[Die 4-Schritt-Methode nach Peyton im Vergleich: Mittelfristiger Effekt auf das Erlernen der Herzdruckmassage – eine Pilotstudie]
Tobias Münster 1Christoph Stosch 1
Nina Hindrichs 1
Jeremy Franklin 2
Jan Matthes 3
1 Universität zu Köln, Kölner Interprofessionelles SkillsLab und Simulationszentrum (KISS), Köln, Deutschland
2 Universität zu Köln, Institut für Medizinische Statistik, Informatik und Epidemiologie (IMSIE), Köln, Deutschland
3 Universität zu Köln, Institut für Pharmakologie, Köln, Deutschland
Zusammenfassung
Einführung: Die extrakorporale Herzdruckmassage ist eine wichtige Fertigkeit, um ein Minimum der Organdurchblutung bei Patienten/-innen mit Herz-Kreislauf-Stillstand zu gewährleisten, bis weitere medizinische Hilfe geleistet werden kann. Eine Methode um diese Fertigkeit zu vermitteln ist der Ansatz nach Peyton. Dieser besteht aus 4 Schritten:
- Demonstration,
- Dekonstruktion,
- Verständnis und
- Durchführung.
Bezogen auf die kardiopulmonale Reanimation wird eine Überlegenheit dieser Methode gegenüber Anderen angenommen, ist jedoch bisher durch Studien nicht ausreichend gesichert. In unserer Studie haben wir den mittelfristigen Lernerfolg durch die 4-Schritt-Methode nach Peyton („PEY“) mit dem der Modifikation „PMOD“ (4-Schritt-Methode ohne Schritt 3) und dem „STDM“ (Standardmodell, entsprechend der weit verbreiteten Methode „See one Do one“, entspricht der 4-Schritt-Methode ohne Schritt 1 und 3,) anhand von Parametern der Durchführung einer Herzdruckmassage am Modell verglichen.
Material und Methoden: Die prospektiv, randomisierte Pilotstudie wurde im Sommersemester 2009 im Kölner Interprofessionellen SkillsLab und Simulationszentrum (KISS) an der Universität zu Köln durchgeführt. Die Probanden (Studierende der Humanmedizin des zweiten und dritten Fachsemesters) nahmen freiwillig an der Studie teil. Die Studierenden wurden in drei parallele Studiengruppen randomisiert, die nach jeweils einer der oben genannten Methoden unterrichtet wurden. Eine Woche sowie fünf bzw. sechs Monate nach Intervention wurden die Probanden in einer objektivierten strukturierten Einzel-Überprüfung bzgl. ihrer Reanimationsfertigkeiten geprüft. Die Ergebnisse der Gruppen wurden hinsichtlich der Parameter Kompressionsfrequenz, Kompressionstiefe, Anteil richtiger Kompressionen sowie Anzahl in einer Checkliste erreichter Items verglichen. Verglichen wurden außerdem Häufigkeitsverteilungen bezogen auf das Umsetzen oder Verfehlen damals geltender Leitlinienempfehlungen zur kardiopulmonalen Reanimation.
Ergebnisse: Die untersuchte Stichprobe umfasste 134 Probanden (68% weiblich; Alter: 22±4 Jahre; PEY: n=62; PMOD: n=31; STDM: n=41). Es bestand kein Unterschied zwischen den Gruppen bzgl. Alter, Geschlechterverteilung, Vorerfahrung oder zeitlichem Abstand zu einem vorherigen (Reanimations-) Kurs. Nur bei einem Endpunkt fand sich ein statistisch signifikanter Unterschied: Die mittlere Kompressionsfrequenz in der ersten Prüfung lag in Gruppe 1 (PEY) bei 99±17/Minute, in Gruppe 2 (PMOD) bei 101±16/Minute und in Gruppe 3 (STDM) bei 90±16/Minute (p=0,007 für Gruppe 3 vs. Gruppe 1 sowie Gruppe 3 vs. Gruppe 2 im Mann-Whitney-U-Test). Keiner der untersuchten Parameter unterschied sich zwischen den drei untersuchten Gruppen 5 bzw. 6 Monate nach Durchführung des Kurses.
Schlussfolgerung: Unsere Studie liefert keinen Hinweis auf wesentliche Unterschiede bei der Durchführung einer Herzdruckmassage durch Studierende im Rahmen der kardiopulmonalen Reanimation am Modell in Abhängigkeit von der Unterrichtsmethode (Peyton vs. „Non-Peyton“) bezogen auf den mittelfristigen Überprüfungszeitraum. Möglicherweise ist die Herzdruckmassage als Fertigkeit nicht komplex genug, um von der Vermittlung nach Peyton zu profitieren.
Schlüsselwörter
Herzlungenwiederbelebung, Ausbildung, 4-Schritt-Methode nach Peyton, Basisreanimation, 2-Schritt-Methode, 4-Schritt-Methode, Studierende
1. Einführung
Die extrakorporale Herzdruckmassage am Menschen wurde erstmalig 1960 von Kouwenhoven et al. [1] beschrieben und über die Jahre vor allem bzgl. Setting, Frequenz, Drucktiefe, und Druckpunkt modifiziert. Sie gilt heute als effektive Maßnahme zur Etablierung eines Notkreislaufes um hypoxieintolerante Organe bis zur Wiederherstellung der spontanen Zirkulation mit Sauerstoff zu versorgen.
In Deutschland ereignen sich ca. 123 plötzliche Herz-Kreislauf-Stillstände pro 100.000 Einwohner und Jahr, aber es wird nur bei ca. 50-80 pro 100.000 mit Reanimationsmaßnahmen begonnen [2]. 48% der plötzlichen Herztode ereignen sich so in der Öffentlichkeit, dass diese von Anwesenden beobachtet werden; dennoch wird nur in 23% der Fälle von Beobachtern mit den Reanimationsmaßnahmen begonnen [3].
Die schnelle Diagnose des Herzkreislaufstillstandes, das Herbeirufen professioneller Hilfe, der sofortige Beginn und vor allem die Qualität der Herzdruckmassage sind maßgebend für das Überleben der Patienten innerhalb und insbesondere außerhalb der Klinik [4].
Daher sollte der effektiven Vermittlung dieser Fertigkeiten eine besondere Bedeutung zukommen.
Praktische (klinische) Fertigkeiten nehmen einen immer größeren Stellenwert im Rahmen des Medizinstudiums ein. Beginnend mit der Novelle der Ärztlichen Approbationsordnung [ÄApprO 2002] [5] bis hin zu dem kürzlich verabschiedeten Nationalen Kompetenzbasierten Lernzielkatalog Medizin [NKLM] [6] wird die Bedeutung von praktischen Fertigkeiten weiter gestärkt. Daher bedarf es guter Vermittlungsmethoden, die von Lehrenden einfach umgesetzt werden können, bei Lernenden auf Akzeptanz stoßen und zu einem nachhaltigen Lernerfolg führen. Ein weitverbreiteter methodischer Ansatz ist die 4-Schritt-Methode nach Peyton [7], [8].
Der Ansatz nach R. Peyton [9] zum Erlernen bzw. Vermitteln einer klinisch praktischen Tätigkeit umfasst vier aufeinander folgende Schritte:
- Demonstration: Der Lernende bekommt die Tätigkeit vom Lehrenden in Echtzeit und ohne Kommentar vorgeführt. Dieser Schritt dient dazu, den Maßstab für den Lernenden zu setzen.
- Dekonstruktion: Die Tätigkeit wird Schritt für Schritt vom Lehrenden vorgeführt und erklärt. Sie wird in kleine Einheiten unterteilt, die der Reihenfolge nach gezeigt, erläutert und kommentiert werden.
- Verständnis: Der Lernende beschreibt, bevor er die Tätigkeit selber durchführt, die einzelnen Schritte und der Lehrende führt sie durch. Verbalisierung und Handlung werden noch nicht parallel durchgeführt.
- Durchführung: Der Lernende erläutert die Schritte und führt sie jetzt gleichzeitig durch.
Der Ansatz nach Peyton kombiniert verschiedene lerntheoretische Aspekte miteinander. Das Lernen in Schritt 1 und 2 Schritt beruht auf einem sozial-kognitiven lerntheoretischen Ansatz, dem Lernen am Modell nach Banduras [10], während Schritt 4, also die eigentliche Durchführung und das Üben der Tätigkeit bis zum Erfolg, der behavioristischen Lerntheorie zuzuordnen sind.
Nach Jawhari et al. [11] ist bei dem Ansatz nach Peyton der dritte Schritt der entscheidende: „Die perzeptuell verarbeitete Information (Schritt 1 und Schritt 2) muss in Schritt 3 im Arbeitsgedächtnis aktiv manipuliert werden, um die Information ins Langzeitgedächtnis überzuführen.“ Nach Krautter et al. [12] wird durch das Beschreiben der Tätigkeit ohne gleichzeitiges Durchführen ein mentales Korrelat der Bewegungen der Tätigkeit erzeugt, welches zu einem effektiveren motorischen Lernen und besserer Reproduktion führen soll.
Aus lerntheoretisch konstruktivistischer Sicht (etwa im Sinne einer konstruktivistischen Pädagogik nach Reich 1997 [13]) kann der Ansatz nach Peyton als Versuch, einen konstruktiven „Ort möglichst weitreichender eigener Welterfindung“ (ebd. 266) zu schaffen, beschrieben werden. Demnach wäre die Kombination aller Schritte nötig, um einen Lernerfolg im Sinne einer erfolgreich etablierten Selbstkonstruktion zu erreichen.
Unserer Studie lagen somit zwei Hypothesen zugrunde:
- Die Durchführung aller vier Schritte nach Peyton ist Modifikationen, die einen oder mehrere dieser Schritte weglassen, hinsichtlich des mittelfristigen Lernerfolges überlegen.
- Schritt 3 im Ansatz nach Peyton ist entscheidend und allein das Weglassen dieses Schrittes verringert den generierten Lernerfolg.
Auf dieser Grundlage verglichen wir den Lernerfolg bei Studierenden der Humanmedizin, die a) nach Peyton (PEY1; Schritte 1-4), b) unter Weglassen von Schritt 3 (PMOD1) oder c) nur mit den Schritten 2 und 4 nach Peyton (STDM1) unterrichtet wurden, jeweils nach einer Woche und nach 5 bzw. 6 Monaten. Der Lernerfolg wurde durch die praktische Prüfung einer Herzdruckmassage im Rahmen der kardiopulmonalen Reanimation am Modell überprüft.
Die 4-Schritt-Methode nach Peyton als Ansatz für die Vermittlung von praktischen Fertigkeiten wurde bereits in Studien untersucht. Ein Teil der Studien konnten zeigen, dass Studierende/Probanden, die nach dieser Methode unterrichtet wurden, im Vergleich zu anderen Unterrichtsgruppen profitierten [11], [12], [14], [15], [16]. Andere Studien fanden keinen Vorteil der Peyton-Methode [17], [18], [19]. Eine Studie verglich wie wir in der hier vorliegenden Arbeit die 4-Schritt-Methode mit der zweischrittigen Standardmethode „See one, do one“ in der Vermittlung der kardiopulmonalen Reanimation (CPR), untersuchte allerdings nur kurzfristige Effekte unmittelbar nach Abschluss der Unterrichtsveranstaltung [20]. Trotz der insgesamt widersprüchlichen und hinsichtlich der CPR unzureichenden Studienlage wurde die 4-Schritt-Methode nach Peyton für die Vermittlung der kardiopulmonalen Reanimation seit den 2000er Jahren von Bullock [21] propagiert und bis 2015 vom European Resuscitation Council (ERC) empfohlen [22], [23], [24].
Aus den genannten Gründen (und im Sinne der Best Evidence Medical Education, BEME [25], [26]) haben wir in der vorliegenden Studie die Vermittlung der kardiopulmonalen Reanimation per Peyton-Methode im Vergleich zu modifizierten Vermittlungsansätzen untersucht.
2. Material und Methoden
2.1. Studiendesign
Diese prospektive und randomisierte Pilotstudie mit drei parallelen Studiengruppen fand im Sommersemester des Jahres 2009 als Teil des Erste-Hilfe-Kurses im Kölner Interprofessionellen SkillsLab und Simulationszentrum (KISS) an der Universität zu Köln statt. Es wurden die zu diesem Zeitpunkt aktuellen Reanimationsrichtlinien aus dem Jahr 2005 [27], [28] vermittelt und entsprechend überprüft. In Bezug auf die Reanimationsdaten existieren hinsichtlich der Klassierung somit Abweichungen von den aktuellen Leitlinien des ERC.
2.1.1. Probanden
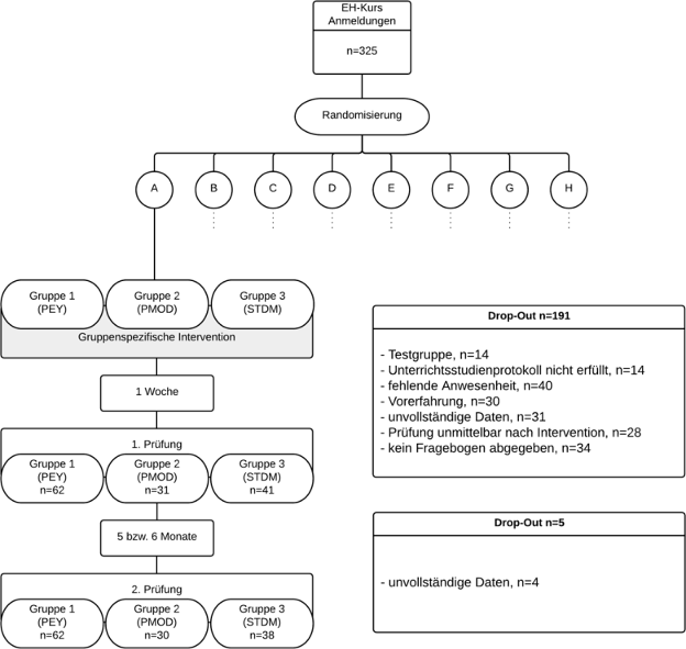
Die Probanden unserer Studie waren Studierende des zweiten und dritten Fachsemesters der Humanmedizin. Die Teilnahme an der Studie war freiwillig. Alle Studierenden, die sich zu unserem Kurs angemeldet hatten wurden randomisiert. Die Inhalte und der zeitliche Rahmen unseres Kurses waren identisch mit den Kursen der Rettungsverbände, jedoch schloss unser Kurs mit einer praktischen Prüfung ab, die bestanden werden musste. Der reine praktische Reanimationsunterricht betrug 90 Minuten. Tutoren des SkillsLab unterrichteten gemäß dem Studienprotokoll nach unterschiedlichen Vermittlungsmethoden. Die Gruppengröße betrug maximal 16 Teilnehmer (Median=13; mit maximal 16 und minimal 9).
In die Auswertung wurden nur Probanden eingeschlossen, die am Interventionstermin und am Prüfungstermin nach einer Woche anwesend waren sowie einen Fragebogen (mit epidemiologischen Daten) ausgefüllt und abgegeben hatten. Alle Probanden mit Vorerfahrung2 wurden ebenfalls ausgeschlossen. Weitere Ausschlusskriterien sind in Abbildung 1 [Abb. 1] dargestellt.

2.1.2. Tutoren/Prüfer
Die Kurstutoren waren studentische Mitarbeiter des SkillsLab höherer klinischer Fachsemester und durch rettungsdienstlichen Einsatz vor und während des Studiums reanimationserfahren. Als Tutoren anderer Kurse waren sie ebenfalls im Umgang mit der Vermittlung von praktischen Fertigkeiten geschult und in einer eigenen Schulung auf diese Studie vorbereitet. Die Tutoren wurden auch als Prüfer eingesetzt, jedoch nicht in einer zuvor von ihnen unterrichteten Gruppe.
2.1.3. Verblindung, Datenschutz, Ethik
Alle Probanden die sich zum Kurs anmeldeten, stimmten einer pseudonymen Datensammlung und anonymen Datenverarbeitung und -auswertung schriftlich zu3. Den Probanden wurden keine Informationen über das Ziel der Studie gegeben. Sie wurden lediglich über die Teilnahme an einer Studie informiert. Die Tutoren waren nicht verblindet.
Die Notfallausbildung während des Medizinstudiums an der Universität zu Köln sieht jährliche Notfalltrainings vor. Die Kurse beginnen jeweils mit einer Wiederholung der bereits gelernten praktischen Fertigkeiten, dann werden neue Inhalte vermittelt. Die Studierenden erweitern so jedes Jahr sukzessiv ihre persönliche Notfallkompetenz. Die Herzdruckmassage ist dabei fester Bestandteil jedes Notfallkurses. Durch dieses longitudinale Notfalltraining sahen wir, bezüglich des Erwerbs der persönlichen Notfallkompetenz, keinen Nachteil für Studierende, die an unserer Studie teilgenommen haben. Potentielle Defizite können im Verlauf des Studiums ausgeglichen werden.
2.2. Randomisierung
Die Probanden wurden mit Zufallszahlen (durch SPSS generiert) in acht Gruppen (A-H) und innerhalb dieser acht Gruppen erneut in drei Unterrichtsgruppen randomisiert (Gruppe 1 (PEY), Gruppe 2 (PMOD) und Gruppe 3 (STDM)). Die erste Gruppeneinteilung ergab den Unterrichtszeitpunkt. Die Gruppen A-D wurden in den ersten vier Wochen des Semesters, die Gruppen E-H in den Wochen fünf bis acht des Semesters unterrichtet4. Die zweite Randomisierung entschied über die Unterrichts /Interventionsgruppe. Die Zuordnung der Tutoren zu den verschiedenen Unterrichtsgruppen erfolgte ebenfalls randomisiert.
2.2.1. Zeitlicher Ablauf
Nach festgelegtem Studienprotokoll wurden die Gruppen unterrichtet und eine Woche nach Intervention einer objektivierten, strukturierten Evaluation bezüglich ihrer Reanimationskompetenz unterzogen.
Erste Prüfung (nach 1 Woche)
Die Studierenden bekamen in diesem Setting eine Minute Zeit, sich eine Situationsbeschreibung durchzulesen, in welcher die Aufgabenstellung beschrieben war und die Rahmenbedingungen (Einhelfermethode) festgesetzt wurden. Danach bekamen die Probanden fünf Minuten Zeit die Aufgaben zu lösen:
- Feststellen der Reanimationspflichtigkeit,
- Beginn und Durchführung der Reanimation.
Die Studierenden wurden von einem Prüfer mittels Checkliste bewertet und es wurden die entsprechenden Performancedaten des Reanimationsphantoms (Laerdal, Resusci Anne Advance Skill ReporterTM) erhoben. Die Checkliste beinhaltete 16 dichotome Items (siehe Abbildung 2 [Abb. 2]), die alle aus der Reanimationsrichtlinie von 2005 [27] abgeleitet wurden. Die Beendigung der Prüfung erfolgte bei mehr als fünf vollendeten Reanimationszyklen oder zwei Minuten durchgehender Herzdruckmassage, falls die Probanden eine „compression-only“-Reanimation durchführten.

Zweite Prüfung (nach 5-6 Monaten)
Fünf Monate (Gruppe E-H) bzw. sechs Monate (Gruppen A-D) nach Abschluss des Kurses wurden die Studierenden erneut im Rahmen der Abschlussprüfung des Erste-Hilfe-Kurses einer objektiv-strukturierten praktischen Überprüfung unterzogen. Die Daten für die Reanimation verwerteten wir im Rahmen unserer Studie.
Aus prüfungsrechtlichen Gründen wurde eine bereits bestehende andere Checkliste mit 8 Items verwendet (siehe Abbildung 3 [Abb. 3]). Die Reanimation fand unter den gleichen Bedingungen wie in der ersten Prüfung statt. Die Erhebung der Messdaten am Phantom erfolgte am gleichen Reanimationsmodell. Die Studierenden wussten um die Prüfung, kannten die Kursinhalte und konnten sich an einem Reanimationsphantom auf die Prüfung vorbereiten.

2.3. Unterrichtsmethoden
Für unsere Studie wurden die Schritte wie folgt modifiziert.
2.3.1. Gruppe 1 (PEY): 4-Schritt-Methode nach Peyton
Da der ursprüngliche Ansatz nach Peyton für eine Eins-zu-Eins Betreuung im Operationssaal gedacht ist, wurde dieser bzgl. des Verständnis Schrittes (Schritt 3) von uns an das Gruppensetting angepasst:
- Schritt 1 (Demonstration) und 2 (Dekonstruktion): Unverändert.
- Schritt 3 (Verständnis):
- Ein Studierender der Gruppe beschreibt die Tätigkeiten, der Dozent führt diese durch. Die Gruppe sieht zu.
- Es bilden sich Gruppen zu je drei Studierenden an einem Reanimationsphantom. Ein Student beschreibt die Tätigkeit, ein Weiterer führt sie durch, der Dritte übernimmt die Rolle des Beobachters. Nach Abschluss der Tätigkeit werden die jeweiligen Rollen gewechselt, so dass jeder Proband „Schritt 3 (Verständnis)“ durchgeführt hat. Der Kursdozent „überwacht“ die Gruppenbildung und schreitet ggf. korrigierend ein.
- Schritt 4 (Durchführung): Unverändert, die Dreiergruppen üben am Phantom die Reanimation.
2.3.2. Gruppe 2 (PMOD): Weglassen von Schritt 3 nach Peyton
- Schritt 1 (Demonstration) und Schritt 2 (Dekonstruktion): Unverändert.
- Schritt 3 (Verständnis): Entfällt.
- Schritt 4 (Durchführung): Dreiergruppenübung am Reanimationsphantom ohne die in 2.3.1 beschriebene Rollenverteilung.
2.3.3. Gruppe 3 (STDM): Weglassen von Schritt 1 und 3
- Schritt 1 (Demonstration): Entfällt.
- Schritt 2 (Dekonstruktion): Unverändert.
- Schritt 3 (Verständnis): Entfällt.
- Schritt 4 (Durchführung): Dreiergruppenübung am Reanimationsphantom ohne die in 2.3.1 beschriebene Rollenverteilung.
Dies entspricht der sog. klassischen Vermittlung „See one, do one“. Der Tutor erklärt die Reanimation und demonstriert diese (Schritt 2), danach werden alle offenen Fragen geklärt und es erfolgt das Üben der Tätigkeit in Dreiergruppen am Reanimationsphantom.
2.3.4. Auswertung, Hilfsmittel, Datenworkflow
Die Checklisten-Items wurden in Papierform erhoben und mittels OMR-Office® Version 5 der Firma Remark® digitalisiert und nach Excel® Version 12 und 14 für MacOSX der Firma Microsoft portiert. Die CPR-Daten wurden durch das Reanimationsmodell Resusci-Anne Advanced Skill Reporter® der Firma Laerdal® erhoben, per Ausdruck den Probanden zugeordnet und digitalisiert. Zur statistischen Analyse kam SPSS® Version 20 und 22 für MacOSX der Firma IBM® zum Einsatz.
Im Hinblick auf die Qualität der Reanimation betrachteten wir die in Tabelle 1 [Tab. 1] aufgeführten Parameter; zum einen als tatsächlichen Messwert zum direkten Vergleich, aber auch klassiert in dichotome Werte (richtig/falsch). Grundlage der Klassenbildung waren die Reanimationsrichtlinie von 2005 [27] sowie die Publikationen von Kern et al. 1992 [29] und Abella et al. 2005 [30] für die Festlegung der erlaubten durchschnittlichen Kompressionsfrequenz von 90-110 spm. Dieser Zielfrequenzbereich wurde später auch von Sopka et al. [23] und Jenko et al. [20] benutzt.

Sowohl bei der Anzahl der „richtigen Kompressionen“5 als auch der Checklisten-Items, wurde von uns willkürlich eine Grenze von 60%, im Sinne einer Bestehensgrenze, festgesetzt.
2.4. Statistische Methoden
Die Daten wurden mittels SPSS (IBM® SPSS® Version 22, MacOSX) verarbreitet und analysiert. Die Testung der Daten auf Normalverteilung erfolgte durch Sichtprüfung mittels Histogramm und Q-Q-Plot sowie mathematisch mittels Shapiro-Wilks-Test. Eine Testung auf signifikante Unterschiede in den epidemiologischen Daten der Gruppen untereinander wurde mittels Chi-Quadrat-Test und Fischers Exaktem Test berechnet. Für die Testung auf Unterschiede der Altersverteilung sowie der CPR-Daten wurde der Test nach Kruskal-Wallis gerechnet, da nicht alle Daten normalverteilt waren. Für den Vergleich der klassierten Daten kam der Chi-Quadrat Test zum Einsatz. Das Signifikanzniveau wurde auf Grund des Vergleichs von vier Merkmalen nach Bonferroni auf 0,0125 gesenkt. Um die Auswertung zu vereinfachen wurde stets angenommen, dass keine Abhängigkeiten zwischen den Ergebnissen der einzelnen Probanden in einer Gruppe bestanden. Daher müssen alle Aussagen zur statistischen Signifikanz im exploratorischen Sinn verstanden werden. Stetige Werte werden als Mittelwert±Standardabweichung (MW±SD) angegeben.
3. Ergebnisse
Eine Zusammenstellung der Ergebnisse findet sich in Tabelle 1 [Tab. 1], Tabelle 2 [Tab. 2], Tabelle 3 [Tab. 3], Tabelle 4 [Tab. 4] und Tabelle 5 [Tab. 5].



3.1. Erste Prüfung, eine Woche nach Intervention:
In der untersuchten Stichprobe von 134 Probanden (68% weiblich; Alter: 22±4 Jahre; PEY: n=62; PMOD: n=31; STDM: n=41) gab es zwischen den Gruppen keine signifikanten Unterschiede bzgl. der Geschlechterverteilung (p= 0,887 [χ2-Test]), der Verteilung der „erlaubten Vorerfahrung“ (p=0,790 [Fischer’s Exakter Test]), des zeitlichen Abstandes bei Vorerfahrung zum vorherigen (Reanimations-) Kurs (p=0,582 [χ2-Test]) und der Anzahl an Kompressionen bei Reanimation (p=0,064 [Kruskal-Wallis], siehe auch Tabelle 2 [Tab. 2] und Tabelle 3 [Tab. 3]). Die Ausschlusskriterien und die Anzahl der Ausschlüsse sind in Abbildung 1 [Abb. 1] dargestellt.
3.1.1. Kompressionsfrequenz
Die mittlere Kompressionsfrequenz in der ersten Prüfung lag in Gruppe 1 (PEY) bei 99±17/Minute, in Gruppe 2 (PMOD) bei 101±16/Minute und in Gruppe 3 (STDM) bei 90±16/Minute (p=0,007 für Gruppe 3 vs. Gruppe 1 sowie Gruppe 3 vs. Gruppe 2 im Mann-Whitney-U-Test). Die Anteile an Probanden mit mittlerer Kompressionsfrequenz im a priori definierten Zielbereich von 90-110/Minute lagen in Gruppe 1 (PEY) bei 29 Probanden (47%), in Gruppe 2 (PMOD) bei 13 Probanden (42%) und in Gruppe 3 (STDM) bei 14 Probanden (34%). Hier zeigte sich kein signifikanter Unterschied zwischen den Gruppen, [p=0,451[χ2-Test]).
3.1.2. Kompressionstiefe
Die durchschnittliche Kompressionstiefe zeigte keinen signifikanten Unterschied: Gruppe 1 (PEY) 36±10 mm; Gruppe 2 (PMOD): 38±8 mm, Gruppe 3 (STDM): 38±11 mm (p=0,572 [Kruskal-Wallis]). Im Vergleich der Anzahl der Probanden mit mittlerer Kompressionstiefe im a priori festgelegten Zielbereich von 40-50mm lagen in Gruppe 1 (PEY) 25 Probanden (40%), in Gruppe 2 (PMOD) 15 (48%) und in Gruppe 3 (STDM) 14 (34%) im Zielbereich. Hier zeigte sich kein signifikanter Unterschied zwischen den Gruppen, (p=0,457 [χ2-Test]).
3.1.3. Richtige Kompressionen
Beim Vergleich des Anteils richtiger Kompressionen5 an allen jeweils durchgeführten Kompressionen zeigte sich kein signifikanter Unterschied zwischen den Gruppen (p=0,417 [Kruskal-Wallis]): Gruppe 1 (PEY): 38%±34; Gruppe 2 (PMOD): 44%±34; Gruppe 3 (STDM): 43%±32. Vergleicht man die Anzahl der Probanden, die mindestens 60% richtige Kompressionen durchführten, waren es in Gruppe 1 (PEY) 18 Probanden (29%), in Gruppe 2 (PMOD) 13 Probanden (42%) und in Gruppe 3 (STDM) 14 Probanden (34%) (p=0,470 [χ2-Test]).
3.1.4. Checklisten-Items
Bei dem Vergleich der Anzahl erreichter Checklisten-Items (max. 16) konnten wir keinen signifikanten Unterschied zwischen den Gruppen feststellen (Gruppe 1 (PEY): 13±2; Gruppe 2 (PMOD): 13±2; Gruppe 3 (STDM): 13±2), p=0,487 [Kruskal-Wallis]).
Bei dem Vergleich des Anteils von Probanden mit mindestens 60% erreichter Checklisten-Items konnten wir keinen signifikanten Unterschied feststellen (p=0,479, [χ2-Test]). In Gruppe 1 (PEY) waren es 58 der Probanden (94%), in Gruppe 2 (PMOD) 31 (100%) und in Gruppe 3 (STDM) 39 (95%).
3.2. Zweite Prüfung, fünf/sechs Monate nach Intervention
Im Vergleich zur ersten Prüfung mussten zusätzlich 4 Probanden wegen unvollständiger Reanimationsdaten aus der Stichprobe entfernt werden.
3.2.1. Kompressionsfrequenz
Die Mittelwerte der durchschnittlichen Kompressionsfrequenz in Gruppe 1 (PEY) betrug 112±12/Minute, in Gruppe 2 (PMOD) 113±13/Minute und in Gruppe 3 (STDM) 108±15/Minute (p=0,600 im Kruskal-Wallis-Test).
Beim Vergleich des Anteils von Probanden mit mittlerer Kompressionsfrequenz im a priori festgelegten Zielbereich von 90-110/Minute fanden sich in Gruppe 1 (PEY) 27 Probanden (44%), in Gruppe 2 (PMOD) 12 (40%) und in Gruppe 3 (STDM) 14 (37%). Hier zeigte sich kein signifikanter Unterschied zwischen den Gruppen (p=0,801[χ2-Test]).
3.2.2. Kompressionstiefe
Bei dem Vergleich der einzelnen Gruppen hinsichtlich der mittleren Kompressionstiefe konnten wir keinen signifikanten Unterschied feststellen (p=0,942 im Kruskal-Wallis-Test). Für Gruppe 1 (PEY) ergab sich eine mittlere Kompressionstiefe von 42±8mm, für Gruppe 2 (PMOD) 42±7mm und für Gruppe 3 (STDM) 42±8mm.
Beim Vergleich des Anteils von Studierenden, deren mittlere Kompressionstiefe im a priori festgelegten Zielbereich (40-50mm) lag, fanden sich in Gruppe 1 (PEY) 33 (53%) der Probanden, in Gruppe 2 (PMOD) 13 (43%) und in Gruppe 3 (STDM) 19 (50%) (p=0,669 [χ2-Test]).
3.2.3. Richtige Kompressionen
Bei dem Vergleich des Anteils richtiger Kompressionen fanden sich in Gruppe 1 (PEY) 49%±32, in Gruppe 2 (PMOD) 53%±30 und in Gruppe 3 (STDM) 48%±31 (p=0,840 im Kruskal-Wallis-Test).
Bei dem Vergleich der Gruppen hinsichtlich des Anteils der Probanden mit mindestens 60% richtiger Kompressionen fanden sich in Gruppe 1 (PEY) 27 Probanden (44%), in Gruppe 2 (PMOD) 14 (47%) und in Gruppe 3 (STDM) 17 (45%) (p=0,973 [χ2-Test]).
3.2.4. Checklisten-Items
Für die Gruppen ergaben sich beim Vergleich der Anzahl erreichter Checklisten-Items (max. 8 ) folgende Mittelwerte: Gruppe 1 (PEY) 7±1; Gruppe 2 (PMOD) 8±1 und Gruppe 3 (STDM): 8±1 (p=0,824, Kruskal-Wallis-Test).
Auch im Vergleich des Anteils an Probanden mit mindestens 60% erreichten Checklisten-Items konnten wir keinen signifikanten Unterschied zwischen den Gruppen feststellen (p=1,000 [χ2-Test]). In Gruppe 1 (PEY) waren es 61 Probanden (98%), in Gruppe 2 (PMOD) 30 (100%) und in Gruppe 3 (STDM) 38 (100%).
4. Diskussion
In unserer Studie haben wir drei verschiedene Methoden zur praktischen Vermittlung der Basisreanimation in Bezug auf den mittelfristigen Lernerfolg bei der Reanimationsleistung verglichen. Dieser Aspekt ist von Bedeutung, da es gerade bei der Vermittlung der Basisreanimation wichtig ist, eine nachhaltige Vermittlungsmethode zu nutzen. Die Abrufbarkeit von CPR-Fertigkeiten nimmt langfristig ab [31], ein bis zwei Jahre nach einem Kurs entsprechen diese ungefähr dem Niveau von vor dem Kurs [32]. Jenko el al. [20] konnten zeigen, dass die Vermittlung der kardiopulmonalen Reanimation mit der 4-Schritt-Methode nach Peyton im Vergleich zum zweischrittigen Standardmodel („See one, do one“) hinsichtlich des kurzfristigen Lernerfolgs (unmittelbar am Kursende) keinen Vorteil hatte. Eine weitere, als Abstract publizierte Studie, fand auch nach drei Monaten keinen Unterschied zwischen nach Peyton oder mittels zweischrittiger Methode unterrichteten Gruppen [19]. Allerdings war hier das Anlegen einer stabilen Seitenlage Unterrichtsinhalt, weshalb die Ergebnisse nur sehr bedingt mit unseren verglichen werden können.
In dem von uns untersuchten Kollektiv gab es einzig einen signifikanten Unterschied und zwar bezüglich der mittleren Kompressionsfrequenz in der ersten Prüfung (eine Woche nach Intervention). Die Probanden in Gruppe 3 (STDM), unterrichtet nach dem Vermittlungsansatz „See one, do one“, von uns als Standardmodell bezeichnet (Peyton’sche Schritte 2 und 4), waren in der Prüfung eine Woche nach Intervention signifikant langsamer als die Probanden der anderen Gruppen (PEY: Schritte 1-4; PMOD: Schritte 1, 2 und 4 (siehe Tabelle 4 [Tab. 4])). Die durchschnittliche Kompressionsfrequenz der Gruppe 3 (STDM) lag aber innerhalb der durch die damals geltenden Reanimationsleitlinien vorgegebenen Grenzen.
Es gab keinen signifikanten Unterschied beim Vergleich des Anteils der Probanden mit der richtigen Kompressionsfrequenz. Eine praktische Relevanz des beobachteten Unterschiedes bei der mittleren Kompressionsfrequenz in Abhängigkeit von der Unterrichtsmethode ist demnach unwahrscheinlich. In den kürzlich veröffentlichten neuen Reanimationsleitlinien des ERC [33], wird der Grenzwert höher gesetzt: 100-120 spm. Dies war aber nicht Grundlage des Unterrichts und den Studierenden daher nicht bekannt. Weitere Studien müssen zeigen, welche Faktoren Einfluss auf das Erlernen der richtigen Kompressionsfrequenz haben. Eine Verknüpfung mit Musik beispielsweise scheint nach Hafner et al. [34] einen positiven Effekt zu haben. Der signifikante Unterschied der mittleren Kompressionsfrequenz war in der Prüfung nach einem halben Jahr nicht mehr nachweisbar. Wir führen dies am ehesten auf einen Trainings- und Übungseffekt zurück, denn die Probanden wussten um die zweite Prüfung und hatten somit die Möglichkeit, sich noch einmal gezielt vorzubereiten. Dies könnte allerdings auch ein Grund dafür sein, dass wir mittelfristig keine Unterschiede messen konnten, da etwaige durch die Vermittlungsmethode bedingte Defizite durch gezieltes Training hätten kompensiert werden können. Die Vorbereitungszeit wurde von uns nicht gesondert erfasst, daher ist unbekannt, ob Unterschiede in der Vorbereitungszeit der einzelnen Gruppen existieren. Durch die Randomisierung der Teilnehmer sollte dieses „Risiko“ aber in allen Gruppen vergleichbar gewesen sein. Wir haben abseits einer systematischen Erfassung jedoch keinen Hinweis darauf, dass vor der zweiten Prüfung mehr Übungsmaterial (Reanimationspuppen) als in den vergangenen Semestern ausgeliehen und verbraucht wurde oder die entsprechenden Übungsräume stärker frequentiert waren (Ausleihe für Material und Schlüssel der Räume erfolgt zentral in unserem SkillsLab).
Den Studierenden wurde nicht mitgeteilt, welcher Gruppe sie zugeordnet waren. Da aber davon auszugehen ist, dass sich Studierende untereinander ausgetauscht und daher bemerkt haben dürften, dass der Unterricht zwischen den Gruppen variierte, kann nur bedingt von Verblindung gesprochen und eine diesbezügliche „Verzerrung“ nicht ausgeschlossen werden. Ob dies jedoch Auswirkungen auf die messbare Reanimationsleistung, insbesondere die Druckfrequenz hatte, ist fraglich. Eine strukturierte Erfassung der Übungszeit, der Übungsfrequenz und der Übungspartner sollte daher in einer Folgestudie erfolgen.
Die Aufteilung der Probanden in zwei große Blöcke (erste vier Semesterwochen und zweite vier Semesterwochen) musste so vorgenommen werden, da im vorgegebenen Stundenplan diese Zeiträume für den Erste-Hilfe-Kurs vorgesehen sind. Durch die Randomisierung sollte sich dies jedoch ebenfalls nicht verzerrend ausgewirkt haben.
Wir setzten studentische Mitarbeiter des SkillsLabs als Tutoren ein, diese waren zuvor geschult worden. Dass geschulte Studierende als Tutoren genauso geeignet sind wie professionelles Personal, konnten unter anderem Tolsgaard et al. [35] zeigen.
Die letztlich analysierbaren Fallzahlen wurden durch unerwartet hohe Drop-Out-Raten deutlich reduziert. Bei den von uns erhobenen Prävalenzen für die richtige Kompressionsfrequenz von Gruppe 1 (PEY) und Gruppe 3 (STDM) müsste man in einer erneuten Studie 294 Probanden pro Gruppe untersuchen, eine Power von 80% und α=0,05 zugrunde legend. Für die Prävalenzen der richtigen Kompressionstiefe wären es 985 Probanden. Unsere Studie ist demnach als unterpowert zu bewerten und kann daher nur als Pilotstudie betrachtet werden.
Es wäre denkbar, dass unsere Übertragung der 4-Schritt-Methode nach Peyton von einem Eins-zu-Eins-Setting auf einen Gruppenunterricht die Effektivität dieser Methode verringert hat. Nur ca. zwei Drittel der Studierenden der Gruppe 1 (PEY) haben die richtige Reihenfolge der 4-Schritt-Methode nach Peyton eingehalten, d.h. das Verbalisieren der Tätigkeit vor deren Durchführung. Ein Drittel hat modifikationsbedingt die Tätigkeit zuerst durchgeführt. Zwar geschah dies auf Anweisung des Probanden, der gerade Schritt 3 durchführte und nicht aus eigener Intention heraus, dennoch wurde die ursprünglich vorgesehene Reihenfolge nicht beibehalten. Nikendei et al. haben den Ansatz nach Peyton auch im Gruppensetting angewendet [36]. Hier wurde die ursprünglich intendierte Reihenfolge der einzelnen Schritte für alle Studierenden korrekt eingehalten. Weitere Studien müssen zeigen, ob sich die Reihenfolge der Peyton-Schritte entscheidend auf das Ergebnis auswirkt oder ob beispielsweise der dritte Schritt auch nach erstmaliger motorischer Übernahme der Tätigkeit noch einen Effekt hat.
Zusammenfassend konnten wir in unserer Studie mit den o.g. Einschränkungen weder eine Überlegenheit des Ansatzes nach Peyton (PEY) gegenüber der modifizierten Variante durch „Weglassen von Schritt 3“ (PMOD) noch gegenüber der „See one, do one“-Methode (STDM) nachweisen.
In den kürzlich veröffentlichen neuen Reanimationsleitlinien des ERC wird die Empfehlung des Einsatzes der 4-Schritt-Methode zurückgenommen [31]. Allerdings basiert diese Rücknahme auf Studien, die die Vermittlung anderer praktischer Fertigkeiten6 untersuchten, als die kardiopulmonale Reanimation [17], [18]. Ein Übertragen dieser Studienergebnisse auf die Vermittlung der CPR ist jedoch unserer Meinung nach, nicht ohne weiteres möglich. Der Ansatz nach Peyton wurde ursprünglich beschrieben, um komplexe klinische Fertigkeiten (im speziellen praktisch-operative Fertigkeiten) zu erwerben und zu trainieren [9]. Es gibt Studien, die eine Wirksamkeit der Peyton-Methode bestätigen. Gradl et al. [16] zeigten eine Überlegenheit des Ansatzes nach Peyton in einer Abstract-Veröffentlichung bei der Vermittlung von komplexen, manualtherapeutischen Fertigkeiten, hier wurden 100 dichotome Items beobachtet. Krautter et al. [12] konnten zeigen, dass die komplette 4-Schritt-Methode nach Peyton für die Vermittlung der Anlage eines ZVKs, als komplexe klinische Fertigkeit mit 39 prozeduralen Schritten/Handlungsanweisungen, bessere Ergebnisse brachte als nur Teile der 4-Schritt-Methode. Im Gegensatz dazu konnten Bjørnshave et al. [19] in einer Abstractveröffentlichung zeigen, dass Probanden, denen das Verbringen einer bewusstlosen Person in die stabile Seitenlage mit 8 prozeduralen Schritten vermittelt wurde, nicht von der 4-Schritt-Methode profitierten. Greif et al. [17] zeigten dies für die Vermittlung der Anlage einer Notfall-Cricothyroidotomie mit 10 prozeduralen Schritten und Orde et al. [18] für die Vermittlung Einlage einer Larynxmaske, mit 9 prozeduralen Schritten. Die 4-Schritt-Methode nach Peyton scheint also bei diesen weniger komplexen klinischen (Notfall-)Fertigkeiten keinen messbaren Vorteil zu bringen.
Im Laufe der Jahre wurde die Komplexität der Basisreanimation immer weiter verringert, um für die Breitenvermittlung möglichst leicht erlernbar und für den Notfall möglichst schnell abrufbar zu sein. Exemplarisch sei dies am Beispiel des Auffindens des Druckpunktes gezeigt: In den Reanimationsleitlinien von 2000 [37] besteht allein das Auffinden des richtigen Druckpunktes aus sechs aufeinanderfolgenden Anweisungen, fünf Jahre später nur noch aus einer Einzigen [27]. Aktuell wird die gesamte Reanimation durch die Aktion „Ein Leben retten“ des Berufsverbandes deutscher Anästhesisten und der Deutschen Gesellschaft für Anästhesiologie und Intensivmedizin in drei Worten zusammengefasst: „Prüfen, Rufen, Drücken“ [http://www.einlebenretten.de].
In unserer Studie gab es 19 prozedurale Schritte/Handlungsanweisungen (16 dichotome Items und 3 Reanimationsparameter, siehe Abbildung 2 [Abb. 2] und Tabelle 4 [Tab. 4]). Denkbar ist demnach, dass die Reduktion der Komplexität die 4-Schritt-Methode nach Peyton für ein hochselektiertes Probandenkollektiv (Medizinstudierende) weniger wirksam werden lässt. Der Ansatz bliebe aber für die Breitenausbildung (medizinische Laien) weiterhin interessant.
Krautter et al. 2011 [14] zeigten die Überlegenheit des Ansatzes nach Peyton auch auf einer anderen Ebene - bei der Vermittlung der Anlage einer Magensonde: Im prozeduralen Vergleich (über Checklisten, 13 dichotome Items) war die 4-Schritt-Methode der klassischen Vermittlungsmethode zwar nicht überlegen, zeigte jedoch Vorteile bei der Arzt-Patienten Kommunikation, im professionellen Auftreten und bei der Geschwindigkeit der Durchführung der Tätigkeit. Diesen Aspekt zeigten auch Lund et al. [15] für die Vermittlung der Anlage einer peripheren Venenverweilkanüle, allerdings war in dieser Studie auch die Interventionsgruppe (4-Schritt-Methode), der Kontrollgruppe („See one, do one“) im prozeduralen Vergleich überlegen (25 dichotome Items). Die, über den prozeduralen Vergleich hinausgehende Dimension des Peyton’schen Ansatzes wurde durch unsere Studie nicht betrachtet, da kommunikative Fertigkeiten, hygienische Fertigkeiten und professionelles Auftreten bei der Basisreanimation eine eher untergeordnete Rolle spielen. Von Wichtigkeit wird dieser Aspekt jedoch bei der Vermittlung von erweiterten Reanimationsfertigkeiten (Advanced Life Support, ALS), wenn Teamkommunikation und (Führungs-) Rollenverteilung in den Vordergrund treten.
Weitere Studien mit größeren Fallzahlen müssen klären, ob die Reihenfolge der Peyton’schen Schritte eingehalten werden muss, ob die Wahl der Vermittlungsmethode auf die Motivation der Teilnehmer wirkt, ob die Angleichung von Kompetenz und Kompetenzgefühl erreicht werden kann oder ob die Vermittlungsmethode der Zielgruppe angepasst werden sollte.
Des Weiteren bleibt zu klären, ob die 4-Schritt-Methode nach Peyton ein geeignetes Instrument für unerfahrene Tutoren sein kann, um Struktur und Sicherheit in der Vermittlung von praktischen Fertigkeiten zu bekommen und welche Gruppengröße für diesen Vermittlungsansatz als optimal zu betrachten ist.
Auf der Suche nach Vermittlungsmethoden für die Basisreanimation in tutorgeleiteten Kursen sollte mehr Kreativität und Mut zum Ausprobieren von Vermittlungsmethoden bestehen, allerdings jeweils wissenschaftlich begleitet und evaluiert im Sinne der Best Evidence Medical Education (BEME). Die 4-Schritt-Methode nach Peyton sollte als „Dogma“ [38] in Frage gestellt werden, was mit den kürzlich erschienen ERC-Leitlinien zur Reanimation schon geschehen ist, jedoch sollte sie nicht gänzlich aus dem Vermittlungsrepertoire für die kardiopulmonale Reanimation gestrichen werden.
Anmerkungen
1 PEY=Peyton; PMOD=Peyton modifiziert; STDM=Standardmodell
2 Vorerfahrung: Erste-Hilfe-Kurs innerhalb der letzten 2 Jahre, Sanitätsausbildung, Ausbildung Physiotherapie, Krankenpflegeausbildung, Ausbildung im Rettungsdienst
3 Im Modellstudiengang in Köln stimmen die Studierenden global zu, dass ihre persönlichen Daten zu Forschungszwecken personalisiert, pseudonymisiert und/oder anonymisiert erhoben und verarbeitet, jedoch nie personalisiert veröffentlicht werden dürfen
4 Im Studienverlauf waren diese Zeitpunkte für den Erste-Hilfe-Kurs reserviert und von uns nicht frei veränderbar.
5 „richtige Kompressionen“ sind Kompressionen mit richtiger Druckpunktposition und kompletter Entlastung des Thorax nach Kompression.
6 Einlage einer Larynxmaske [18] und Anlage einer Notfallcricothyreoidotomie mittels eines speziellen Tubus [17]
Danksagung
Bedanken möchten sich die Autoren bei den zahlreichen Mitarbeiterinnen und Mitarbeitern des SkillsLab, die durch ihre tatkräftige Unterstützung, teils bis tief in die Nacht, diese Studie möglich gemacht haben, insbesondere: Elisabeth Sauer, Katharina Albrecht, Carsten Wessels, Patrick Lang Daniel Weber, Traugott Gruppe und David Schwarz.
Interessenkonflikt
Die Autoren erklären, dass sie keinen Interessenkonflikt im Zusammenhang mit diesem Artikel haben.
Literatur
[1] Kouwenhoven WB, Jude JR, Knickerbocker GG. Closed-chest cardiac massage. JAMA. 1960;173:1064–1067. DOI: 10.1001/jama.1960.03020280004002[2] Gräsner JT, Seewald S, Bohn A, Fischer M, Messelken M, Jantzen T, Wnent J. German resuscitation registry. Anaesthesist. 2014;63(6):470–476. DOI: 10.1007/s00101-014-2324-9
[3] Gräsner JT, Wnent J, Gräsner I, Seewald S. Einfluss der Basisreanimationsmaßnahmen durch Laien auf das Überleben nach plötzlichem Herztod. Notfall Rettungsmed. 2012;15(7):593-599. DOI: 10.1007/s10049-012-1584-7
[4] Waalewijn RA, Tijssen JG, Koster RW. Bystander initiated actions in out-of-hospital cardiopulmonary resuscitation: results from the Amsterdam Resuscitation Study (ARRESUST). Resuscitation. 2001;50(3):273–279. DOI: 10.1016/S0300-9572(01)00354-9
[5] Schnabel KP, Boldt PD, Breuer G, Fichtner A, Karsten G, Kujumdshiev S, Schmidts M, Stosch C. A consensus statement on practical skills in medical school - a position paper by the GMA Committee on Practical Skills. GMS Z Med Ausbild. 2011;28(4):Doc58. DOI: 10.3205/zma000770
[6] MFT Medizinischer Fakultätentag der Bundesrepublik Deutschland e. V. Nationaler Kompetenzbasierter Lernzielkatalog Medizin. Berlin: MFT Medizinischer Fakultätentag der Bundesrepublik Deutschland e. V; 2015. S.346
[7] Peyton JW. Teaching and Learning in Medical Practice. Heronsgate Rickmansworth, Herts.: Manticore Europe Ltd; 1998.
[8] Fabry G. Medizindidaktik. Bern: Verlag Hans Huber; 2008.
[9] Walker M, Peyton JW. Teaching in the Theatre. In: Teaching and Learning in Medical Practice. Heronsgate Rickmansworth, Herts.: Manticore Europe Ltd; 1998. S.171–180.
[10] Banduras A. Lernen am Modell: Ansätze zu einer sozial-kognitiven Lerntheorie. Stuttgart: Klett-Verlag; 1976.
[11] Jawhari J, Krautter M, Dittrich R, Jünger J, Nikendei C. Instruktion im Skills-Lab: Differentielle Effekte der Peyton-Schritte auf die Gedächtnisleistung. Jahrestagung der Gesellschaft für Medizinische Ausbildung (GMA). Aachen, 27.-29.09.2012. Düsseldorf: German Medical Science GMS Publishing House; 2012. DOcV568. DOI: 10.3205/12gma199
[12] Krautter M, Dittrich R, Safi A, Krautter J. Peyton's four-step approach: differential effects of single instructional steps on procedural and memory performance–a clarification study. Adv Med Educ Pract. 2015;6:399-406. DOI: 10.2147/AMEP.S81923
[13] Reich K. Systemisch-konstruktivistische Pädagogik – Einführung in Grundlagen einer interaktionitisch-konstruktivistischen Pädagogik. 2nd ed. Neuwied, Kriftel, Berlin: Luchterhand; 1997.
[14] Krautter M, Weyrich P, Schultz JH, Buss SJ, Maatouk I, Jünger J, Nikendei C. Effects of Peyton's four-step approach on objective performance measures in technical skills training: a controlled trial. Teach Learn Med. 2011;23(3):244–250. DOI: 10.1080/10401334.2011.586917
[15] Lund F, Schultz JH, Maatouk I, Krautter M, Möltner A, Werner A, Weyrich P, Jünger J, Nikendei C. Effectiveness of IV Cannulation Skills Laboratory Training and Its Transfer into Clinical Practice: A Randomized, Controlled Trial. PLoS. 2012;7(3):e32831. DOI: 10.1371/journal.pone.0032831
[16] Gradl G, Luebke C, Muenker R, Steinbusch J, Pape HC, Knobe M. Die Vermittlung komplexer manualtherapeutischer Fertigkeiten – Konventionelle Lehre oder 4-Schritt-Methode nach Peyton: Eine prospektive randomisierte Studie. Gemeinsame Jahrestagung der Gesellschaft für Medizinische Ausbildung (GMA) und des Arbeitskreises zur Weiterentwicklung der Lehre in der Zahnmedizin (AKWLZ). Leipzig, 30.09.-03.10.2015. Düsseldorf: German Medical Science GMS Publishing House; 2015. DocV534. DOI: 10.3205/15gma121
[17] Greif R, Egger L, Basciani RM, Lockey A, Vogt A. Emergency skill training—A randomized controlled study on the effectiveness of the 4-stage approach compared to traditional clinical teaching. Resuscitation. 2010;81(12):1692–1697. DOI: 10.1016/j.resuscitation.2010.09.478
[18] Orde S, Celenza A, Pinder M. A randomised trial comparing a 4-stage to 2-stage teaching technique for laryngeal mask insertion. Resuscitation. 2010;81(12):1687–1691. DOI: 10.1016/j.resuscitation.2010.05.026
[19] Bjørnshave K, Krogh LQ, Hansen SB, Nebsbjerg MA, Rasmussen SE, Thim T, Løfgren B. Abstract 19242: No Difference in Skill Acquisition and Retention When Teaching Laypersons Recovery Position Using Four-stage and Two-stage Teaching Technique: A Randomized Comparison. Circulation. 2015;131:A19242.
[20] Jenko M, Frangež M, Manohin A. Four-stage teaching technique and chest compression performance of medical students compared to conventional technique. Croat Med J. 2012;53(5):486–495. DOI: 10.3325/cmj.2012.53.486
[21] Bullock I. Skill acquisition in resuscitation. Resuscitation. 2000;45(2):139–143. DOI: 10.1016/S0300-9572(00)00171-4
[22] Nolan J, Baskett P. Advanced life support course provider manual. 4 ed. London: Resuscitation Council (UK); 2001.
[23] Sopka S, Biermann H, Rossaint R, Knott S, Skorning M Brokmann JC, Heussen N, Beckers SK. Evaluation of a newly developed media-supported 4-step approach for basic life support training. Scand J Trauma Resusc Emerg Medc. 2012;20:37. DOI: 10.1186/1757-7241-20-37
[24] Perkins G. ERC Course strategy 2008 [Internet]. genoplivning.dk. 2008 [cited 2016 Feb 9]. Available from: http://genoplivning.dk/wp-content/uploads/2013/08/ERC-Course-strategy-2008.pdf
[25] Harden MR, Grant J, Buckley G, Hart IR. BEME Guide No. 1: Best Evidence Medical Education. Med Teach. 2009;21(6):553–562.
[26] Fabry G, Fischer MR. Replication - The ugly duckling of science? GMS Z Med Ausbild. 2015;32(5):Doc57. DOI: 10.3205/zma000999
[27] Handley AJ, Koster R, Monsieurs K, Perkins GD, Davies S, Bossaert L, Bahr J. Lebensrettende Basismaßnahmen für Erwachsene und Verwendung automatisierter externer Defibrillatoren. Notfall Rettungsmed. 2006;9(1):10–25. DOI: 10.1007/s10049-006-0792-4
[28] Baskett P, Nolan J, Handley A, Soar J, Biarent D, Richmond S. Prinzipien des Trainings in der Wiederbelebung. Notfall Rettungsmed. 2006;9(1):164–70. DOI: 10.1007/s10049-006-0799-x
[29] Kern KB. A Study of Chest Compression Rates During Cardiopulmonary Resuscitation in Humans. Arch Intern Med. 1992;152(1):145–149. DOI: 10.1001/archinte.1992.00400130153020
[30] Abella BS, Sandbo N, Vassilatos P, Alvarado JP, O'Hearn N, Wigder HN, Hoffman P, Tynus K, Vanden HOek TL, Becker LB. Chest Compression Rates During Cardiopulmonary Resuscitation Are Suboptimal A Prospective Study During In-Hospital Cardiac Arrest. Circulation. 2005;111(4):428–434. DOI: 10.1161/01.CIR.0000153811.84257.59
[31] Greif R, Lockey AS, Conaghan P, Lippert A, De Vries W, Monsieurs KG; Education and Implementation of resuscitation section Collaborators; Collaborators. European Resuscitation Council Guidelines for Resuscitation 2015: Section 10. Education and implementation of resuscitation. Resuscitation. 2015;95:288–301. DOI: 10.1016/j.resuscitation.2015.07.032
[32] Moser DK, Coleman S. Recommendations for improving cardiopulmonary resuscitation skills retention. Heart Lung. 1992;21(4):372–380.
[33] Perkins GD, Handley AJ, Koster RW, Castrén M, Smyth MA, Olasveengen T, Monsieurs KG, Raffay V, Gärsner JT, Wenzel V, Ristagno G, Soar J; Adult basic life support and automated external defibrillation section Collaborators. European Resuscitation Council Guidelines for Resuscitation 2015: Section 2. Adult basic life support and automated external defibrillation. Resuscitation. 2015;95:81–99. DOI: 10.1016/j.resuscitation.2015.07.015
[34] Hafner JW, Jou AC, Wang H, Bleess BB, Tham SK. Death Before Disco: The Effectiveness of a Musical Metronome in Layperson Cardiopulmonary Resuscitation Training. J Emerg Med. 2015;48(1):43–52. DOI: 10.1016/j.jemermed.2014.07.048
[35] Tolsgaard MG, Gustafsson A, Rasmussen MB, HØiby P, Müller CG, Ringsted C. Student teachers can be as good as associate professors in teaching clinical skills. Med Teach. 2007;29(6):553–557. DOI: 10.1080/01421590701682550
[36] Nikendei C, Huber J, Stiepak J, Huhn D, Lauter J, Herzog W, Jünger J, Krautter M. Modification of Peyton's four-step approach for small group teaching – a descriptive study. BMC Med Educ. 2014;14:68. DOI: 10.1186/1472-6920-14-68
[37] Handley AJ, Monsieurs KG, Bossaert LL. European Resuscitation Council Guidelines 2000 for Adult Basic Life Support. Resuscitation. 2001;48(3):199–205. DOI: 10.1016/S0300-9572(00)00377-4
[38] Barelli A, Scapigliati A. The four-stage approach to teaching skills: The end of a dogma? Resuscitation. 2010;81(12):1607-1608. DOI: 10.1016/j.resuscitation.2010.09.010




