Struktur und Prozess psychiatrischer Hochschullehre
Claus Barkmann 1Katja Weidtmann 2
Michael Schulte-Markwort 1
1 Zentrum f?r Frauen-, Kinder- und Jugendmedizin, Klinik und Poliklinik f?r Kinder- und Jugendpsychosomatik, Universit?tsklinikum Hamburg-Eppendorf, Hamburg, Deutschland
2 Studiendekanat, Universit?tsklinikum Hamburg-Eppendorf, Hamburg, Deutschland
Zusammenfassung
Zielsetzung: Die besondere Arbeitsbelastung an einer psychiatrischen Universit?tsklinik sowie das bislang geltende Wertesystem mit der Betonung von Klinik und Wissenschaft f?hren zu einer systematischen Vernachl?ssigung der Lehre.
Methodik: Mit Hilfe evaluativer Methoden wurden Vorlesungen und Seminare eines Semesters an der Klinik f?r Kinder- und Jugendpsychiatrie und Psychotherapie des Universit?tsklinikums Hamburg-Eppendorf aus Sicht von Studierenden und Dozenten getrennt f?r die Inhaltsbereiche Form, Inhalt, Dozenten und Gesamtbewertung per Fragebogen beurteilt.
Ergebnisse: Trotz vorhandener organisatorischer M?ngel bewerteten die Studierenden die Veranstaltungen hinsichtlich aller vier Inhaltsbereiche im Mittel als gut. Ein bivariates Vorhersagemodell erkl?rte 46% der Varianz der Gesamtbeurteilung. ?berraschend ist die hohe ?bereinstimmung von Studierenden- und Dozentenurteilen.
Schlussfolgerung: Die fortlaufende und systematische Evaluation von Lehrveranstaltungen dient der Qualit?tssicherung und -verbesserung gegenw?rtiger und zuk?nftiger Lehrmethoden.
Schlüsselwörter
Lehrveranstaltungen, Hochschullehre, Evaluation, Qualit?tssicherung, Kinder- und Jugendpsychiatrie
Einleitung
1. Problemstellung
Universit?re Psychiatrie besteht, glaubt man ihren Publikationsorganen, ausschlie?lich aus klinischen und wissenschaftlichen Arbeitsfeldern. Die Hochschullehre ist nicht im Blick der Profession. Dies hat dieses Fachgebiet gemein mit allen anderen medizinischen Disziplinen und vielen anderen Fachbereichen. Zu den Aufgaben eines Universit?tsklinikums z?hlt neben der klinischen Versorgung und der Forschung aber auch die Lehre. Die besondere Arbeitsbelastung durch den allt?glichen klinischen Versorgungsdruck sowie das bislang geltende Wertesystem mit der Betonung von Klinik und Wissenschaft f?hren allerdings zu einer Vernachl?ssigung derselben. Dabei ist die Lehre von besonderer, auf keinen Fall geringerer Bedeutung f?r das Fach. Schlie?lich haben Studierende Anspruch auf eine gute Ausbildung, Patienten haben Anspruch auf gut ausgebildetes Personal, die Gesellschaft hat Anspruch auf die sinnvolle Verwendung von Steuergeldern und das Fach will sich im Reigen konkurrierender Disziplinen weiter etablieren und den eigenen Nachwuchs sichern.
2. Evaluationskonzepte
Universit?re Lehre ist auf drei verschiedenen Ebenen evaluierbar; auf der Ebene der gesamten Hochschule als Institution, auf Fachbereichsebene sowie auf der Stufe einzelner Lehrveranstaltungen und Lehrenden [1]. Nach dem Kriterium der Zielorientierung lassen sich f?nf verschiedene Modelle der Lehrevaluation unterscheiden [2]: das Qualifikationsmodell (Optimierung der Lehrqualit?t des Dozenten und der Veranstaltung), das Transparenzmodell (Aufzeigen von St?rken und Schw?chen), das Kommunikationsmodell (Anregung der Diskussion), das Steuerungsmodell (Instrument bei Entscheidungen ?ber Mittelvergabe, Ausstattung etc.) sowie das Forschungsmodell (Untersuchung von Lehr- und Lernprozessen). Die f?r eine Designplanung wichtigste Unterscheidung ist die von formativer und summativer Evaluation bzw. von Prozess- und Ergebnisaspekten, denn sie legt Ziele, Zeitpunkte und Ausgestaltung der Evaluation fest: W?hrend formativ fortlaufende rekursive Ver?nderung und ?berpr?fung der Ver?nderung bedeutet, wird summativ eine bereits abgeschlossene Veranstaltung bewertet [3]. In der Literatur sind vor allem studentische Gruppen, einige Printmedien und manchmal auch Hochschulinstitutionen selbst als Evaluatoren zu finden [4]. Tr?ger systematischer studentischer Lehrevaluationen sind meist Asten, studentische Evalutionszentren oder Fachschaften [5]. Die angewandten Methoden entstammen den klassischen Evaluationsmethoden, zeigen aber charakteristische H?ufungen bei m?ndlichem Feedback (Gruppendiskussionen, Interviews, Blitzlichter und Abschlussbefragungen) und schriftlichem Feedback (Frageb?gen mit offenen oder geschlossenen Items).
3. Empirische Ergebnisse
Der aktuelle Forschungsschwerpunkt zur Qualit?t der Hochschullehre im deutschen Sprachraum liegt auf den Vor- und Nachteilen der Veranstaltungskritik durch Studierende [6]. Rindermann [7] belegt anhand korrelativer und varianzanalytischer Vergleiche studentischer Einsch?tzungen mit Urteilen von Lehrenden und Fremdbeurteilern die Validit?t der Studierendenurteile. Schweer und Rosemann [8] zeigen, dass Studenten in ihren Urteilen keinen einheitlichen Ma?stab zugrunde legen, sondern unterschiedliche Aspekte der Lehre f?r deren Qualit?t als ausschlaggebend anzusehen scheinen. Verschiedene Autoren haben in voneinander unabh?ngigen Studien keine Hinweise f?r Verzerrungen von Urteilen durch Geschlecht, Alter oder universit?re Vorbildungen gefunden [9], [5], [8].
Zur Zeit werden an 84% der medizinischen Fachbereiche in Deutschland Evaluationen durchgef?hrt, die sich allerdings erheblich in den Zielen, Methoden und im Umfang unterscheiden [10]. Bislang sind sieben Arbeiten medizinischer Fakult?ten mit Fokussierung auf psychosoziale Fachabteilungen publiziert worden [11], [12], [13], [14], [15], [16], [17], [18]. Deren Ergebnisse zeigen, dass die Beurteilungen der Studierenden durchweg besser ausfallen als erwartet und eine curriculare St?rkung der psychosozialen F?cher bef?rwortet wird.
4. Fragestellung der Untersuchung
Hauptfragestellung war die Analyse von Struktur und Qualit?t der Lehrveranstaltungen an der Klinik f?r Kinder- und Jugendpsychiatrie und Psychotherapie des Universit?tsklinikums Hamburg-Eppendorf. Einen besonderen Schwerpunkt bildete die Identifikation von Pr?diktoren einer positiven Gesamtbewertung der Lehrveranstaltungen. Dar?ber hinaus wurde nach systematischen Urteilsunterschieden zwischen Studierenden und Dozenten gefragt. Aus den Ergebnissen sollten anschlie?end Ma?nahmen zur Qualit?tssicherung und -verbesserung abgeleitet werden.
Methode
1. Design
Gegenstand der Evaluation waren die Lehrveranstaltungen der Klinik f?r Kinder- und Jugendpsychiatrie und Psychotherapie des Universit?tsklinikums Hamburg-Eppendorf. Unter Verwendung formativer Evaluationskonzepte wurde eine empirische Querschnittsbefragung an Hand eines selbstentwickelten Fragebogens durchgef?hrt. Als Urteiler wurden die direkt an der Lehre Beteiligten, also Studierende und Lehrende gew?hlt. Auf eine vollst?ndige Spiegelevaluation (Studierende und Dozenten bearbeiten dieselben Items) wurde verzichtet, da einige der Fragen nicht gleicherma?en von beiden Urteilergruppen beantwortbar sind. Schlie?lich wurden die Ergebnisse in konkrete Ma?nahmen zur Verbesserung der Lehre umgesetzt und ein Konzept zur fortlaufenden Evaluierung der Lehre erarbeitet (Metaevaluation).
2. Operationalisierung
Die angebotenen Lehrveranstaltungen lie?en sich sowohl in organisatorischer als auch in inhaltlich-konzeptioneller Hinsicht in zwei Gruppen gliedern, dem Psychiatrischen Praktikum auf der einen sowie Vorlesungen und Seminare auf der anderen Seite: Das Psychiatrische Praktikum ist als Pflichtkurs ausschlie?lich f?r Studierende der Medizin vorgesehen, die insgesamt jeweils zwei Sitzungen von vier Unterrichtsstunden mit schwerpunktm??iger Fallbearbeitung absolvieren ("bedside teaching"). Dagegen finden alle Vorlesungen und Seminare auf freiwilliger Basis in w?chentlichen Sitzungen statt und sind Studierenden aller Fachbereiche zug?nglich. Dieser Unterscheidung wurde sowohl bei der Konzeption der Frageb?gen und Durchf?hrung der Datenerhebung als auch bei der statistischen Auswertung Rechnung getragen. Die Auswahl der zu erfassenden Variablen erfolgte gem?? dem M?nchener multifaktoriellem Modell der Lehrveranstaltungsqualit?t von Rindermann [19], das neben formalen auch inhaltliche Merkmale der Veranstaltungen erfasst. Die inhaltliche Ausrichtung ist in einer alle Veranstaltungen einer Klinik umfassenden Evaluation allerdings dadurch begrenzt, das unterschiedliche Veranstaltungsinhalte vergleichbar erfasst werden m?ssen. F?r alle Veranstaltungen wurden au?erdem die Regelhaftigkeit der Termine und die fortlaufende Entwicklung der Teilnehmerzahlen ?berpr?ft. Entsprechend diesen Ausgangsbedingungen wurden insgesamt vier unterschiedliche, siebenseitige Fragebogenversionen erstellt (2 Urteilergruppen x 2 Veranstaltungsarten). Die Items wurden als Aussages?tze formuliert (Beispiel: "Das r?umliche Umfeld ist angenehm", "Der Inhalt ist praxisbezogen"). Zur Bewertung wurde eine sechsstufige Ratingskala mit zus?tzlich verbaler Verankerung ("gar nicht" bis "absolut zutreffend") gew?hlt. Als jeweils zusammenfassende Bewertung einer Qualit?tskomponente wurde ein Item mit Schulnotenbewertungssystem eingesetzt.
3. Stichprobe
Es wurden n=146 Teilnehmerinnen des Psychiatrischen Praktikums, n=58 Teilnehmerinnen der Vorlesungen und Seminare (zusammen n=204 Studierende) sowie n=24 Dozenten des Sommersemesters 2001 befragt. Die Stichprobenbeschreibung wird im Ergebnisteil den jeweiligen Daten vorangestellt. Die Gr??e der Urteilerstichprobe wurde aufgrund des explorativen Vorgehens nicht a-priori festgelegt, sondern ergab sich durch die Klumpenauswahl. Dieses Semester ist repr?sentativ f?r die Semester der letzten drei bis vier Jahre, da sich in dieser Zeit weder beim Lehrplan noch bei den Dozenten Ver?nderungen ergeben haben.
Erhebungszeitpunkt f?r Vorlesungen und Seminare war die sechste Semesterwoche. Dadurch sollte einerseits die Gefahr einer Datenverzerrung in Richtung auf zu positive Ergebnisse durch systematische Drop-Outs von unzufriedenen Veranstaltungsabbrechern minimiert, andererseits eine ausreichende Urteilsbasis zur Veranstaltungsbewertung f?r die Studierenden erm?glicht werden. Die Versuchsleiterin suchte diese Veranstaltungen pers?nlich auf, verteilte die Frageb?gen am Ende der Sitzung und sammelte sie dort auch wieder ein. Kompaktseminare wurden ebenfalls von der Versuchsleiterin pers?nlich am Ende der Veranstaltung aufgesucht. Von insgesamt 67 Studierenden konnten 58 vollst?ndig ausgef?llte Frageb?gen erfasst werden. Kein Student besuchte mehr als eine Veranstaltung der Klinik.
4. Analysen
Die Daten wurden mit Hilfe von SPSS 10.0 f?r Windows analysiert. Zur Beantwortung der quantitativen Fragestellungen wurden Tabellen, Grafiken und statistische Kennwerte verwendet. Die Darstellung der Einzelitems mit Hilfe von Boxplotts dient dem Vergleich zwischen den einzelnen Merkmalen sowohl hinsichtlich der zentralen Tendenz als auch dem Ausma? der Unterschiedlichkeit der Beurteilungen. Zur Beantwortung der Pr?diktionsfragestellung wurde neben bivariaten Pearson-Korrelationen eine multiple lineare Regressionsanalyse durchgef?hrt (schrittweise Methode, Einschlusskriterium p(F)≤5%). Die Urteiler?bereinstimmung wurde mit Hilfe der Intraklassenkorrelationskoeffizienten und standardisierten Mittelwertsabst?nden (d, Cohen, 1988) bestimmt. Das Alphafehlerniveau wurde auf 5% festgesetzt, die Testungen erfolgten zweiseitig.
Ergebnisse
Wegen der F?lle der Daten beschr?nkt sich nachfolgende Darstellung auf die Vorlesungen und Seminare (Ergebnisse zum Psychiatrischen Praktikum siehe Barkmann et al [20]). Zu Beginn wird die Beurteilung aus Sicht der Studierenden pr?sentiert, dann die Studierenden- und Dozentenurteile einander gegen?bergestellt. Abschlie?end wird die Umsetzung der Ergebnisse skizziert. Die Bewertungsachsen aller Abbildungen werden wegen der besseren ?bersichtlichkeit einheitlich als Schulnotenskala dargestellt.
1. Lehrveranstaltungen an der Klinik
Tabelle 1 [Tab. 1] zeigt die in dieser Studie untersuchten Lehrveranstaltungen, die veranstaltungsspezifischen Teilnehmerzahlen im Laufe des Semesters sowie Angaben zur Regelm??igkeit der Sitzungen. Mit Ausnahme des Seminars "Filme zur Kinder- und Jugendpsychiatrie" sind keine substantiellen Ver?nderungen der Teilnehmerzahlen ?ber die Dauer des Semesters zu beobachten. Auff?llig ist, dass von insgesamt neun im Vorlesungsverzeichnis angek?ndigten Veranstaltungen immerhin drei aufgrund mangelnder Teilnehmerzahlen komplett ausfielen. Die Pr?fung der Regelhaftigkeit des Psychiatrischen Praktikums offenbart bei 17 von 20 Kursgruppen unvorhergesehene organisatorische Ver?nderungen (meist Dozententausch oder Einzelleitung statt der vorgesehenen Doppelleitung).

2. Teilnehmerstichprobe
Die Teilnehmerstichprobe von n=58 Studierenden der Vorlesungen und Seminare besteht zu 86% aus Frauen, das Alter ist linkssteil verteilt mit M=27 Jahren (SD=6.0), 93% sind deutscher Nationalit?t. Der gr??te Teil der Studierenden stammt aus den Fachbereichen Medizin und Sonderp?dagogik (jeweils 16%) sowie der Psychologie (12%). In geringer Zahl nehmen Studierende sonstiger Fachrichtungen (wie z. B. Theologie oder Sportwissenschaften) sowie Gasth?rer teil. Die Anzahl der Fachsemester schwankt deutlich (M = 13; SD = 23.80). Frauen urteilen positiver als M?nner (d=.15), Medizinstudenten urteilen besser als Studierende anderer Fachrichtungen (d=.58).
3. Bewertung aus Sicht der Studierenden
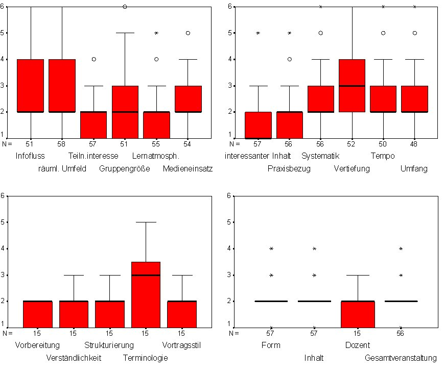
Abbildung 1 [Abb. 1] zeigt, dass die Befragten mit den verschiedenen Formmerkmalen insgesamt zufrieden sind. Der Informationsfluss und das r?umliche Umfeld wurden relativ am schlechtesten bewertet. Bei der Differenzierung einer eventuellen Unzufriedenheit mit der Gruppengr??e beurteilten 12% der Befragten sie als zu gro? (v. a. Teilnehmer der beiden Vorlesungen) und 9% als zu klein. Nur in zwei Seminaren wurden Unterrichtsmaterialien ausgeh?ndigt. In Abh?ngigkeit von der jeweiligen Veranstaltung w?nschten sich die Studierenden mehr Materialien mit mehr Beispielen, die zu Beginn der Veranstaltung ausgeteilt werden sollten. Die Form der Vorlesungen und Seminare wurde insgesamt mit der Schulnote M=2.2 (SD=0.56) bewertet.

Abbildung 1 [Abb. 1] zeigt auch die Bewertungen der verschiedenen inhaltlichen Merkmale. W?hrend die Interessantheit des Inhaltes und die Praxisbezogenheit besonders gut bewertet werden, wird die Vertiefung des Stoffes relativ am schlechtesten beurteilt. Bei der Differenzierung einer m?glichen Unzufriedenheit hinsichtlich des Tempos zeigt sich, dass jeweils 14% der Befragten es als zu schnell bzw. als zu langsam empfanden. Beim Umfang zeichnet sich ein deutlicheres Bild ab: 21% beurteilten ihn als zu klein, 7% als zu gro?. Der Inhalt der Vorlesungen und Seminare wird in der zusammenfassenden Beurteilung mit der durchschnittlichen Schulnote von M=2.0 (SD=0.66) bewertet.
Bei der Beurteilung der Dozentenleistungen gingen die Urteile von n=15 Studierenden aus "Forschungsmethoden der KJP" und aus "Ausgew?hlten Kapitel der KJP" in die Berechnungen ein. Die ?brigen Veranstaltungen wurden nicht ber?cksichtigt, da in diesen jeweils mehrere verschiedene Dozenten zu bewerten gewesen w?ren. Die fachliche Kompetenz der Lehrenden wird hinsichtlich der Merkmale Fachwissen, logische Konsistenz, Eingehen auf Fragen und Sicherheit im Patientengespr?ch mit sehr gut bis gut bewertet (Durchschnittsnote M=1.6). Das gleiche gilt hinsichtlich der Merkmale sozialer Kompetenz (P?nktlichkeit, Freundlichkeit, Motivierung der Teilnehmer, Offenheit f?r Fragen sowie Interesse am Lernerfolg der Teilnehmer; Durchschnittsnote M=1.3). Bei der didaktischen Kompetenz der Lehrenden wird vor allem die Einf?hrung in die Terminologie deutlich kritischer beurteilt (vgl. Abbildung 1 [Abb. 1]). Die Gesamtbewertung der Teilnehmer der Vorlesungen und Seminare f?llt f?r den Dozentenblock mit M=1.6 und SD=.06 besser aus als die f?r die Form- und Inhaltsbl?cke.
Die Globalbewertung der Vorlesungen und Seminare als Schulnote f?llt mit M=2.0 (SD=.07) gut aus und entspricht damit den Einzelbenotungen f?r Form und Inhalt.
4. Wovon h?ngt die Gesamtbeurteilung ab?
Zur Identifikation derjenigen Variablen, die den h?chsten Erkl?rungswert f?r die Gesamtbewertung der Vorlesungen und Seminare bieten, wurde eine multiple lineare Regressionsanalyse durchgef?hrt. In die Berechnung gingen alle Variablen ein, die spezifische Teilaspekte der Lehre erfassen und von allen Teilnehmern bewertet wurden. Tabelle 2 [Tab. 2] liefert eine ?bersicht der h?chsten Korrelationen zwischen diesen spezifischen Variablen und der Gesamtbewertung der Vorlesungen und Seminare. Die folgende Gleichung zeigt das errechnete Modell, das den Anteil einzelner Variablen an der Gesamtnote erkl?rt: GES = 2.78 + .26 VOR + .28 INT. Es ber?cksichtigt die Variablen „Abstimmung auf Voraussetzungen der Teilnehmer" sowie „interessanter Inhalt" und kl?rt mit 46% maximale Varianz auf (standardisierte Partialregressionskoeffizienten: ?

5. Vergleich der Studierenden- und Dozentenurteile
Statt der itemweisen Ergebnisdarstellung der Dozentenbeurteilung wird hier die ?bereinstimmung von Dozenten- und Studierendenurteil in den von beiden Urteilergruppen gleicherma?en bearbeiteten Items ?ber alle Veranstaltungen pr?sentiert (Tabelle 3 [Tab. 3]). Die Urteilerstichprobe der Dozenten besteht aus n=7 wissenschaftlichen Mitarbeiterinnen der Hamburger Kinder- und Jugendpsychiatrie, davon zwei Professoren, zwei Fach?rzte, zwei Assistenz?rzte und ein Psychologe. F?r die Vorlesungen und Seminare ergibt der Vergleich der durchschnittlichen Urteile eine 83%ige ?bereinstimmung der absoluten Werte (Intraklassenkorrelationskoeffizient r


6. Ergebnissumsetzung
Die Ergebnisse der Studie wurden in einem klinikinternen wissenschaftlichen Kolloquium allen Dozenten vorgestellt, diskutiert und Beschl?sse ?ber das weitere Vorgehen gefasst. Au?erdem wurde ein Lehrpreis f?r das beste Dozentenpaar im Psychiatrischen Praktikum ?berreicht. Diese zeremonielle Ehrung der beiden besten Dozenten sollte die Bedeutung der Lehrleistung betonen und als positiver Verst?rker wirken. Zu den Beschl?ssen z?hlen u. a. die Benennung eines Lehrkoordinators, die Einrichtung regelm??iger Koordinationstreffen und eines Qualit?tssicherungsordners f?r Dozenten zur Durchf?hrung von Lehrveranstaltungen. F?r jeden Dozenten wurden Feedbackb?gen zusammengestellt, in denen die Ergebnisse der Evaluation seiner Veranstaltungen und insbesondere seiner eigenen Lehrleistungen dargestellt und erl?utert wurden. Darin sind auch Vergleiche zu Lehrleistungen anderer Dozenten sowie dozentenspezifische Empfehlungen zur Optimierung des Lehrverhaltens enthalten.
Diskussion
1. Hauptergebnisse
• Die Strukturanalyse ergab unerwartete Unregelm??igkeiten im Semesterablauf und hohe Ausfallquoten einzelner Veranstaltungen. Trotzdem bewerteten die Studierenden die Veranstaltungen in Form, Inhalt, hinsichtlich der Dozenten und in der Gesamtbeurteilung im Mittel mit "gut".
• Die beiden Pr?diktoren "Abstimmung auf Voraussetzungen der Teilnehmer" und "interessanter Inhalt" erkl?rten gemeinsam 46% der Varianz der Gesamtbeurteilung.
• Obwohl in einigen wenigen Bewertungskriterien deutliche Unterschiede auftraten, betr?gt die durchschnittliche ?bereinstimmung von Studierenden- und Dozentenurteilen insgesamt 83%.
2. Methodische Kritik
• W?hrend sich bei Analysen ?ber alle Veranstaltungen bzw. der Gegen?berstellung der beiden Veranstaltungsarten gen?gend gro?e Fallzahlen f?r pr?zise und aussagekr?ftige statistische Testung bildeten, reichten diese bei veranstaltungsspezifischen Analysen nicht aus.
• Inwieweit die Ergebnisse durch eine Tendenz zur Beantwortung nach sozialer Erw?nschtheit in eine zu positive Richtung verf?lscht sind, ist unklar. Alle Befragten wurden aber ?ber die Anonymit?t der Befragung aufgekl?rt und darum gebeten, ehrlich zu antworten.
• Au?erdem muss ber?cksichtigt werden, dass studentische Beurteilungen nicht in jedem Fall etwas ?ber die Qualit?t der Lehre aussagen. Es kann sich auch um Ma? f?r studentische Akzeptanz oder Vorlieben handeln [6].
3. Diskussion einzelner Ergebnisse
Die objektive und standardisierte Kontrolle der Regelm??igkeit von Veranstaltungen und ihrer Teilnehmerzahlen stellt ein so einfaches wie effektives Ma? der Qualit?tssicherung in der Lehre dar. In der vorliegenden Untersuchung wurden so eine hohe Zahl ungeplanter organisatorischer Ver?nderungen und hohe Ausfallquoten nachgewiesen, die auf Nachl?ssigkeiten in der Umsetzung der Lehrpl?ne schlie?en lassen. Daniel [21] und Rindermann [19] zeigen, dass Studierende solche organisatorischen M?ngel deutlich negativ bewerten und im Rahmen m?glicher Verbesserungsvorschl?ge am h?ufigsten auff?hren.
Die studentischen Bewertungen der verschiedenen Merkmale der Veranstaltungen fallen durchaus differenziert aus: Obwohl die Formmerkmale insgesamt als gut beurteilt wurden, wurden der schlechte Informationsfluss, das r?umliche Umfeld und die mangelnde Stoffvertiefung beklagt, letzteres etwas deutlicher f?r die Vorlesungen als f?r die Seminare (d=.14). Offensichtlich erwarten Studierende auch von einer Vorlesung ein gewisses Ma? an inhaltlicher Vertiefung.
Das identifizierte optimale Vorhersagemodell mit den Variablen "Abstimmung auf Voraussetzungen der Teilnehmer" und „interessanter Inhalt" kl?rt fast die H?lfte der Varianz in der Gesamtbewertung auf. Dieses Ergebnis geht konform mit Befunden anderer Autoren [22], [2], [9], dass die Beurteilung von Lehrveranstaltungen neben objektiven Rahmenbedingungen, inhaltlicher und didaktischer Qualit?t ma?geblich vom Interesse der Urteiler mitbestimmt wird. Dabei handelt es sich um in der Lehre leicht steuerbare Merkmale, weil beide durch einfache R?ckfragen der Dozenten an die Teilnehmer fortlaufend erfasst werden k?nnen.
Die hohe ?bereinstimmung von Studierenden- und Dozentenurteil ist bemerkenswert, in einzelnen Merkmalen tritt maximal eine Abweichung von einer halben Standardabweichungseinheit auf. In der Literatur korrelieren Studierenden- und Dozentenurteile meist weniger hoch [2]. Es w?re denkbar, dass die Dozenten in ihren Ansichten tats?chlich mit denen der studentischen Teilnehmer ?bereinstimmen oder aber sich gut in deren Lage hineinversetzen k?nnen und die Fragen entgegen der Instruktion aus ihrer Sicht beantworteten. Dieses hohe Ma? an ?bereinstimmung spricht in jedem Fall daf?r, dass sich die Lehrenden berechtigterweise auf ihre Sicht der Lehre verlassen k?nnen, um im Sinne der Teilnehmer zu handeln.
4. Ausblick
Der formative Evaluationsansatz bietet den Vorteil, durch die Datenerhebung zur Mitte des Semesters sowie die schnelle Ergebnisr?ckmeldung direkt wirksame Ma?nahmen zur Lehrqualit?tsverbesserung im n?chsten Semester einleiten zu k?nnen. Die Wirkung der Ergebnisumsetzung kann durch eine Wiederholungsbefragung anhand derselben Instrumente im Folgesemester gepr?ft werden. Erst die fortlaufende und systematische Evaluation von Lehrveranstaltungen tr?gt der Bedeutung der Lehre f?r das Fach Rechnung und hilft diese weiterzuentwickeln und zu optimieren. Der Gesetzgeber hat dies bereits erkannt und die Durchf?hrung von Lehrevaluationen unter Ber?cksichtigung studentischer Beurteilungen in der ab Oktober 2003 g?ltigen ?rztlichen Approbationsordnung verankert [23]. Dies wird in Zukunft besonders wichtig sein, weil traditionelle Lernformen (Vorlesung, Lehrbuch, Lernen am Krankenbett) mit multimedialen Lernmethoden, webbasierten Lern- und Trainingssystemen und virtuellen Patienten konkurrieren m?ssen [24].
Literatur
[1] El Hage N. Lehrevaluation und studentische Veranstaltungskritik. Bonn: Bundesministerium f?r Bildung, Wissenschaft, Forschung und Technologie; 1996.[2] Rindermann H. Lehrevaluation. Einf?hrung und ?berblick zu Forschung und Praxis der Lehrveranstaltungsevaluation an Hochschulen mit einem Beitrag zur Evaluation computerbasierten Unterrichts. Landau: Verlag Empirische P?dagogik; 2001.
[3] Kromrey H. Evaluation von Lehre und Studium - Anforderungen an Methodik und Design. In: Spiel C. Evaluation universit?rer Lehre - zwischen Qualit?tsmanagement und Selbstzweck. M?nster: Waxmann; 2001:S21-59.
[4] Reissert R. Evaluation der Lehre - aktuelle Aktivit?ten an deutschen Hochschulen. Hannover: Hochschul-Informations-System; 1992.
[5] Krause G. Besuchsziele und Veranstaltungsmerkmale - relevante Biasvariablen bei der Lehrevaluation? In: Krampen G, Zayer H (Hrsg). Psychologiedidaktik und Evaluation I. Konzepte, Erfahrungsberichte und empirische Untersuchungsbefunde aus Anwendungsfeldern der Aus-, Fort- und Weiterbildung. Bonn: Deutscher Psychologen Verlag; 1998:S317-384.
[6] Kromrey H. Studierendenbefragung als Evaluation der Lehre? Anforderungen an Methodik und Design. In: Engel U. Hochschul-Ranking. Zur Qualit?tsbewertung von Studium und Lehre. Frankfurt a. M.: Campus; 2001:S1-47.
[7] Rindermann H. Untersuchungen zur Brauchbarkeit studentischer Lehrevaluationen. Landau: Verlag Empirische P?dagogik; 1996.
[8] Schweer M, Rosemann B. Qualit?t der Lehre: Bedingungsvariablen des studentischen Urteils. Z Entwicklungspsychol Padagog Psychol. 1995;9(3-4):189-196.
[9] Spiel C, Goessler PM. Zum Einfluss von Biasvariablen auf die Bewertung universit?rer Lehre durch Studierende. Z Entwicklungspsychol Padagog Psychol. 2000;14(1):38-47.
[10] Pabst R, Nave H, Rothk?tter H, Tschernig T. Lehrevaluation in der Medizin. Dtsch Arztebl. 2001;98(12):598-600.
[11] Allert G, Gommel M, Tamulionyte L, Appelt M, Zenz H, Kaechele H. Das interdisziplin?re L?ngsschnittcurriculum "Medizinische Psychologie, Psychotherapie und Psychosomatik" an der Universit?t Ulm. Verlauf und Evaluation des klinischen Abschnitts. Psychother Psychosom Med Psychol. 2002;52(8):355-362.
[12] Guendel H, Wefelmaier T. Das psychiatrisch-psychotherapeutische Unterrichtsgespr?ch im Erleben von Patient und gespr?chsf?hrendem Studenten. Nervenarzt. 1998;69(9):806-810.
[13] Schueppel R, Bayer A, Hrabal V, Hoelzer M, Allert G, Tiedemann G, Hochkirchen B, Stephanos S, Kaechele H, Zenz H. Fach?bergreifendes L?ngsschnittcurriculum "Medizinische Psychologie, Psychotherapie und Psychosomatik" Erfahrungen aus dem vorklinischen Abschnitt. Psychother Psychosom Med Psychol. 1998;48(5):187-192.
[14] Inselmann U, Faller H, Lang H. Unterricht im Fach Psychosomatische Medizin und Psychotherapie: Beurteilung durch die Studenten. Psychother Psychosom Med Psychol. 1998;48(2):63-69.
[15] Doering S. Gute Noten f?r das Praktikum "Medizinische Psychologie". Psychol in der Med. 1997;8(3):21-25.
[16] Obliers R, Heindrichs G, Koehle K. Konzeption und Evaluation eines problemorientierten Erstsemester-Tutoriums in der Medizinpsychologie. In: Senf W, Heuft G (Hrsg). Gesellschaftliche Umbr?che - individuelle Antworten. Frankfurt a. M.: Verlag f?r Akademische Schriften; 1995:S261-282.
[17] Stoessel U, Braehler E, Gostomzyk JG, Kochen MM, von Troschke J, Wildgrube K, Wirsching M. Evaluation von Lehrveranstaltungen in den psychosozialen F?chern und der Allgemeinmedizin im Studiengang Humanmedizin. Gesundheitswesen. 1996;58(4):249-252.
[18] Lempa W, Kuensebeck HW, Nordmeyer J, Davin U, Witzig L, Liedtke R, Freyberger H. Empirische Belege zur Effektivit?t des studentischen Psychosomatik-Wahlfach-Modells der Medizinischen Hochschule Hannover. Psychother Psychosom Med Psychol. 1985;35(5):127-132.
[19] Rindermann H. Skalen der Lehrevaluation: Welche Aspekte sollen in universit?ren Lehrveranstaltungen beurteilt werden? In: Krampen G, Zayer H (Hrsg). Psychologiedidaktik und Evaluation I. Konzepte, Erfahrungsberichte und empirische Untersuchungsbefunde aus Anwendungsfeldern der Aus-, Fort- und Weiterbildung. Bonn: Deutscher Psychologen Verlag; 1998:S295-316.
[20] Barkmann C, Weidtmann K, Schulte-Markwort M. Evaluation als Mittel der Qualit?tssicherung in der kinder- und jugendpsychiatrischen Hochschullehre. Z Klin Psychol Psychiatr Psychother. 2004;2(52):118-136.
[21] Daniel H. Bewertung der Lehre aus Sicht der Studierenden und Absolventen. In: M?ller-B?ling D. Qualit?tssicherung in Hochschulen. G?tersloh: Verlag Bertelsmann Stiftung; 1995:S160-185.
[22] Berger U, Schleussner C. H?ngen Ergebnisse einer Lehrveranstaltungs-Evaluation von der H?ufigkeit des Veranstaltungsbesuchs ab?. Z Entwicklungspsychol Padagog Psychol. 2003;7(2):125-131.
[23] Kr?ger-Brand H. E-Learning in der Medizin: Vor dem Durchbruch. Dtsch Arztebl. 2002;99(22):1491-1493.
[24] Berger U, Schleu?ner C, Strau? B. Umfassende Lehrevaluation in der Medizin - eine Aufgabe f?r die psychosozialen F?cher?. Psychother Psychosom Med Psychol. 2003;53:1-78.



