Querschnittevaluation des Medizinischen Curriculums München (MeCuM) mit Hilfe des Progress Tests Medizin (PTM)
Ralf Schmidmaier 1Matthias Holzer 1
Matthias Angstwurm 1
Zineb Nouns 2
Martin Reincke 3
Martin R. Fischer 4
1 Klinikum der Universität München, Medizinische Klinik Innenstadt, Schwerpunkt Medizindidaktik, München, Deutschland
2 Charité - Universitätsmedizin Berlin, Dieter Scheffner Zentrum für medizinische Hochschullehre und evidenzbasierte Ausbildungsforschung, Progress Test Medizin, Berlin, Deutschland
3 Universität München (LMU), Medizinische Fakultät, Studiendekanat, München, Deutschland
4 Private Universität Witten/Herdecke, Fakultät für Gesundheitsberufe, Institut für Didaktik und Bildungsforschung im Gesundheitswesen, Witten, Deutschland
Zusammenfassung
Zielsetzung: Das Medizinische Curriculum München (MeCuM) wurde seit 2004 implementiert. Seit 2007 ist MeCuM im klinischen Studienabschnitt voll etabliert (Ende der Übergangsregelungen). Aktuell sollte MeCuM bezüglich der Nachhaltigkeit des im Modul 2 „Konservative Medizin“ (6./7. Semester) vermittelten Wissens evaluiert werden.
Methodik: Im Sommersemester 2009 und Wintersemester 2009/2010 absolvierten 1065 Studierende den Progress Test Medizin (PTM). Zusätzlich beantworteten die Studierenden einen Fragebogen zur Akzeptanz und Bewertung des PTM sowie zu demographischen Basisdaten.
Ergebnisse: Das Wissen „Konservative Medizin“ nimmt im klinischen Studienabschnitt kontinuierlich zu, wobei sich deutliche Unterschiede in den internistischen Subdisziplinen zeigen. Die Akzeptanz des PTM ist sehr hoch und nimmt im Studienverlauf zu. Praktische Erfahrungen (Famulatur) beeinflussen das Testergebnis signifikant.
Schlussfolgerung: Mit dem PTM kann die Nachhaltigkeit erworbenen Wissens im Verlauf eines klinischen Curriculums evaluiert werden.
Schlüsselwörter
Evaluation, Progress Test, Innere Medizin, erworbenes Wissen
Einleitung
Problemlage
Das Ziel der ärztlichen Ausbildung ist die Vermittlung von praktischen Fähigkeiten sowie von nachhaltigem Fachwissen [1]. Im Gegensatz zu bestehensrelevanten, summativen Abschlussprüfungen überprüft der formative Progress Test Medizin (PTM) spontan abrufbares, also nachhaltig gespeichertes Wissen, da sich die Studierenden nicht vorbereiten [2]. Hauptziel von Progress-Tests ist das individuelle Feedback an die Studierenden [3]. Die erhobenen Daten können jedoch auch hinsichtlich einer Curriculumsevaluation analysiert werden. Der Progress-Test ist ein verlässliches Instrument, das institutions- und länderübergreifend angewandt wird [4]. In longitudinaler Anwendung (Analyse der Wissenszuwachskurven) können Progress-Tests zum Vergleich verschiedener Curricula bzw. curricularer Veränderungen dienen [5], [6], [7]. Dabei ist die longitudinale Wissenszunahme der stabilere und reliablere Parameter als die Messung einzelner Bezugspunkte [8]. In den bisherigen Untersuchungen wurde eine Längsschnitterhebung durchgeführt und der Zuwachs des Wissens gemessen [5], [6], [7], [8]. Im Rahmen des vorliegenden Projektes an der Ludwig-Maximilians-Universität (LMU) München wurde eine Querschnittanalyse durchgeführt und die Nachhaltigkeit von erworbenem Wissen spezieller Fachgebiete – hier exemplarisch der „Konservativen Medizin“ – überprüft. Im klinischen Studienabschnitt des Medizinischen Curriculums München (MeCuM) werden die Studierenden nach einem gemeinsamen Semester zu Grundlagen der klinischen Medizin im 6. Semester auf die Module konservative und operative Medizin verteilt und tauschen im 7. Semester vice versa. Seit Abschaffung der Staatsexamensprüfung vor Beginn des Praktischen Jahres werden die Studierenden nach Erhalt der Leistungsnachweise Innere Medizin und Chirurgie bis zum 2. Abschnitt der Ärztlichen Prüfung am Ende des Studiums nicht mehr bezüglich ihres Wissens in diesen Fächern geprüft bzw. erhielten bisher diesbezüglich kein Feedback. Zum Sommersemester 2009 wurde an der LMU München der Progress Test Medizin der Charite Berlin eingeführt. Den Curriculumsplanern und Modulverantwortlichen des MeCuM war bis zu diesem Zeitpunkt nicht bekannt, wie der Verlauf des Wissens der einzelnen Fächer und Spezialdisziplinen aussieht, ob das Wissen wieder abnimmt, erhalten bleibt oder vielleicht sogar zunimmt.
Ziel
Das Ziel der vorliegenden Arbeit war die Evaluation der Nachhaltigkeit des Wissens aus dem Modul „Konservative Medizin“ im MeCuM.
Fragestellung
Wie viel spontan abrufbares Wissen aus dem Lernzielkatalog des Moduls „Konservative Medizin“ erwerben die Studierenden der LMU tatsächlich und wie nachhaltig ist dieses Wissen im weiteren Verlauf des Studiums? Ist der PTM hilfreich für die Evaluation eines medizinischen Curriculums?
Methoden
Progress Test Medizin an der LMU München
Abbildung 1 [Abb. 1] zeigt das Rotationsverfahren der Studentenkohorten im MeCuM sowie die Messzeitpunkte. Die Studierenden aus Modul 1 werden auf die Modul 2 und 3 verteilt, die dann im folgenden Semester wechseln. Im dann folgenden Semester werden die Studierenden auf die Module 4 und 5 verteilt, die dann im folgenden Semester wechseln. In der ersten Semesterwoche der Sommersemester 2009 und Wintersemester 2009/2010 wurde an jeweils drei Messzeitpunkten im klinischen Studienabschnitt der PTM (http://ptm.charite.de) verpflichtend durchgeführt: T1: Beginn des Modul 2 („Konservative Medizin“; M2; Kohorten A+B), T2: Beginn des Modul 4 („Nervensystem und Sensorium“; M4; Kohorten C+D) und T3: während des Praktischen Jahres. In der PJ-Kohorte (T3; Kohorten E+F) wurden nur diejenigen Studierenden im Praktischen Jahr oder Modul 6 geprüft, die nicht im Ausland waren und beim Staatsexamensrepetitorium (LMU-StaR) angemeldet waren. LMU-StaR ist ein PJ-begleitendes fakultatives Blended-Learning-Konzept, das von der Mehrheit der Studierenden im PJ wahrgenommen wird. Eine Analyse der Basisdaten (Alter, Geschlecht, Abiturnote, Note des 1. Abschnitts der Ärztlichen Prüfung) zeigte, dass sich die LMU-StaR-Teilnehmer statistisch nicht signifikant von den restlichen PJ-Studierenden unterschieden. Über die beiden Semester verteilt wurden alle Studierenden des klinischen Studienabschnittes jenseits des Modul 1 genau einmal getestet (N=1065; SoSe09: T1=249, T2=202; T3=156; WiSe09/10: T1=197, T2=190, T3=71). Für die Auswertung wurden die Fragen des PTM durch den Verantwortlichen des Moduls 2 den Modulen des MeCuM, insbesondere dem Modul 2 „Konservative Medizin“ zugeordnet. Zudem erfolgte noch eine Aufgliederung der internistischen Subdisziplinen (Endokrinologie, Gastroenterologie, Infektiologie, Kardiologie, Nephrologie, Onkologie, Pneumologie, Rheumatologie) entsprechend dem Lernzielkatalog des Moduls 2. Unmittelbar im Anschluss an den PTM füllten die Studierenden einen Evaluationsbogen aus. Dieser umfasste zum einen Fragen zum PTM, zum anderen Fragen zur eigenen Person. Die Rücklaufquoten der Evaluation betrugen im SoSe09 T1=94%, T2=92%, T3=94%, im WiSe09/10 T1=79%, T2=82%, T3=89% (Mittelwert insgesamt 88,3%).

Statistik
Die statistische Auswertung und Erzeugung der Grafiken wurde in dem Open-Source Statistikpaket R (http://www.r-project.org) in der Version 2.9.0 sowie im Programm Microsoft Excel vorgenommen. Da für die Verteilung der Ergebnisse des PTM eine Normalverteilung gezeigt werden konnte, erfolgte die Berechnung der angegebenen Korrelationskoeffizienten nach Pearson. Weiter wurden zu den meisten erhobenen Variablen Mittelwert und Standardabweichung (SD) bestimmt. Die angegebenen p-Werte wurden bei vorliegender Normalverteilung mit einem t-Test ermittelt, ansonsten mit einem Wilcoxon-Rangsummentest. Für die Berechnung der Korrelation der PTM-Leistung mit Items des Fragebogens (Abitur, erstes Staatsexamen, Selbsteinschätzung etc.) wurde der Rangkorrelationskoeffizient Spearmans rho verwendet. Die Boxplots zeigen den Bereich zwischen dem 25% und 75% Perzentil, die Linie innerhalb der Box zeigt den Median an. Überschneiden sich die Einschnürungen (notches) zweier Gruppen nicht, ist der Unterschied signifikant.
Ergebnisse
Implementierung, Ergebnisse und Akzeptanz des PTM an der LMU
Die Durchführung des PTM war entsprechend den Leitlinien der Charité – Universitätsmedizin Berlin aus organisatorischer Sicht problemlos. Bezüglich der Gesamtleistung sind die Studierenden der LMU mit im Mittel 46,3 Punkten (SD=21,7) zu Beginn des 6. Semesters, 61,7 Punkten (SD=21,8) zu Beginn des 8. Semesters und 77,9 (SD=24,9) zu Beginn des 10. Semesters mit den Studierenden des Regelstudiengangs in Berlin (36,8, 57,7 bzw. 71,2 Punkte; SD=18,2, 22,6, bzw. 27,2) und den Studierenden der Universität Witten/Herdecke (45,8, bzw. 55,3; SD=20,7 bzw. 17,4; keine Daten zu 10. Semester verfügbar) vergleichbar.
Die Akzeptanz des PTM durch die LMU-Studierenden war insgesamt sehr hoch. Die Frage „Individuelle Rückmeldung zu meinem Leistungsstand halte ich für wichtig. [Likert-Skala: 1=trifft voll zu; 6=trifft gar nicht zu]“ wurde im Mittel mit 1,73 (N=894; SD=0,91) beantwortet. Dieses Feedback-Bedürfnis nimmt im Verlauf des Studiums zu und erreicht den Wert 1,20 zu Beginn des PJ (T3). Der PTM wurde global („Den Progress Test Medizin bewerte ich insgesamt mit folgender Schulnote:“) mit der durchschnittlichen Schulnote 2,27 (N=917: SD=0,92) bewertet. Dies führt zur ganz überwiegenden Befürwortung der festen Implementierung des PTM an der LMU („Der Progress Test Medizin sollte fest an der LMU eingeführt werden. [Likert-Skala: 1=trifft voll zu; 6=trifft gar nicht zu]“). Entsprechend spricht sich insbesondere die Kohorte T3 zu 67% für die Durchführung einmal pro Semester aus („Wie häufig sollte Ihrer Meinung nach der Progress Test Medizin während des Studiums durchgeführt werden?“; [jedes Semester – einmal im Jahr – seltener – nie]). Nur 4% der Studierenden dieser Kohorte schlugen „seltener“ oder „nie“ vor (T1: 22%; T2: 12%).
Verlauf des Wissens „Konservative Medizin“ im MeCuM
Mittels der Daten der großen Querschnittanalyse wurde eine Evaluation des Moduls 2 „Konservative Medizin“ durchgeführt. Aufgrund subjektiver Einschätzungen von Hochschullehrern der LMU und in Analogie zu einer großen Analyse zum Wissen in Innerer Medizin bei praktizierenden Ärzten [9], bei der sich eine signifikante, inverse Korrelation zwischen dem Testergebnis und der verstrichenen Zeit seit der Facharztprüfung zeigte, wurde untersucht, ob das Wissen in „Konservativer Medizin“ im weiteren Verlauf des Studiums wieder abnimmt. Überdies bestand die Annahme und subjektive Erfahrung des Curriculumkomitees, dass im Modul 3 „Operative Medizin“ ebenfalls viele Lernziele des Moduls 2 „Konservative Medizin“ vermittelt werden. Durch diese ungezielten Redundanzen entstehen gravierende Inhomogenitäten im Vorwissen der Studierenden, die den Kleingruppenunterricht (Seminare, problem-orienterte Lern-Tutorials) erschweren.
Abbildung 2 [Abb. 2] zeigt, dass das Wissen „Konservative Medizin“ (Modul 2) in Modul 2 und 3 (Vergleich T2 versus T1), aber entgegen der initialen Erwartung auch im weiteren Studienverlauf bis zum Beginn des Praktischen Jahres zunimmt (T3). Die Ergebnisse von SoSe2009 und WiSe09/10 wurden gepoolt und gezeigt wird das Ergebnis in Prozent der erreichten Punkte. Die Zahl der Fragen zur „Konservativen Medizin“ und somit auch die absolute Zahl der erreichbaren Punkte sind in jedem Semester unterschiedlich. In Abbildung 3 [Abb. 3] ist zu erkennen, dass in Modul 3 ein signifikanter Wissenszuwachs bzgl. „Konservativer Medizin“ erfolgt (A vs. B). Nach Absolvierung beider Module sind die Ergebnisse wieder auf identischem Niveau (C, D) und nehmen bis zum Zeitpunkt T3 (E/F) nochmals zu, wobei diese Zunahme statistisch nicht signifikant ist.


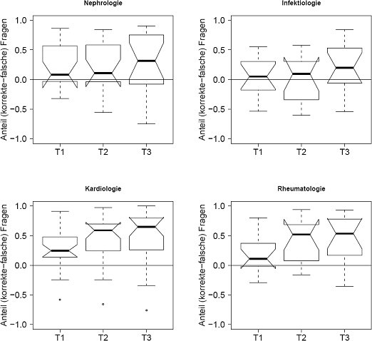
Die Lernziele sind im Modul 2 „Konservative Medizin“ abschnittsweise auf die einzelnen Subspezialitäten der Inneren Medizin aufgeteilt. Daher wurde auch untersucht, ob es Unterschiede im Wissenszuwachs zwischen diesen Spezialitäten gibt. Abbildung 4 [Abb. 4] illustriert, dass Fächer mit höheren Wissenszuwachs (Bsp. Kardiologie oder Rheumatologie) von Fächern unterschieden werden können, bei denen sich das Wissen bezüglich der im Progresstest abgefragten spezifischen Lernziele praktisch nicht ändert (Bsp. Infektiologie oder Nephrologie). Die weitere Analyse zeigt (siehe Abbildung 5 [Abb. 5]), dass das Vorwissen aus dem vorklinischen Studienabschnitt und dem Modul 1 „klinische Grundlagen“ bezüglich der spezifischen internistischen Lernziele gering ist. Neben Kardiologie zeigen nur noch Endokrinologie, Onkologie und Pneumologie vergleichbar hohe Ausgangswerte. Unabhängig von diesem Vorwissen kommt es bei Fächern wie der Rheumatologie oder Kardiologie zu einem ausgeprägten Wissenszuwachs im Modul 2. Hier zeigt sich praktisch keine weitere Zunahme im weiteren Verlauf des Studiums. Hingegen holen die Studierenden das mangelnde Wissen in Nephrologie oder Infektiologie im weiteren Studium auf. Hier findet der signifikante Zuwachs erst nach Abschluss von Modul 2 statt. Bei einem Querschnittfach wie Infektiologie ist dies gut nachzuvollziehen.


Einflussfaktoren für das Abschneiden im PTM
Im Sinne einer Validitätstestung sollte an der gemessenen Kohorte überprüft werden, welche Qualitäten der PTM wirklich misst bzw. genauer gesagt durch welche Parameter auf Seiten der Teilnehmer die Testergebnisse beeinflusst werden.
Leistung
Betrachtet man das Wissen des Moduls 2 „Konservative Medizin“ zeigt sich eine signifikante Korrelation (rho=-0,38) zwischen dem Abschneiden bei der Modul-2-Klausur und den Punkten beim PTM im Bereich Innere Medizin. Die Modul-2-Klausur ist eine summative schriftliche Prüfung, die in zwei Teilen abgehalten wird (Mitte und Ende des Modul 2) und sowohl Multiple-Choice-Questions (MCQ´s) als auch offene Fragen beinhaltet. Die erreichten Punkte im PTM im Teil Innere Medizin korrelieren darüber hinaus signifikant mit der Note im Abitur (rho=-0,26) bzw. dem 1. Abschnitt der Ärztlichen Prüfung (rho=-0,37). Das Geschlecht der Teilnehmer hatte keinen Einfluss auf das Ergebnis.
Motivation
Als weiterer Einflussfaktor wurde die Motivation zur Teilnahme untersucht. Als Surrogatparameter wurden die subjektive Globalbewertung des PTM („Schulnote“, s.o.) sowie der Wunsch zur Einführung an der LMU („Implementierung“, s.o.) herangezogen. Hier zeigt sich ein besseres Abschneiden bei besserer subjektiver Bewertung. Eine signifikante Korrelation (rho=-0,29) kann hier ebenso beobachtet werden wie bei der (rho=-0,36) Korrelation zwischen der Selbsteinschätzung („Wie schätzen Sie Ihr Ergebnis im Progress Test Medizin insgesamt/Innere Medizin ein? Ich gehöre in meinem Jahrgang zu den...“ [Likert-Skala (1-5): sehr guten, guten, durchschnittlichen, schlechten, sehr schlechten Teilnehmern]) und dem Ergebnis im PTM. Diese Korrelation zeigt sich in fast identischer Ausprägung für die Items „Konservative Medizin“, jedoch unabhängig davon, ob die Studierenden das Modul 2 „Konservative Medizin“ schon absolviert haben oder nicht.
Erfahrung
Laut Selbstbeschreibung bildet der PTM den Querschnitt des Wissensniveaus ab, welches von einem Absolventen an seinem ersten Tag im Berufsleben erwartet wird. Ein großer Teil der Items beinhaltet eine klinische Fallvignette. Es sollte daher untersucht werden, ob neben der individuellen Leistungsfähigkeit (reflektiert durch Abiturnote bzw. Physikumsnote) auch die klinische Erfahrung der Studierenden das PTM-Testergebnis beeinflusst. Es zeigt sich ein signifikanter Zusammenhang (p<0,0001) zwischen der Absolvierung einer Famulatur auf das PTM-Gesamtergebnis. Die Verbesserung des Ergebnisses im Bereich „Konservative Medizin“ durch das PJ-Tertial Innere Medizin am Ende des Studiums stellte sich (n=60) nicht als signifikant heraus.
Diskussion
Der Progress Test Medizin ist ein formatives Feedback-Instrument für Studierende, welches das Wissen abprüft, über das ein Arzt an seinem ersten Arbeitstag verfügen sollte [2]. Erfasst man alle Studierenden einer Hochschule zu einem definierten Zeitpunkt und betrachtet nur die Fragen eines bestimmten Inhaltsbereiches, dann kann mit dem gleichen Test der Verlauf des Fachwissens während des Studiums und damit das Curriculum evaluiert werden. Der PTM wurde bislang erst in einer kleinen Studie 2004 im Reformstudiengang der Charité – Universitätsmedizin Berlin spezifisch zu Curriculumsevaluation genutzt. In einer britischen Studie wurden Studierende des letzten Studienjahres bezüglich ihres Wissens im muskulo-skelettalen Bereich evaluiert [10]. Die am ehesten vergleichbare Studie stammt aus den Niederlanden, wo in einem problembasierten, studentenzentrierten Curriculum der Wissenszuwachs in Psychiatrie und Verhaltensforschung analysiert wurde [11]. Hier wurden curriculare Veränderungen vorgenommen, da es in den letzten beiden Studienjahren nicht mehr zur kontinuierlichen Wissenszunahme kam, wie es bei einem POL-Curriculum zu erwarten gewesen wäre. Da die Studierenden den Zeitpunkt der Bearbeitung der Lernziele größtenteils selbst wählten, war eine Analyse der Nachhaltigkeit von einmal erworbenem Wissen hier nicht möglich. Der deutsche Progress Test Medizin der Charité -Universitätsmedizin Berlin wurde bereits zur Curriculumsevaluation genutzt [12], jedoch vorwiegend zum interfakultären Vergleich und nicht zur Analyse einzelner Bestandteile eines spezifischen Curriculums.
Natürlich können mit der in dieser Arbeit beschriebenen Auswertungsmethode nur sehr mittelbar Rückschlüsse auf die Qualität des Curriculums gezogen werden. Jedoch ist der nachhaltige Behalt von Fachwissen ein wichtiger Outcomeparameter eines Studienganges. Kommunikative und praktische Fertigkeiten bleiben jedoch bei dieser Betrachtung beinahe völlig unbeachtet. Der signifikante Einfluss der Famulaturen könnte entweder darauf hinweisen, dass der zu großen Teilen fallbasierte deutsche PTM zu einem relevanten Anteil klinisch relevantes Handlungswissen abprüft oder dass in Famulaturen auch verstärkt Faktenwissen gelernt wird. Die frühe Durchführung einer Famulatur könnte jedoch auch Hinweis auf eine überdurchschnittliche Motivation dieser Gruppe von Studierenden sein. Während die Abiturnote und die subjektive Selbsteinschätzung mit dem Testergebnis korrelieren, ist die Einstellung zum PTM wenig ausschlaggebend. Kritisch muss zur eigenen Analyse angemerkt werden, dass aus organisatorischen Gründen am Zeitpunkt T3 nur diejenigen Studierenden teilnehmen konnten, die im Münchener Staatsexamensrepetitorium LMU-StaR teilnahmen. Bezüglich der Basisdaten (Alter, Geschlecht, Abiturnote, Note 1. Abschnitt der Ärztlichen Prüfung) unterschied sich diese Subgruppe jedoch nicht statistisch signifikant von den anderen Studierenden, so dass der Selektionsbias wohl eher gering ist. Diesbezüglich sollten aber in zukünftigen Untersuchungen auch motivationale Aspekte stärker berücksichtigt werden. Insgesamt erscheint eine Längsschnittanalyse als die geeignetere Methode zur Beantwortung der Fragestellung, jedoch liegt in der raschen Ergebnisgewinnung ein besonderer Charme. Bei Längsschnittbeobachtung könnte erst nach mehreren Jahren eine Curriculumsreform erfolgen und deren Effektivität wieder erst nach mehreren Jahren gemessen werden.
Ziel der Querschnittanalyse aller Studierenden im klinischen Studienabschnitt der LMU war die Evaluierung des Moduls 2 „Konservative Medizin und die Klärung der Frage, ob der Progress Test Medizin für einen solchen Zweck als Evaluationsinstrument mit herangezogen werden kann. Das MeCuM ist in autonomen Modulen organisiert, wobei nach den klinischen Grundlagenfächern in Modul 1 bereits sehr früh die internistischen und operativen Basisfächer interrichtet werden. Es bestand und besteht dabei immer die Befürchtung bei Lehrenden und Studierenden, dass dieses Wissen bis zum Eintritt ins PJ größtenteils verloren geht. Die durchgeführte Querschnittanalyse mittels PTM zeigte jedoch, dass das Wissen „Konservative Medizin“ auch nach Abschluss des Moduls 2 „Konservative Medizin“ kontinuierlich zunimmt. Vergleichbare Ergebnisse der Wissenszunahme von absolut 16,6% im Nachhaltigkeitstest nach acht Monaten zeigten sich in einer mexikanischen Untersuchung bei 584 Humanmedizinstudierenden im 3. Ausbildungsjahr im Fach Pharmakologie [13]. Hier hatten sich die Studierenden bewusst auf das Examen vorbereitet und wurden unvorbereitet nach acht Monaten nochmals untersucht. Dieses Setting entspricht im Wesentlichen der an der LMU untersuchten Situation. Interessanterweise konnten diese Ergebnisse in Mexiko nur bei einem neu konzipierten Pharmakologiekurs erhoben werden; bei dem alten, klassischen Kurs kam es dagegen nicht zur Wissenszunahme. Ähnliche Ergebnisse konnten auch bei einer nordamerikanischen Untersuchung gefunden werden [14]. Andere Analysen – überwiegend zum biomedizinischen Grundlagenwissen – ergaben einen Wissensverlust nach 15 bis 21 Monaten zwischen 2,9% und 35% [15], [16], [17]. In einer gut geplanten, aktuellen Studie wurden drei Fächer (Immunologie, Physiologie und Neuroanatomie) miteinander verglichen [18], wobei sich ein Wissensverlust von 17,6%, 19,4% bzw. dramatischen 52,7% nach 10-11 Monaten zeigte. Die Unterschiede standen nicht im Zusammenhang mit den Noten im primären Test oder der Akzeptanz der Kurse durch die Studierenden. Nachhaltiges Wissen wird durch aktives Lernen und die Natur des Lehrmaterials (prozedural versus deklarativ; allgemein versus spezifisch) beeinflusst. Nach einem multidisziplinären Chirurgie-Kurs zur mesorektalen Exzision in Kanada kam es auch nach einem Jahr zu keinem signifikanten Wissensverlust [19]. Aufgrund der unterschiedlichen Curriculumsstruktur und Abfolge der Lernzielimplementierung ist ein korrekter Vergleich der untersuchten Universitäten München (LMU), Berlin und Witten/Herdecke nicht möglich. Wendet man jedoch die Lernzieldefinition der LMU auf die Curricula in Berlin und Witten/Herdecke an, dann ergeben sich auch dort kontinuierlich ansteigende Kurven des Wissens „Konservative Medizin“. Letztlich ist aber nicht zu klären, ob es sich um ein generelles Phänomen im Fach Innere Medizin handelt oder ob alle drei Universitäten aufgrund ihrer besonderen didaktischen Konzepte zu einem besonderen Wissenserhalt führen. Besonders interessant bei der LMU-spezifischen Analyse war, dass im Modul 2 „Konservative Medizin“ in manchen internistischen Subdisziplinen praktisch kein Wissenszuwachs erfolgt, obwohl sie sich im Curriculum bzgl. Lehr- und Prüfungsformen nicht von anderen internistischen Subdisziplinen unterscheiden. Am ehesten handelt es sich dabei um Inkongruenzen des Modul-2-Lernzielkataloges und den Prüfzielen des PTM. Diese Rückmeldung kann zu Optimierungen in Modul 2 führen. Überdies konnten bei Studierenden und Dozenten als störend empfundene, Curriculums-induzierte (insbesondere durch unterschiedliche Modulabfolge, siehe Abbildung 1 [Abb. 1]) Inhomogenitäten im Vorwissen der Studierenden durch die Querschnittanalyse belegt werden. Diese Daten unterstützen eine geplante Curriculumsreform an der LMU (organzentriertes, interdisziplinäres, chirurgisch-internistisches Basisjahr).
Zusammenfassend zeigt die vorgestellte Analyse, dass durch Einführung des PTM ein Beitrag zur Evaluation eines Curriculums bezüglich nachhaltig vermittelten Fachwissens möglich ist. Am Beispiel der Inneren Medizin wurde dargestellt, dass das nachhaltige Wissen kontinuierlich und in Abhängigkeit von den praktischen Erfahrungen der Studierenden im klinischen Studienabschnitt zunimmt. An anderer Stelle konnten Defizite des Curriculums dokumentiert werden. Mittels wiederholter Durchführung solcher Querschnittanalysen können die Effekte erfolgter Curriculumsveränderungen evaluiert werden.
Anmerkung
Dieser Artikel wurde als Projektarbeit im Rahmen des Master of Medical Education (MME)-Studiengangs des Medizinischen Fakultätentages an der Medizinischen Fakultät der Universität Heidelberg erarbeitet.
Interessenkonflikt
Die Autoren erklären, dass sie keine Interessenkonflikte in Zusammenhang mit diesem Artikel haben.
Literatur
[1] Bundesministerium für Gesundheit. Approbationsordnung für Ärzte vom 27. Juni 2002. Bundesgesetzbl. 2002;Teil I(Nr.44).[2] Osterberg K, Kölbel S, Brauns K. Der Progress Test Medizin: Erfahrungen an der Charité Berlin. GMS Z Med Ausbild. 2006;23(3):Doc46. Zugänglich unter/available from: http://www.egms.de/static/de/journals/zma/2006-23/zma000265.shtml.
[3] Blake JM, Norman GR, Keane DR, Mueller CB, Cunnington J, Didyk N. Introducing progress testing in McMaster University's problem-based medical curriculum: psychometric properties and effect on learning. Acad Med. 1996;71(9):1002-1007. DOI: 10.1097/00001888-199609000-00016
[4] Freeman A, van der Vleuten C, Nouns Z, Ricketts C. Progress testing internationally. Med Teach. 2010;32(6):451-455. DOI: 10.3109/0142159X.2010.485231
[5] Van der Veken J, Valcke M, De Maeseneer J, Schuwirth L, Derese A. Impact on knowledge acquisition of the transition from a conventional to an integrated contextual medical curriculum. Med Educ. 2009;43(7):704-713. DOI: 10.1111/j.1365-2923.2009.03397.x
[6] Peeraer G, De Winter BY, Muijtjens AM, Remmen R, Bossaert L, Scherpbier AJ. Evaluating the effectiveness of curriculum change. Is there a difference between graduating student outcomes from two different curricula? Med Teach. 2009;31(3):e64-e68. DOI: 10.1080/01421590802512920
[7] Bianchi F, Stobbe K, Eva K. Comparing academic performance of medical students in distributed learning sites: the McMaster experience. Med Teach. 2008;30(1):67-71. DOI: 10.1080/01421590701754144
[8] Muijtjens AM, Schuwirth LW, Cohen-Schotanus J, Thoben AJ, van der Vleuten CP. Benchmarking by cross-institutional comparison of student achievement in a progress test. Med Educ. 2008;42(1):82-88. DOI: 10.1111/j.1365-2923.2007.02896.x
[9] Ramsey PG, Carline JD, Inui TS, Larson EB, LoGerfo JP, Norcini JJ, Wenrich MD. Changes over time in the knowledge base of practicing internists. JAMA. 1991;266(8):1103-1107.
[10] Basu S, Roberts C, Newble DI, Snaith M. Competence in the musculoskeletal system: assessing the progression of knowledge through an undergraduate medical course. Med Educ. 2004;38(12):1253-1260. DOI: 10.1111/j.1365-2929.2004.02017.x
[11] Van Diest R, Van Dalen J, Bak M, Schruers K, Van der Vleuten C, Muijtjens A, Scherpbier A. Growth of knowledge in psychiatry and behavioural sciences in a problem-based learning curriculum. Med Educ. 2004;38(12):1295-1301. DOI: 10.1111/j.1365-2929.2004.02022.x
[12] Nouns ZM, Brauns K, HanflerS. Der Progress Test Medizin als Evaluationsinstrument. GMS Z Med Ausbild. 2005;22(4):Doc132. Zugänglich unter/available from: http://www.egms.de/static/de/journals/zma/2005-22/zma000132.shtml
[13] Rodriguez R, Campos-Sepulveda E, Vidrio H, Contreras E, Valenzuela F. Evaluating knowledge retention of third-year medical students taught with an innovative pharmacology program. Acad Med. 2002;77(6):574-577. DOI: 10.1097/00001888-200206000-00018
[14] Saffran M, Kennedy WB, Kelley PR. Retention of knowledge of pharmacology by U.S. and Canadian medical students. Trends Pharmacol Sci. 1982;3:461-463. DOI: 10.1016/0165-6147(82)91235-4
[15] Swanson DB, Case SM, Luecht RM, Dillon GF. Retention of basic science information by fourth year medical students. Acad Med. 1996;71(10 Suppl):S80-S82. DOI: 10.1097/00001888-199610000-00051
[16] Watt ME. Retention of preclinical knowledge by clinical students. Med Educ. 1987;21(2):119-124. DOI: 10.1111/j.1365-2923.1987.tb00677.x
[17] Krebs R, Hofer R, Bloch R, Guibert JJ. Conversation et oubli des connaissances en biologie acquises pour le premier examen propedeutique de medicine. MEDUCS Bull Ass Suisse Educ Med. 1994;4:10-15.
[18] D’Eon MF. Knowledge loss of medical students on first year basic science courses at the university of Saskatchewan. BMC Med Educ. 2006;6:5. DOI: 10.1186/1472-6920-6-5
[19] Cheifetz RE, Phang PT. Evaluating learning and knowledge retention after continuing medical education course on total mesorectal excision for surgeons. Am J Surg. 2006;191(5):687-690. DOI: 10.1016/j.amjsurg.2006.01.043



