Arbeit dies nach über 350 Publikationen darstellt.
Wir bedanken uns bei Frau Helga Schneider-Schelte für die Unterstützung bei der Erstellung des Fragebogens und bei Lea Pfäffel für das Korrekturlesen des Manuskripts. Die Evaluierung des Alzheimer-Telefons wurde von der Stiftung Porticus gefördert und erfolgte durch ein multiprofessionelles Team an der Psychiatrischen Klinik des Klinikums rechts der Isar.
Ethikvotum
Für die Studie liegt eine Unbedenklichkeitserklärung durch die Ethikkommission bei der Ludwigs-Maximilians-Universität, München, Deutschland (Projektnummer 23-0316 KB), vor.
Interessenkonflikte
AK war bis zu seinem Tod Mitglied des Vorstands der Deutschen Alzheimer Gesellschaft. IMF, VD und CK geben an, keine Interessenskonflikte zu haben.
Literatur
[1] Deutsche Alzheimer Gesellschaft. Die Häufigkeit von Demenzerkrankungen. Informationsblatt 1. Berlin; 2022. Available from: https://www.deutsche-alzheimer.de/fileadmin/Alz/pdf/factsheets/infoblatt1_haeufigkeit_demenzerkrankungen_dalzg.pdf[2] Eichler T, Hoffmann W, Hertel J, Richter S, Wucherer D, Michalowsky B, Dreier A, Thyrian JR. Living Alone with Dementia: Prevalence, Correlates and the Utilization of Health and Nursing Care Services. J Alzheimers Dis. 2016;52(2):619-29. DOI: 10.3233/JAD-151058
[3] Alzheimer-Europe. Alzheimer Europe Yearbook 2019. Estimating the prevalence of dementia in Europe. Luxembourg: Alzheimer Europe; 2019.
[4] Brodaty H, Donkin M. Family caregivers of people with dementia. Dialogues Clin Neurosci. 2009;11(2):217-28. DOI: 10.31887/DCNS.2009.11.2/hbrodaty
[5] Cheng ST. Dementia Caregiver Burden: a Research Update and Critical Analysis. Curr Psychiatry Rep. 2017 Aug;19(9):64. DOI: 10.1007/s11920-017-0818-2
[6] Michalowsky B, Thyrian JR, Eichler T, Hertel J, Wucherer D, Flessa S, Hoffmann W. Economic Analysis of Formal Care, Informal Care, and Productivity Losses in Primary Care Patients who Screened Positive for Dementia in Germany. J Alzheimers Dis. 2016;50(1):47-59. DOI: 10.3233/JAD-150600
[7] Bestmann B, Wüstholz E, Verheyen F. Pflegen: Belastung und sozialer Zusammenhalt. Eine Befragung zur Situation von pflegenden Angehörigen. Hamburg: Wissenschaftliches Institut der Techniker Krankenkasse für Nutzen und Effizienz im Gesundheitswesen; 2014. (WINEG-Wissen; 04).
[8] Pinquart M, Sörensen S. Differences between caregivers and noncaregivers in psychological health and physical health: a meta-analysis. Psychol Aging. 2003 Jun;18(2):250-67. DOI: 10.1037/0882-7974.18.2.250
[9] Kunzler A, Skoluda N, Nater U. Die Bedeutung von Resilienzfaktoren für pflegende Angehörige von Demenzpatienten – eine Übersicht zu ausgewählten Faktoren [The Role of Resilience Factors in Informal Caregivers of Dementia Patients - A Review on Selected Factors]. Psychother Psychosom Med Psychol. 2018 Jan;68(1):10-21. DOI: 10.1055/s-0043-118652
[10] Queluz FNFR, Kervin E, Wozney L, Fancey P, McGrath PJ, Keefe J. Understanding the needs of caregivers of persons with dementia: a scoping review. Int Psychogeriatr. 2020 Jan;32(1):35-52. DOI: 10.1017/S1041610219000243
[11] Wangler J, Jansky M. Welche Einwirkungsmöglichkeiten sehen Hausärzt*innen bei Demenzerkrankungen? Ergebnisse einer qualitativen Studie. Präv Gesundheitsf. 2022;17:51-8. DOI: 10.1007/s11553-021-00834-z
[12] Waller A, Dilworth S, Mansfield E, Sanson-Fisher R. Computer and telephone delivered interventions to support caregivers of people with dementia: a systematic review of research output and quality. BMC Geriatr. 2017 Nov;17(1):265. DOI: 10.1186/s12877-017-0654-6
[13] Coman GJ, Burrows GD, Evans BJ. Telephone Counselling in Australia: Applications and considerations for use. Br J Guid Counc. 2001;29:247-58. DOI: 10.1080/03069880124904
[14] Lai FH, Yan EW, Yu KK, Tsui WS, Chan DT, Yee BK. The Protective Impact of Telemedicine on Persons With Dementia and Their Caregivers During the COVID-19 Pandemic. Am J Geriatr Psychiatry. 2020 Nov;28(11):1175-84. DOI: 10.1016/j.jagp.2020.07.019
[15] Lins S, Hayder-Beichel D, Rücker G, Motschall E, Antes G, Meyer G, Langer G. Efficacy and experiences of telephone counselling for informal carers of people with dementia. Cochrane Database Syst Rev. 2014 Sep;2014(9):CD009126. DOI: 10.1002/14651858.CD009126.pub2
[16] Hugo P, Segwick P, Black A, Laceyet H. Telephone Counselling - The ECA approach. Eur Eat Disord Rev. 2000;7:300-9. DOI: 10.1002/(SICI)1099-0968(199908)7:4<300::AID-ERV279>3.0.CO;2-P
[17] Wilz G, Schinköthe D, Kalytta T. Therapeutische Unterstützung für pflegende Angehörige von Menschen mit Demenz: Das Tele.TAnDem-Behandlungsprogramm. Göttingen: Hogrefe; 2015. (Therapeutische Praxis; 76). DOI: 10.1026/02546-000
[18] Deutsche Alzheimer Gesellschaft. Jahresbericht 2021. Demenz - genau hinsehen! Berlin; 2022.
[19] Bundesministerium für Familie, Senioren, Frauen und Jugend; Bundesministerium für Gesundheit. Nationale Demenzstrategie. Berlin; 2020.
[20] Schmidt J, Lamprecht F, Wittmann W. Zufriedenheit mit der stationären Versorgung. Entwicklung eines Fragebogens und erste Validitätsuntersuchungen. Psychother Psychosom Med Psychol. 1989;39(7):248-55.
[21] Salfi J, Ploeg J, Black ME. Seeking to understand telephone support for dementia caregivers. West J Nurs Res. 2005 Oct;27(6):701-21. DOI: 10.1177/0193945905276882
[22] Donabedian A. Evaluating the quality of medical care. Milbank Q. 2005;83(4):691-729. DOI: 10.1111/j.1468-0009.2005.00397.x
[23] Gignac GE, Szodorai ET. Effect Size Guidelines for Individual Differences Researchers. Pers Individ Dif. 2016;102:74-8. DOI: 10.1016/j.paid.2016.06.069
[24] Büscher A, Peters L, Stelzig S, Lübben A. Zu Hause pflegen - zwischen Wunsch und Wirklichkeit. Die VdK-Pflegestudie. Erster Zwischenbericht. Osnabrück: Hochschule Osnabrück; 2021.
[25] Erol R, Brooker D, Peel E; Association for Dementia Studies. Women and Dementia. A Global Research Review. London: Alzheimer’s Disease International; 2015.
[26] Joling KJ, Windle G, Dröes RM, Huisman M, Hertogh CMPM, Woods RT. What are the essential features of resilience for informal caregivers of people living with dementia? A Delphi consensus examination. Aging Ment Health. 2017 May;21(5):509-17. DOI: 10.1080/13607863.2015.1124836
Anhänge
| Anhang 1 | Nutzerbefragung Alzheimer-Telefon (Anhang1_000331.pdf, application/pdf, 604.76 KBytes) |



