Geschlechterperspektive als integraler Bestandteil eines Seminars zur Prävention des Tabakkonsums
Richard Lux 1Susanne Bisson 1
Ulla Walter 1
1 Medizinische Hochschule Hannover, Stiftungslehrstuhl Prävention und Rehabilitation in der System- und Versorgungsforschung, Institut für Epidemiologie, Sozialmedizin und Gesundheitssystemforschung, Hannover, Deutschland
Zusammenfassung
Wissenschaftliche Erkenntnisse der letzten Jahre bestätigen die Bedeutung von Geschlechtsspezifika im Rauchverhalten und Auftreten tabakassoziierter Erkrankungen. Dem steht ein ärztlicher Kompetenzmangel hinsichtlich geschlechteradäquater Prävention des Tabakkonsums gegenüber. Mit dem Ziel, diese Diskrepanz zu mindern, wurde innerhalb des Querschnittsbereiches Prävention und Gesundheitsförderung ein Seminar zur Rauchprävention im Rahmen des grundständigen Medizinstudiums entwickelt und evaluiert. Eine zeitgleiche, allen Studierenden zugängliche Vorlesung zum selben Thema unterstützt dieses Ziel.
Das Seminar besteht aus vier Unterrichtseinheiten. Darin wird der geschlechtsunspezifischen Perspektive eine spezifische gegenübergestellt. Unter Verwendung sich einander ergänzender Arbeitsblätter wird die Thematik in studentischen Kleingruppen erarbeitet. Der interaktiven Unterrichtsform liegt das Konzept des Kooperativen Lernens zugrunde. Das Seminar wurde von Juli 2006 bis Juli 2008 siebenmal durchgeführt. An den sieben Seminaren nahmen insgesamt 145 Studierende (94 weiblich/51 männlich) teil; 25% der Studierenden gaben an zu rauchen. In allen Seminaren war die Akzeptanz der Geschlechterperspektive nach dem Seminar signifikant höher als zuvor. Kein Zusammenhang zeigte sich zwischen der Zunahme der Akzeptanz einerseits sowie dem Geschlecht und Rauchstatus der Studierenden andererseits.
Die umfassende Sex- und Genderperspektive innerhalb der Seminare bezieht die Geschlechtlichkeit der Medizinstudierenden, der Lehrenden sowie der virtuellen und realen Patientinnen und Patienten ein. Die Wissensvermittlung zeichnet sich durch Geschlechteradäquatheit auf inhaltlicher, sprachlicher und prozessualer Ebene aus.
Schlüsselwörter
Seminar, Prävention des Tabakkonsums, Geschlecht, Curriculum, Evaluation
Einleitung
In der medizinischen Versorgung spielen die geschlechtsspezifischen Folgeschäden des patientenseitigen Tabakkonsums und das unterschiedliche Auftreten tabakassoziierter Erkrankungen unter den Geschlechtern eine bedeutende Rolle [1]. Niedergelassene und in der Klinik praktizierende Ärztinnen und Ärzte könnten eine Schlüsselposition insbesondere bei der Primär- und Sekundärprävention des Tabakkonsums einnehmen [2]. Zu den ärztlichen Aufgaben im ambulanten und stationären Sektor könnte beispielsweise gehören, die passive Tabakrauchexposition bzw. den Raucheinstieg von Mädchen und Jungen zu verhindern, weiblichen und männlichen Heranwachsenden beim Ausstieg behilflich zu sein oder bei Frauen und Männern einem postabstinenten Rückfall vorzubeugen [3]. Dass dies trotz nachgewiesener Effektivität einer ärztlichen Intervention des Rauchverhaltens nicht in einem angemessenen Umfang geschieht, hängt nicht zuletzt mit einer mangelhaften Vorbereitung in der Ausbildung und einer Vernachlässigung dieser Aspekte in der Weiterbildung zusammen [4], [5]; diese Phasen der beruflichen Qualifikation basieren zu überwiegenden Teilen weiterhin auf therapiebetonten und geschlechterneutralen Inhalten [6].
Ziel des hier vorgestellten Projektes ist es, der ärztlichen Tabakprävention in der medizinischen Lehre einen größeren Stellenwert einzuräumen und die Geschlechterperspektive als eigenständigen Aspekt in das Curriculum zu implementieren. Der 2003 eingeführte Querschnittsbereich Prävention und Gesundheitsförderung bietet hierfür einen geeigneten Rahmen [7].
Projektbeschreibung
Entwicklung des Seminars
Um die Akzeptanz der Geschlechterthematik bei den Studierenden zu prüfen sowie erste Erfahrungen zu sammeln, wurde zunächst eine 90-minütige Unterrichtseinheit (UE) mit Geschlechterbezug entworfen und im Frühjahr 2006 in ein bereits bestehendes Seminar zur Tabakproblematik integriert. Dieses ließ bis dato die Geschlechterperspektive weitestgehend unberücksichtigt. Basierend auf den Erfahrungen wurde im darauffolgenden Tertial ein neues Seminar mit den Schwerpunkten Geschlecht und Rauchen entwickelt. Das Seminar wurde seit diesem Zeitpunkt kontinuierlich evaluiert; einzelne Seminarbestandteile wurden auf Grundlage der Evaluationsergebnisse inhaltlich und strukturell umgestaltet. Im Kontrast zur ursprünglichen Konzeption wurden beispielsweise die Grundbegriffe aus der Prävention und Gesundheitsförderung in der ersten UE nicht mehr anhand allgemeiner, sondern unmittelbar themenbezogener Beispiele illustriert. Das Exkursionsziel in einer der nachfolgenden UEs wechselte von einer eher arztfernen zu einer berufsnahen Institution. Dabei erfolgten die weitestgehenden Modifikationen nach erstmaliger Durchführung des kompletten Seminars, das von Juli 2006 bis Juli 2008 insgesamt siebenmal durchgeführt wurde.
Seminarstruktur
Innerhalb des grundständigen Studienganges Humanmedizin an der Medizinischen Hochschule Hannover (MHH) werden für die Studierenden im dritten Studienjahr im Querschnittsbereich Public Health I (Prävention und Gesundheitsförderung) pro Tertial insgesamt fünf obligatorische Seminare zu unterschiedlichen Themen angeboten. Die Studierenden müssen eines dieser Seminare durchgehend besuchen und können sich dieses frei auswählen. Limitierender Faktor bei dieser Auswahl ist eine annähernd gleiche zahlenmäßige Verteilung der Studierenden auf die Seminare.
Das Seminar zu Tabakkonsum und -prävention unter Berücksichtigung von Geschlechteraspekten besteht aus vier Unterrichtseinheiten (UE I-IV) à 90 Minuten und wird durch eine zeitgleiche, allen Studierenden zugängliche Vorlesung (45 Minuten) zum selben Thema ergänzt. Die UEs werden durchgehend von einem Seminarleiter betreut. Dies garantiert eine didaktische Kontinuität und entspricht dem Wunsch der Studierenden nach einer konstant präsenten Ansprechperson mit inhaltlicher und struktureller Zuständigkeit. Mit Ausnahme der vierten UE ist der Seminarleiter auch alleiniger Dozent des Seminars. Diese (abschließende) UE führt die Seminarteilnehmer im Rahmen einer Exkursion in eine ambulante Einrichtung für nikotinabhängige Jugendliche oder eine pneumologische Abteilung für Erwachsene. Sie wird von einem MHH-externen Dozenten unter Mitwirkung des Seminarleiters gestaltet.
Als Arbeits- und Sozialform überwiegt die studentische Kooperation in Kleingruppen. In jeder UE widmen sich arbeitsteilig vier Kleingruppen verschiedenen Subthemen, die auf Grundlage sich einander ergänzender Arbeitsblätter aufbereitet werden. Die Ergebnisse der Gruppenarbeiten werden von den Studierenden im Laufe der UE präsentiert und diskutiert [8].
Des Weiteren werden praxisrelevante Verhaltensweisen wie die anamnestische Erhebung des Rauchstatus und des sozialen Kontextes sowie das beratende und motivierende Gespräch mit der Patientin/dem Patienten anhand individueller, personalisierter und geschlechterunterschiedlicher Fallbeispiele eingeübt. Diese Fallbeispiele sind Grundlage für Rollenspiele, in denen eine virtuelle klinische Arzt-Patienten-Situation simuliert wird und sich die Studierenden sowohl in die Lage des Konsultierten als auch des Konsultierenden versetzen [9]. Medien wie Folien und Informationsmaterialien werden ergänzend eingesetzt.
Dozentenzentrierter Unterricht findet nur in sehr begrenztem Umfang statt. Stattdessen wird bei der Wissenserarbeitung die Form des Kooperativen Lernens bevorzugt, das dem Dozenten die gemeinsame Planung und Gestaltung des Unterrichtes mit den Studierenden [10], deren Partizipation, Perspektivenwechsel sowie Reflexion ermöglicht [11].
Den Studierenden wird vermittelt, dass sie die ihnen gestellten Aufgaben nur mit Unterstützung der übrigen Seminarteilnehmerinnen und -teilnehmer bewältigen können [12]. So äußern sich die Studierenden entweder frei im Sinne eines entwickelnden Lehr- bzw. lockeren Unterrichtsgespräches, reagieren auf Beiträge anderer oder nehmen problemerschließende Anmerkungen des Dozenten auf und verwerten diese weiter. Angesichts der Mehrpoligkeit der Interaktionen zwischen Lehrenden und Lernenden werden unterschiedliche Interessen und Ausgangsbedingungen in die Unterrichtsgestaltung aktiv einbezogen [13] sowie die Studierenden mit Ansichten konfrontiert, die u. a. aus der Geschlechtszugehörigkeit ihres Gegenübers resultieren [14].
Seminarinhalte
Das Seminar widmet sich ausschließlich den Themen Tabakkonsum und -prävention. In jeder der vier UEs werden in sich geschlossene Inhalte vermittelt. Die Abfolge der UEs entspricht einer inhaltlichen Chronologie. Konzeptionell werden in jeder UE geschlechterunspezifischen Aspekten geschlechterspezifische gegenübergestellt (siehe Tabelle 1 [Tab. 1]). Zunächst erarbeiten sich die Studierenden intrageschlechtliche Aspekte und Entwicklungen; anschließend bereiten sie intergeschlechtliche Übereinstimmungen und Differenzen auf.
Tabelle 1: Die Unterrichtseinheiten (UEs) und ihre Inhalte
Dabei werden die Seminarinhalte nicht durch die Begrifflichkeiten Sex (biologische Komponenten) und Gender (soziokulturelle Komponenten des Geschlechts) dominiert. Vielmehr kehren diese Aspekte – wie die beiden gleichwertigen Zentralperspektiven Alter und Sozialschichtzugehörigkeit – als Leitmotiv in einem ausgewogenen Verhältnis immer wieder und werden in den Lehrstoff eingebettet.
Bereits auf dem Arbeitsblatt der ersten UE, welches der Wiederholung und Vertiefung der in der vorangegangenen Vorlesung präsentierten Definitionen dient, lautet die zweistufige Aufgabe an die Kleingruppen:
„Was bedeutet das jeweilige Präventionsstadium bzw. die Gesundheitsförderung im Zusammenhang mit der Tabakproblematik?
und
Welche Fragen ergeben sich aus den Konzepten Sex und Gender für …?
- die Primärprävention des Rauchens?
- die Sekundärprävention des Rauchens?
- die Tertiärprävention des Rauchens?
- die Gesundheitsförderung im Sinne einer Unterstützung des Nichtrauchens?“
Diesen Fragen wird eine Erklärung der Begriffe Sex und Gender vorangestellt. Intention dieser Aufgaben ist es, Kreativität zu fördern und freie Assoziationen zu initialisieren. Darüber hinaus sollen die Studierenden für eine Geschlechterperspektive im Rahmen der in den nachfolgenden UEs zu bearbeitenden Aufgaben sensibilisiert werden.
Zur Komplettierung des geschlechtsperspektivischen Anspruches werden auch in der Exkursion durch den MHH-externen Dozenten Geschlechtergleichheiten und -unterschiede aufgegriffen. Praxisnähe und geschlechterrelevante berufliche Erfahrung im ärztlichen Umgang mit Patientinnen und Patienten zeichnen im beschriebenen Projekt auch den Seminarleiter aus, was sich bei der Beurteilung der fachlichen Schlüssigkeit und logisch-verständlichen Darstellung der von den Studierenden präsentierten Ergebnisse als hilfreich erweist [15].
Methoden
Am Ende jeder UE erhalten die Studierenden einen teilstandardisierten Fragebogen zur Beurteilung der gerade erfolgten UE. Im Anschluss an die letzte UE bewerten die Studierenden zusätzlich das gesamte Seminar. Die Beantwortung der geschlossenen Fragen erfolgt durch Ankreuzen einer fünfstufigen Smiley-Skala. Für die Auswertung werden die Smileys in Ziffern von 1 (geringste Zustimmung) bis 5 (höchste Zustimmung) übersetzt. Jeder Bogen ermöglicht zudem Stellungnahmen in offener Form.
Die Beschreibung der Stichprobe basiert auf den Fragebögen der ersten UE. Die Akzeptanz der Geschlechterperspektive wird in der Kategorie „Wie wichtig ist Ihrer Meinung nach die Differenzierung von Sex und Gender für das Thema Tabakprävention?“ mit zwei Items erfragt:
- Ihr Urteil vor der zurückliegenden Unterrichtseinheit,
- Ihr Urteil nach der zurückliegenden Unterrichtseinheit.
Zur Beurteilung der Akzeptanzentwicklung in den Seminaren wurde die Differenz der Werte vor und nach dem Seminar gebildet (Nachher-Wert minus Vorher-Wert). Die statistische Auswertung erfolgte mittels SPSS 15.0 für Windows. Das Signifikanzniveau wurde auf p<,05 festgelegt. Als Analyseverfahren wurden Chi-Quadrat- und t-Test sowie Varianz- und Kovarianzanalysen eingesetzt.
Ergebnisse
Im Evaluationszeitraum wurde das Seminar siebenmal mit insgesamt 145 Studierenden (weiblich: n=94, 65%; männlich: n=51, 35%) durchgeführt. An jedem Seminar nahmen im Schnitt 21 (Range: 17-25) Studierende teil.
Von den 145 Studierenden haben 134 (92,4%) einen Fragebogen für die erste UE abgegeben (Frauen: n=92, 97%; Männer: n=43, 84%). 33 Personen (24,6%) gaben an, derzeit zu rauchen. Die Raucherquote lag bei den Frauen mit 22% (n=20) unterhalb der Raucherquote bei den Männern mit 30% (n=13); dieser Unterschied erwies sich allerdings als nicht signifikant (p=,32).
Akzeptanz der Geschlechterperspektive
Abbildung 1 [Abb. 1] zeigt die Akzeptanz der Geschlechterperspektive vor und nach der Teilnahme an den Seminaren. Der durchschnittliche Mittelwert vor dem Seminar liegt bei 2,9 (Range: 2,2-3,3). Dabei zeigen sich beim Vergleich der Seminare signifikante Unterschiede in der Akzeptanz der Geschlechterperspektive (p=,01). Die durchschnittliche Akzeptanz nach dem Seminar liegt mit einem Wert von 3,9 (Range: 3,3-4,5) deutlich über dem Wert vor dem Seminar. Auch hier sind die Unterschiede in der Akzeptanz zwischen den sieben Seminaren signifikant (p=,005).
Abbildung 1: Akzeptanz der Geschlechterperspektive vor (unausgefüllter Kreis) und nach (ausgefüllter Kreis) Teilnahme an dem jeweiligen Seminar (T: Tertial, SS: Sommersemester, WS: Wintersemester)
Der durchschnittliche Mittelwert (m) der Nachher-Vorher-Differenz über alle Seminare liegt bei 1,0. Der geringste Zugewinn an Akzeptanz wurde in Seminar 4 (m=0,4) erreicht, der größte in Seminar 5 (m=1,8) (siehe Abbildung 2 [Abb. 2]). Die Unterschiede zwischen den Seminaren sind signifikant (p=,006).
Abbildung 2: Akzeptanz der Geschlechterperspektive (Differenz nach vs. vor Teilnahme an den Seminaren)
Da die Geschlechterakzeptanz vor dem Seminar in den einzelnen Seminaren signifikant unterschiedlich ist, wurde zusätzlich in einer Kovarianzanalyse der Effekt dieses Wertes auf die Differenz der Geschlechterakzeptanz geprüft. Diese Analyse zeigt einen signifikanten Einfluss des Urteils vor dem Seminar (p<,001). Bei Kontrolle dieses Wertes erweisen sich die Unterschiede zwischen den Seminaren nicht mehr als signifikant (p=,08).
Geschlecht und Rauchen
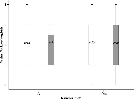
Sowohl bei den männlichen als auch den weiblichen Studierenden liegt der Mittelwert für die Zunahme der Akzeptanz über alle Seminare bei 0,9. Über alle Seminare unterscheiden sich die rauchenden Studierenden (m=1,0) hinsichtlich der Zunahme an Akzeptanz nur marginal von den nichtrauchenden (m=0,9). Bei weiblichen rauchenden Studierenden zeigte sich eine etwas größere Akzeptanzzunahme (m=1,1) im Vergleich zu ihren nichtrauchenden Kommilitoninnen (m=0,9); bei den männlichen Studierenden zeigte sich kein Unterschied im Zusammenhang mit dem Rauchstatus (Raucher/Nichtraucher: m=0,9) (siehe Abbildung 3 [Abb. 3]). In der Varianzanalyse erweisen sich alle Unterschiede als nicht signifikant (Modell: p=,95; Rauchen: p=,81; Geschlecht: p=,71; Interaktion Rauchen*Geschlecht: p=,64).
Abbildung 3: Gesamtakzeptanz der Geschlechterperspektive über alle Seminare nach Geschlecht (Frauen: weiß, Männer: grau) und Rauchstatus
Diskussion
In den Curricula vieler medizinischer Fakultäten zum Themenkomplex Tabakkonsum und -prävention bleibt die Geschlechterperspektive unberücksichtigt [16], obwohl dieses Thema als Arbeitsgrundlage sex- und genderfokussierter Aspekte hervorragend geeignet ist. Die soziokulturellen Einflüsse auf das Rauchverhalten und der Tabakkonsum als Indikator individueller und gesellschaftlicher Prozesse sind eine ergiebige Grundlage, die Bedeutung von Geschlechtlichkeit unter verschiedenen Perspektiven zu erörtern. Darüber hinaus lassen sich konventionelle Rollenbilder, die bis in das ärztliche Berufsleben hineinwirken und sich dort beispielsweise als Geschlechtsunterschiede in der Erhebung des patientenseitigen Rauchstatus sowie in der arztseitigen Interventionswilligkeit manifestieren [17], frühzeitig hinterfragen.
Auch wenn für die Dozenten eine Verbalisierung geschlechtsbezogener Besonderheiten ungewohnt sein mag, stellt die praktische Konfrontation mit dem geschlechtsspezifischen Rauchverhalten und Auftreten tabakassoziierter Erkrankungen eine Erfahrung dar, deren Vermittlung es zu fördern gilt. Zudem bleibt es nicht aus, dass sowohl die MHH-externen Dozenten als auch der Seminarleiter ihres eigenen Rollenverständnisses und ihrer Einstellung zur Geschlechterperspektive gewahr werden [18], [19].
Geschlechteradäquatheit bei der Wissenserarbeitung innerhalb des Seminars ist auf der inhaltlichen, sprachlichen und prozessualen Ebene von Bedeutung. Die inhaltliche Ebene umfasst u. a. den Hinweis auf eine fehlende Geschlechterunterscheidung oder auf die Über- bzw. Unterrepräsentanz eines der beiden Geschlechter in Studien, die den Erkenntnissen zu Rauchverhalten und Tabakprävention zugrunde liegen. Auf der sprachlichen Ebene wird die Stereotypisierung und geschlechtsbezogene Verallgemeinerung von Sachverhalten vermieden [20]. Prozessual wird beispielsweise die gemeinsame Erarbeitung von tabakassoziierten Erkrankungen geschlechtsspezifischer Organe und Organsysteme nicht dazu genutzt, die Geschlechter und ihre Identität ausschließlich über den Organbezug zu definieren. Vielmehr werden die Schädigungen in den Kontext weiterer, Identität stiftender Faktoren, die es im Rahmen präventiver Strategien zu beachten gilt, gestellt [21].
Geschlechtsneutrale, in der Tabakprävention etablierte Maßnahmen werden zwar hinsichtlich ihrer unterschiedlichen Wirkung auf die weibliche und männliche Zielgruppe analysiert und bewertet. Geschlechteradäquatheit als solches wird jedoch nicht grundsätzlich und ausschließlich als Kriterium für die Güte einer Maßnahme herangezogen, da die Gefahr eines dogmatischen Ansatzes minimiert werden soll [22]. Allgemeingültige und bewährte Modelle, die den Studierenden die Umsetzung des theoretischen Wissens in die Praxis erleichtern sollen, werden um geschlechtsspezifische Aspekte ergänzt.
Trotz der limitierten Anzahl an Teilnehmenden pro Tertial erlaubt die Häufigkeit der Seminardurchführung und die Kontinuität der Rahmenbedingungen (Seminarleitung, -inhalt und -struktur) eine Aussage über die Akzeptanz der Geschlechterperspektive seitens der Studierenden. Der Beurteilung, ob ein Seminar wie das vorgestellte dem Anspruch, Geschlechteraspekte in verschiedenen Ebenen zu implementieren, gerecht wird, sollten mindestens zwei Dimensionen zugrunde gelegt werden:
- die Berücksichtigung von Sex und Gender in der behandelten Thematik (Objektbezug) [23],
- die Bedeutsamkeit von Geschlechtlichkeit der am Seminar beteiligten Akteurinnen und Akteure (Subjektbezug) [24].
Da am Ende eines jeden Seminars sich eine positive Entwicklung hinsichtlich der Akzeptanz der Geschlechterperspektive zeigte, scheint das Seminar der Dimension mit Objektbezug zu genügen.
Die Messung, ob die Dimension mit Subjektbezug erfüllt wurde, erweist sich nicht nur im Rahmen des beschriebenen Seminars als schwierig. Nicht zuletzt aufgrund fehlender Erhebungsinstrumente besteht bis heute in der erziehungswissenschaftlichen Literatur zu geschlechtsspezifischem Seminarverhalten Uneinigkeit darüber, ob und inwiefern sich Studentinnen und Studenten in ihren Verhaltensweisen voneinander unterscheiden [25]. Indirekte Hinweise für die Effekte der im vorgestellten Seminar verwendeten Lehr- und Lernmethoden können die Evaluation der studentischen Zufriedenheit, die anonymen Kommentare der Studierenden in den Fragebögen und die Gespräche mit den Studierenden außerhalb des Seminars sein. Die Zufriedenheit, die ebenfalls mit den Fragebögen erhoben wurde, war hoch. Die studentischen Kommentare gaben keine Hinweise auf eine unterschiedliche Ansprache von weiblichen und männlichen Studierenden. Die Gespräche mit den Studierenden nach dem Unterricht haben das Projekt in seiner Zielsetzung bestärkt.
Die Etablierung der Geschlechterperspektive in das Curriculum basierte an der MHH auf zwei Säulen. Zum einen bedurfte es engagierter, nicht notwendigerweise in der Patientenversorgung involvierter und häufig sozialwissenschaftlich geprägter Personen, die innerhalb der ausbildenden Institution für das Thema Geschlecht das Bewusstsein geweckt und die Infrastruktur zur Vermittlung des Themas aufgebaut haben. Zum anderen haben sich konkrete und praktikable Unterrichtsinhalte, eine unmittelbare Anwendbarkeit geschlechterbezogener Handlungsempfehlungen in der Patientenversorgung, die ärztliche Erfahrung des Seminarleiters im Umgang mit Patientinnen und Patienten verschiedenen Alters und unterschiedlicher sozialer Herkunft sowie die Einbettung von Seminar und Vorlesung in die bereits bestehenden Ausbildungsstrukturen als hilfreich erwiesen [26].
Schlussfolgerung
Die Vermittlung von Sex- und Gender-Aspekten im Seminar zu Tabakkonsum und dessen Prävention erfolgte mit einer im Verlauf aller bisher durchgeführten Seminare zunehmenden Akzeptanz der Geschlechterperspektive. Der Zugewinn an Akzeptanz war unabhängig von der Geschlechterzugehörigkeit und dem Rauchstatus der Studierenden. Der Grad der Praktikabilität und die Relevanz für die spätere berufliche Tätigkeit waren hierfür eine wichtige Grundlage. Diese Ergebnisse motivieren zu einer Ausweitung der curricularen Implementierung geschlechterbezogener Subthemen. Obwohl die Aspekte Sex und Gender auch an der MHH noch immer ein Nischendasein fristen, weisen die interdisziplinären Bemühungen auf eine Verstetigung der Geschlechterthematik hin.
Literatur
[1] Bolego C, Poli A, Paoletti R. Smoking and gender. Cardiovasc Res. 2002;53(3):568-576. DOI: 10.1016/S0008-6363(01)00520-X.[2] Goldstein MG, DePue JD, Monroe AD, Lessne CW, Rakowski W, Prokhorov A, Niaura R, Dubé CE. A population-based survey of physician smoking cessation counseling practices. Prev Med. 1998;27(5):720-729. DOI: 10.1006/pmed.1998.0350.
[3] West R, McNeill A, Raw M. Smoking cessation guidelines for health professionals: an update. Health Education Authority. Thorax. 2000;55(12):987-999. DOI: 10.1136/thorax.55.12.987.
[4] Roddy E, Rubin P, Britton J; Tobacco Advisory Group of the Royal College of Physicians. A study of smoking and smoking cessation on the curricula of UK medical schools. Tob Control. 2004;13(1):74-77. DOI: 10.1136/tc.2003.004572.
[5] Spangler JG, George G, Foley KL, Crandall SJ. Tobacco intervention training: current efforts and gaps in US medical schools. JAMA. 2002;288(9):1102-1109. DOI: 10.1001/jama.288.9.1102.
[6] Busch J, Babitsch B, Dohnke B, Begenau J, Braun V. Dören M, Regitz-Sagrosek V, Fuchs J. Integration geschlechtsspezifischer Inhalte in die Lehre der Charité - Universitätsmedizin Berlin. GMS Z Med Ausbild. 2007;24(3):Doc149. Zugänglich unter: http://www.egms.de/en/journals/zma/2007-24/zma000443.shtml.
[7] Brennecke R, Boschek HJ, Geraedts M, Scheidig S, Swart E, Walter U. Deutsche Gesellschaft für Sozialmedizin und Prävention (DGSMP) Sozialmedizinischer Stoffkatalog für die ärztliche AppO vom 27.6.2002. Gesundheitswesen. 2006;68(1):48-64. DOI: 10.1055/s-2005-858956.
[8] Elster D. Was ist guter naturwissenschaftlicher Unterricht? Wiener Lehrerinnen und Lehrer definieren ihre Standards. Wien: PI AHS; 2003.
[9] Weberschock T, Strametz R, Bergold MN. Projekt "Evidenzbasierte Medizin Frankfurt". GMS Z Med Ausbild. 2008;25(4):Doc95. Zugänglich unter: http://www.egms.de/en/journals/zma/2008-25/zma000580.shtml.
[10] Becker GE. Unterricht planen. Handlungsorientierte Didaktik. Teil I. Weinheim: Beltz; 2007.
[11] Eikel A. Demokratische Partizipation in der Schule. Beiträge zur Partizipationsförderung in der Schule. Berlin: Freie Universität Berlin, Interdisziplinäres Zentrum für Lehr- und Lernforschung; 2006.
[12] Huber GL. Lernen in Gruppen/Kooperatives Lernen. In: Mandl H, Friedrich HF (Hrsg). Handbuch Lernstrategien. Göttingen: Hogrefe; 2006. S.261-272.
[13] Körbisch AM, Geier E. Ein Weg zum schüleraktiven Unterricht. MNI-Fonds für Unterrichts- und Schulentwicklung. S4 "Interaktionen im Unterricht". Admont: Stiftsgymnasium; 2006.
[14] Kilminster S, Downes J, Gough B, Murdoch-Eaton D, Roberts T. Women in medicine - is there a problem? A literature review of the changing gender composition, structures and occupational cultures in medicine. Med Educ. 2007;41(1):39-49. DOI: 10.1111/j.1365-2929.2006.02645.x.
[15] Hofer M, Jansen M, Soboll S. Effektive Didaktiktrainings für Dozenten der Medizin. GMS Z Med Ausbild. 2005;22(1):Doc07. Zugänglich unter: http://www.egms.de/en/journals/zma/2005-22/zma000007.shtml.
[16] Humair JP, Cornuz J. A new curriculum using active learning methods and standardized patients to train residents in smoking cessation. J Gen Intern Med. 2003;18(12):1023-1027. DOI: 10.1111/j.1525-1497.2003.20732.x.
[17] Klein JD, Levine LJ, Allan MJ. Delivery of smoking prevention and cessation services to adolescents. Arch Pediatr Adolesc Med. 2001;155(5):597-602.
[18] Voß A, Lohff B. Die Kategorie Geschlecht und die daraus resultierenden Anforderungen an die medizinische Ausbildung. Wien Med Wochenschr. 2004;154(17-18):395-403.
[19] Risberg G, Hamberg K, Johansson EE. Gender awareness among physicians - the effect of specialty and gender. A study of teachers at a Swedish medical school. BMC Med Educ. 2003;3:8. DOI: 10.1186/1472-6920-3-8.
[20] Budde J. Wie Lehrkräfte Geschlecht (mit)machen - doing gender als schulischer Aushandlungsprozess. In: Jösting S, Seemann M (Hrsg). Gender und Schule. Geschlechterverhältnisse in Theorie und schulischer Praxis. Oldenburg: BIS; 2006. S.45-60.
[21] Zelek B, Phillips SP, Lefebvre Y. Gender sensitivity in medical curricula. CMAJ. 1997;156(9):1297-1300.
[22] Berridge V. Constructing women and smoking as a public health problem in Britain 1950-1990s. Gend Hist. 2001;13(2):328-348. DOI: 10.1111/1468-0424.00231.
[23] Westerståhl A, Andersson M, Söderström M. Gender in medical curricula: course organizer views of a gender-issues perspective in medicine in Sweden. Women Health. 2003;37(4):35-47. DOI: 10.1300/J013v37n04_04.
[24] Oancia T, Bohm C, Carry T, Cujec B, Johnson D. The influence of gender and specialty on reporting of abusive and discriminatory behaviour by medical students, residents and physician teachers. Med Educ. 2000;34(4):250-256. DOI: 10.1046/j.1365-2923.2000.00561.x.
[25] Jordan S. Das geschlechtsspezifische Seminarverhalten von Studierenden. München, Ravensburg: GRIN; 2007.
[26] Verdonk P, Mans LJ, Lagro-Janssen AL. Integrating gender into a basic medical curriculum. Med Educ. 2005;39(11):1118-1125. DOI: 10.1111/j.1365-2929.2005.02318.x.



