[Wie erreicht virale DNA den Zellkern einer infizierten Zelle?]
Herbert Widulle 11 Chemiebüro Widulle, Hamburg, Deutschland
Zusammenfassung
Wenn an allen Orten einer lebenden Zelle dieselben Bedingungen für chemische Gleichgewichte herrschen würden, müsste die größte Zahl viraler Infektionen auch dann erfolglos sein, wenn das Virusgenom bereits die Zellwand durchdrungen hat. Das ist aber offensichtlich nicht der Fall. Deshalb muss es einen Mechanismus geben, der virales DNA-Polymer oder virales RNA-Polymer von der Zellwand selektiv zum Zellkern transportiert. Ein möglicher Mechanismus wird vorgestellt und diskutiert, der in Übereinstimmung mit den Grundlagen der biophysikalischen Chemie steht. Der vorgeschlagene Mechanismus benutzt die Thermodynamik abseits vom Gleichgewicht und ist eine einfache Lösung für das Problem.
Schlüsselwörter
Wanderung, Virusgenom, Zellkern, Mechanismus, Triebkraft, Gradient, Stoffwechsel
Introduction
Recently in the monograph “The Force Driving Life” [“Was das Leben antreibt”] an alternative approach about metabolism in living cells was described [1]. Signal prolongation alongside axons and water transport through the mammalian skin are used to prove the validity of the approach.
In the present work this approach will be used to describe and quantify the forces which enable viral infections. The example of a viral infection is used because it is a simple mechanism and can easily be investigated. Firstly, it will be described how diffusion and consumption of oxygen generates gradients of the oxygen and the carbon dioxide concentrations and their partial pressures and chemical potentials. A gradient of proton activity and the drop of pH from the cell wall to the center will be calculated. The last part of this work will describe which forces transport the genome of a virus from the surface of a cell to a nucleus. A viral infection of an eukaryotic cell is a relatively simple process. The forces which drive the viral infection are calculated and estimation will be made about the probability that a viral DNA-polymer will not be found next to the cell wall but in the center of the cell next to the nucleus.
In the present article only the concept of the monograph [1] is described; reading of the complete text is recommended for understanding mathematical foundations of the model.
Brief explanation of a modern model of metabolism as a steady state
Living organisms need enthalpy to keep up their structure and to keep on living. By using enthalpy, they generate entropy, or disorder. They have to export the entropy to able to keep and maintain their biological structure and the gradient of entropy and the flux of entropy determine the ability of a cell to maintain its structure or to generate new ones.
A simple approach makes it possible to describe the forces necessary for life and to describe some of the missing parts of the puzzle. Prigogine ([2], p. 339) formulated that living organisms have to export entropy. But he postulated that the entropy export should be at a minimum whereas Svenson explained, that the entropy export should be at a maximum ([2], p. 341), [3].
Thermodynamic describes a biological system by the integral properties of the system without details. Therefore, when using thermodynamics, the exact molecular mechanisms in a living organism are not subject of the study. This simplifies the issue. However, the results of a mechanistic study of molecular mechanisms have to comply with the results obtained by using thermodynamic.
The monograph “The Forc Driving Life” is based on the assumption, that “living matter follows the same rules as non living matter” [1]. This basic assumption is commonly accepted and proof is not intended to be done in this article. Together with the principle that learning from analogies is a source of knowledge it is possible to use a different approach for a description of biochemistry and physical chemistry in living cells [4]. Heat engines, fuel cells and batteries are commonly known examples that it is impossible to generate work from thermal or chemical energy without having irreversible losses, e.g. without producing entropy.
To calculate the efficiency of a heat engine the efficiency factor η is used (equation 1):
η = (T1 – T2)/T1
T1 > T2.
Similar to a heat engine, a battery or a fuel cell, the maximum work which can be used by a living biological structure is limited by the flux of entropy. But in contrast to a heat engine, the work is not used to perform mechanical work, but to maintain the structure of the cell or to generate new structures. This happens when a cell is growing.
The oxygen consumption in an aerobic cell generates gradients of chemical potentials
Today, biochemistry is based on the assumption that a biochemical reaction leads to one or several specific products. This is in contradiction to the basic rules of thermodynamics, which demand, that there will always be an infinite number of product compounds after every chemical reaction. To be able to handle the complicated and basically unknown reaction pattern of the metabolism of a living cell, a matrix is introduced, which demonstrates, that every chemical potential µi of any compound in an organism is connected with the chemical potential µO2 of oxygen. Therefore, it is possible to calculate the conditions for metabolic reactions inside the cell by the partial pressures of oxygen and carbon dioxide. This approach will be used for the purpose of the present work.
A model cell is introduced into the discussion, which has a spherical shape. Though the original theory was developed using a prokaryotic model cell, which resembles a coccus cell, the mathematical equation will be the same for a simple eukaryotic cell. Whilst the prokaryotic model had a diameter of 1 µm and its genome placed in the center without a nucleus, the model of eukaryotic cell will have a diameter of 10 µm and the genes of the eukaryotic model cell are situated in the center inside of a nucleus. As the prokaryotic cell, the eukaryotic cell will be a sphere. The model cell is an aerobic cell which needs oxygen to keep up its metabolism. This simple model cell is used to explain and to introduce the first equations and thus first statements. All processes, which take part in a real cell with a complicated geometry, may also take part in the model cell. Yet, the highly symmetrical shape of the model cell makes a correct mathematical description of diffusion and gradients simpler then in a cell with a complicated geometry without loosing any accuracy in the description of the process itself. In the last chapters of the monograph [1] cells with a completely other geometry then a sphere are introduced and can be handled with the same mathematical equations after adding some limiting boundary factors.
The first described process is the migration of oxygen into a spherical cell. The cell will be surrounded by a medium, e.g. water, having an oxygen partial pressure of 0.2 atm or 200 hPa, which is the partial pressure of oxygen in air. To simplify the mathematical solution, the spherical model cell is divided into one hundred shells, which all have a common center in the center of the spherical model cell and all have an equal thickness. The oxygen, which migrates into the model cell, is consumed in the cell and the consumption may be such, that the partial pressure of oxygen is reduced by 10% during the oxygen’s migration from the outer layer of a shell to the inner layer. This simple model gives an oxygen partial pressure in the middle of the spherical cell of 5.3x10–3 hPa. If the finite element solution is replaced by an infinite one and it is taken into account, that in the middle of the sphere the oxygen partial pressure must be higher then calculated because of the migration of oxygen from the opposite side, Figure 1 [Fig. 1] can be obtained.
Figure 1: Partial pressure of oxygen in a spherical aerobic prokaryotic cell as a function of the cell radius (from [1])
The function of cell pressure of oxygen in a living cell will change in details, if a cell wall or a gel capsule would be added to the model. But the principle will remain the same. Even the simple model shows, that the partial pressure of oxygen varies with the size of the cell. If a spherical cell has a diameter of 1 µm, the model gives an oxygen pressure in the center of the cell of 5.3x10–6 hPa. If the oxygen pressure in the center a typical, spherical eukaryotic cell of 10 µm diameter is calculated with the same model using not 100 shells but 1000 shells, the model gives an oxygen value of 3.5x10–47 hPa. The equilibrium partial pressure of the amino compounds of the DNA, guanine, thymine, adenine and cytosine, is about 10–50 hPh to 10–60 hPa. So the amine compounds of the DNA are much more stable in a big eukaryotic cell the in a smaller prokaryotic cell, reducing the number of damages of the genome caused by oxidation.
The simplest way to calculate the carbon dioxide pressure for every part of the cell is (equation 2):
pCO2 = pO2(outside) – pO2(inside)
The function of pCO2 depending of the cell radius r calculated from the oxygen consumption and diffusion is represented in Figure 2 [Fig. 2].
Figure 2: Partial pressure of carbon dioxide calculated from production and diffusion of the compound as a function of the prokaryotic cell radius. The maximum carbon dioxide pressure in the center of the cell is not determined by the cell radius but limited by the stability of the cell wall and the total pressure outside the cell (from [1]). 
The carbon dioxide pressure is the sum of generation of carbon dioxide and of decrease of pressure by diffusion of carbon dioxide. Dissolved carbon dioxide reacts with the solvent water to give carbonic acid. Dissolved carbon dioxide, carbonic acid and carbonates are in a chemical equilibrium. This equilibrium allows calculating the drop of pH from the cell wall to the center with a simple equation (equation 3):
pH = –lg (1.3065x10–3x[CO2] = –lg (1.3065x10–3xp(CO2)(r))
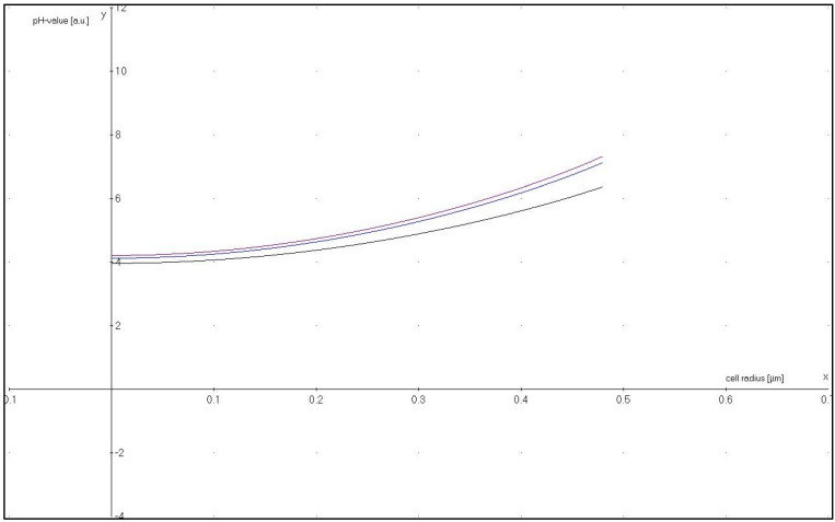
The pH-gradient is dependent on the permeability of the cell wall. If the flux of carbon dioxide through the cell wall is partly interrupted, the carbon dioxide pressure at this part of the cell wall will increase and the pH will decrease. The three curves show the pH-gradients in a spherical cell for three different carbon dioxide pressures at the inner border of the cell wall. The three curves are for carbon dioxide pressures of 0.427 hPa, 0.55 hPa and 2.42 hPa are shown in Figure 3 [Fig. 3].
Figure 3: pH-gradient in a spherical prokaryotic cell for three different carbon dioxide pressures at the cell wall. The pH in the center of the cell is determined by the carbon dioxide pressure and does not differ between an eukaryotic cell and a prokaryotic one (from [1]). 
The forces driving a viral infection
Viral infections of vertebrate cells are relatively common. Though viral infections are common, information about the mechanisms how the viral genome enters into the core are surprisingly scant. A viral genome is a polymeric chemical substance. Therefore, there should be a mechanism which transports the viral genome to the infected cell´s core.
Dealing with viral infections using the thermodynamic formalism is questionable. Only if very great numbers of similar compounds, which cannot be distinguished, behave similar and can be treated by the same algorithm, the algorithms of thermodynamic functions may be used. The number of genes in a viral infection of a cell or even at a whole compound is not big enough to use thermodynamic functions. They may be used, if the number of parts is ≥1010, or if the number of parts is smaller, but the total internal free enthalpy does not change with time [5]. The number of viruses necessary for an infection is low, for some viruses 101, for other 102 to 103 particles are sufficient to establish an infection. Thus, thermodynamic formalisms may not be applied for viruses in general. However, the number of protons in a cell being great enough to create a measurable pH-value, it is possible to calculate the pH-gradient in a living cell and to calculate changes initiated by a viral infection. Using this approach, it may be possible to predict the influence of the pH-gradient in the cell on a viral genome and to predict possible consequences. It is not possible, however, to predict what will happen to every viral genome. The small numbers of viruses which are necessary for an infection are the reason why it is impossible to give the exact number of viruses necessary for an infection. The small number of viruses is the reason, why the necessary number for an infection varies by at least one order of magnitude. In the following section only the influence of the changes in the cell’s metabolism and in the pH-drop will be calculated and the influence of the pH-gradient on a viral genome. The viral genomes itself will not be subject of thermodynamic calculations. An exception of this approach may be a calculation of changes in the monomers which build the genome. Their number is greater by an order of 104 to 105 and changes in the status of each monomer may be calculated using thermodynamic algorithms, if a great error is acceptable.
Depending on the type of cell and the type of virus, the mechanism of infection may vary. The infection of a cell with a virus of the type Epstein Barr will be taken as an example to evaluate, whether the theoretical approach using non equilibrium thermodynamics will help to understand viral infections. The Epstein Barr Virus is a double strain DNA virus, and its core being wrapped in an envelope [6]. The diameter of the envelope is 2x10–7 m. The genome of the virus migrates from the cell wall to the cell nucleus and modifies the cell’s genome. Later, viral genome is produced by the cell and viral cores are assembled in the cell itself and are wrapped in viral proteins when leaving the cell. The Epstein Barr virus is a common virus, which has infected a great percentage of humans. It is known to cause infective mononucleosis and its play a major role in the generation of lupus and of multiple sclerosis [7].
Schwarzmann and Wolf [6] pointed out that the entry mechanism includes binding to the CD21/C3d-receptor, followed by endocytosis and cell to cell transmission via cell fusion. The site of the genome replication is identified as the nucleus. The first step of viral infection of a cell by Epstein Barr Virus is that the virus envelop gets in contact with the cell’s surface and sticks to it. A Schwann cell may have a length of 200 µm or 2x10–4 m and a outer area of 1.88x10–9 m². The Epstein Barr Virus is a sphere of 0.2 µm diameter with a surface of 6.3x10–14 m². A sphere of the diameter of the virus blocks some 0.003% of the cell surface of the model Schwann cell and it will most probably block one of the ion channels in the cell wall. Through these ion channels carbon dioxide diffuses from the inside to the outside of the cell. This diffusion is driven by an increased carbon dioxide partial pressure inside the cell. The consequence of the increased level of carbon dioxide inside the cell is a decreased pH value inside the cell. If the pH value outside the cell would be 6.9, a pH of 6.77 could be measured at the inside, if the carbon dioxide pressure inside of the cell wall would be 0.427 hPa. If the ion channel is blocked, e.g. by a virus, the carbon dioxide can not diffuses through the pore, which results in an increased carbon dioxide pressure inside of the cell wall up to 2.45 fold . The increased pressure may be calculated to 1.05 hPa, resulting in a pH-value of 6.29. The transmembrane potential would change by 25 mV, at least 8% of the total transmembrane potential.
The force FD(i) driving a transport through the pore, is proportional to the gradient of the chemical potential µi of the compound (equation 4):
FD(i) ≈ dµi /dr
(r being the length of the pore or the thickness of the cell wall)
The solubility of a DNA polymer or a RNA polymer depends on the pH of the surrounding water. At neutral pH-values, the amine bases of DNA polymer will not be protonated, but the protonation of the amine bases will increase with decreasing pH or increasing proton activity in the water. A change of the proton activity in the water or a change in pH, which is the same, will result in a gradient of the chemical potential µ of all the amino compounds in a DNA or RNA polymer. A gradient of the chemical potential of protons, described as pH, will establish a force which transports a DNA polymer or a RNA polymer through a pore in the cell wall or through the cytoplasm.
Even if the envelop of the virus is incorporated into the outer cell wall and the protein of the virus is fused into the cell wall, the diameter of the viral genome is great enough to block a protein pore in the cell’s bio-membrane. A double-stranded DNA has a minimum diameter of 2x10–9 m [8]. It will block one pore by its own. An ion channel has a open diameter of 1.2x10–9 m at its “gate” and a minimal diameter of 0.3x10–9 m in the center of the bio-membrane at its “selectivity filter” [9]. The article does not describe where the actual gate is located and how it works, but it is laid down, that a gate with a diameter of 1.2x10–9 m will have a total diameter of 1.5x10–9 with a one layer wall up to 2.5x10–9 m. If the wall of the protein pore consists of several layers of a protein gel, as it is typical for protein pores, the diameter may be as great as 2.5x10–9 m to 3.0x10–9 m, due to the gel structure of the pore protein. An increase of 1.0x10–9 m may be created if the protein layers are connected by alkyl chains of three carbon atoms and an increase of 1.5x10–9 m by alkyl chains of five carbon atoms connecting the different protein layers of the pore.
Viral DNA is poorly water soluble at neutral pH values as any DNA polymer. On the inside of the cell wall the concentration of protons is 2.5 times higher then on the outside. Therefore, the protonation of a viral DNA polymer will by 2.5 times higher on the inside of the cell wall then on the outside, resulting in an increased solubility of the viral DNA polymer on the inside of the cell wall then on the outside. The increased solubility of the partly protonated DNA polymer results in a decreased chemical potential of the viral DNA on the cell wall’s inside. This will be the driving force for the entrance of viral protein into the cell according to equation 4 and 5 (i=compound):
FD(i) ≈ dµi /dr
∫r=0r=rFD(i) dr ≈ ∆µi(r)
In the cytoplasm of a living cell a pH gradient is metabolic created and maintained. Metabolic oxygen consumption and carbon dioxide production generate acidic compounds which increase the number of measurable protons in water. The pH-gradient is like oxygen a partial pressure and carbon dioxide partial pressure a function of the cell radius in a spherical cell or a function of the distance from the cell’s nucleus in other cells. The situation in the cytoplasm is similar. In cytoplasm the pH will drop from 6.29 to 4.0 according to equation 3. A drop in pH of 2.29 units is equivalent to a decrease in chemical potential or an increase in solubility in water of the viral DNA of –13.6 kJ/mol at 310 κ or 37°C. A decrease in chemical potential by –13.6 kJ/mol over a distance of 10 µm or 100 µm is a great force driving diffusion towards the center, but this does not explain, why the viral DNA polymer diffuses only to the center. The model has to be modified such, that a three dimensional approach is possible. If the equation derived for planar solutions [3] is extended for three dimensional problems, the force which drives a viral DNA polymer towards the nucleus of a cell may be written as equation 6:
FD(i) ≈ dµ(i) = dµi /dr + dµi /dy + dµi /dz
The equation gives the chemical potential of a compound i in relation to the cell’s radius r and the two ordinates of it, y and z.
However, only a part of the gradient of the chemical potential dµ/r, dµ/dy and dµ/dz points from the viral DNA polymer towards the nucleus in the center of the cell. So the equation 6 has to be modified:
FD(i) ≈ dµ(i) = dµi /dr*cosα(r) + dµi /dy + cosβ(y) + dµi /dz*cosγ(z)
The cosine of the three angles α, β and γ give the part of potential gradient in the cell, which promotes the migration of the DNA polymer. Figure 4 [Fig. 4] may help to understand the geometry described by the algorithm.
Figure 4: Spherical cell with its nucleus in the cell’s center. Two of the three coordinates are shown. The entrance of the viral DNA polymer is indicated by a short arrow. The other long arrow indicates the force dµ(i) and thus the path of the genome.
Because the model cell is shaped as a sphere, the coordinates of the cell may be transformed such, that the entrance of the virus takes place at [r,0,0], the place where the r-axis penetrates the cell wall. The integral in equation 7 gives the surface of a body with rotational symmetry enclosing dµi/dr*cosα(r) for a given µ and α.
FD(i) ≈ 2*π*dµi /dr*cosα(r)
The force FD(i)≈dµi/dr is created by the cell’s metabolism and is directed to the cell’s nucleus, because the oxygen pressure is at its minimum in the cell’s center and the carbon dioxide pressure is at its maximum in the center. Therefore the pH-value is at its minimum in the cell’s center, too.
As mentioned above, this results in an increased solubility of the viral DNA polymer, an increased solubility and a decreased chemical potential of every monomer of the DNA polymer of the virus. It is the gradient of the pH in a living cell, created by the cell’s own metabolism, which forces a viral genome to migrate or, exactly spoken, to diffuse to the center of the cell.
For every point of the radial force dµ the equation can be solved and gives for every angle a = r the value zero. The force, which enforces diffusion of the viral DNA, the gradient of its chemical potential vanishes at of angles α ≥ r.
The gradient of the chemical potential of the viral DNA polymer is created by the infected cell itself by its metabolism and creates a minimum of the chemical potential at or in the nucleus of the cell. It is the cell which supplies the energy for the migration of the viral DNA polymer. If the enthalpy difference of –13.6 is converted into the probability, where the viral DNA polymer will be located at a sufficient long time, the answer is given by equation 8:
∆W=e–∆µ/(TxR)=195 for a ∆µ=–13.600 kJ/mol at 310 K
The probability to find the viral DNA polymer next to the nucleus of a cell is roughly 200 times greater than to find it next to the cell wall.
Conclusions
It could be demonstrated by using a theoretical model and algorithms published recently [1], why viral infections migrate to the center of a living cell to the area with the minimum pH-value, where the genome is placed. The nucleus containing the genome of an eukaryotic cell is located in the middle of the cell because of the greater stability of the genome in areas with low oxygen pressure [1]. It is the decrease in the chemical potential of a DNA or a RNA polymer which enforces the migration to the middle of the cell. The decrease of the chemical potential of the DNA or RNA is generated by the high carbon dioxide pressure in the middle of a cell, which is a necessary consequence of the metabolism.
Notes
Competing interests
The author declares that he has no competing interests.
References
[1] Widulle H. Was das Leben antreibt. Augsburg: Verlag für chemische Industrie; 2011.[2] Kondepudi D. Introduction to Modern Thermodynamics. Chichester: Wiley; 2008.
[3] Svenson R. Spontaneous Order, Evolution and the Law of Maximum Entropy Production. Paper posted for participants of "closure and emergent dynamics"; 1999 May 3-5; Gent, Belgium.
[4] Lorenz K. Analogy as a Source of Knowledge, lecture hold when receiving the Nobel Prize. Stockholm: 1973. Available from: http://www.nobelprize.org/nobel_prizes/medicine/laureates/1973/lorenz-lecture.pdf
[5] Hala E, Boublik T. Statistische Thermodynamik. Braunschweig: Friedrich Vieweg; 1970. p. 44.
[6] Schwarzmann F, Wolf H. Lymphocryptovirus. In: Tidona CA, Darai G, eds. The Springer Index of Viruses. Berlin: Springer; 2002. p. 433 ff.
[7] Parks CG, Cooper GS, Hudson LL, Dooley MA, Treadwell EL, St Clair EW, Gilkeson GS, Pandey JP. Association of Epstein-Barr virus with systemic lupus erythematosus: effect modification by race, age, and cytotoxic T lymphocyte-associated antigen 4 genotype. Arthritis Rheum. 2005 Apr;52(4):1148-59. DOI: 10.1002/art.20997
[8] Gossauer A. Struktur und Reaktivität der Biomoleküle. Zürich: Helvetica Chimica Acta; 2006. p. 522.
[9] Regulation von Ionenkanälen. In: Portal für Organische Chemie. 2008. Available from: http://www.organische-chemie.ch/chemie/2008mae/ionenkanaele.shtm



