[Mögen Medizinstudierende Kommunikation? Validierung der deutschsprachigen CSAS (Communication Skills Attitude Scale)]
Anne-Kathrin Busch 1Katrin Rockenbauch 1
Gabriele Schmutzer 1
Elmar Brähler 1
1 Universitätsklinikum Leipzig, Abteilung für Medizinpsychologie und Medizinsoziologie, Leipzig, Deutschland
Zusammenfassung
Zielsetzung: Die Lehre ärztlicher Gesprächskompetenz schließt die Vermittlung förderlicher Einstellungen ein. Mittels der Communication Skills Attitude Scale (CSAS) werden Einstellungen Medizinstudierender zum Erwerb von kommunikativer Kompetenz erfasst. Ziel der vorliegenden Erhebung ist die Entwicklung einer deutschsprachigen CSAS-Fassung (CSAS-G), um die Einstellungen in einer deutschsprachigen Kohorte zu messen. Ergänzend untersuchten wir den Einfluss demographischer Merkmale auf die Einstellungswerte.
Methodik: Wir erstellten die CSAS-G und befragten in unserer Untersuchung 529 Studienteilnehmer aus drei verschiedenen Studienjahren. Wir führten eine explorative wie konfirmatorische Faktorenanalyse durch und verglichen anschließend die Einstellungswerte nach Studienjahr. Ebenso wurde eine multiple Regressionsanalyse berechnet.
Ergebnisse: Die konfirmatorische Faktorenanalyse bestätigte das zweifaktorielle System aus der explorativen Faktorenanalyse. Die Studierenden gaben wenig Zustimmung zu negativen Einstellungen und mäßige Zustimmung zu positiven Einstellungen an. Die Einstellungswerte differieren signifikant nach Geschlechtszugehörigkeit.
Schlussfolgerung: Die CSAS-G eignet sich zur Einschätzung von Einstellungsausprägungen zu Kommunikationskompetenz in deutschsprachigen Kohorten. Die Medizinstudierenden unserer Studie zeigten grundlegend eine positive Einstellung. Weiterführende Untersuchungen sind erforderlich, um die Einstellungen deutschsprachiger Medizinstudierender zu kommunikativer Kompetenz zu erfassen und zu verstehen.
Schlüsselwörter
Kommunikation, Medizinstudierende, Einstellungen
Einleitung
Die Arzt-Patienten-Beziehung entspricht einem zwischenmenschlichen Prozess höchster Komplexität. Die Schlüsselkompetenz zur Gestaltung eines heilsamen Arzt-Patienten-Verhältnisses ist professionelle Kommunikation [1]. Diese befähigt den Arzt, verschiedenste kommunikative Herausforderungen zu bewältigen, um den vielfältigen Patientenbedürfnissen gerecht werden zu können. Forschungsergebnisse weisen darauf hin, dass professionelle Kommunikation als „Serie erlernter Fähigkeiten“ (‚series of learned skills‘) angeeignet werden kann [2]. In der medizinischen Ausbildung wird die Vermittlung kommunikativer Kompetenz in zunehmend detaillierten Ausbildungszielen festgelegt [3], [4]. Die Lehre sowie der Erwerb von Gesprächskompetenz schließen die Entwicklung förderlicher Einstellungen ein [5], wie die anhaltende Diskussion zum Thema Professionalität veranschaulicht [6]. Für den Lernenden ermöglicht die Auseinandersetzung mit den eigenen Einstellungen eine Vertiefung des Verständnisses unterschiedlicher Bereiche professioneller Kommunikation. Der Erwerb kommunikativer Fähigkeiten ermöglicht den Transfer der Einstellungen in die Kommunikationspraxis [2]. Ajzen, einer der führenden Einstellungsforscher, konstatiert, dass „Einstellung eine zusammenfassende Bewertung eines psychologischen Objektes darstellt, das in Merkmalsdimensionen wie gut-schlecht, schädlich-nützlich, angenehm-unangenehm, sympathisch-unsympathisch erfasst wurde“ (`attitude represents a summary evaluation of a psychological object captured in such attribute dimensions as good-bad, harmful-beneficial, pleasant-unpleasant, and likable-dislikable.´) [7]. Folglich erleichtern Einstellungen die individuelle Anpassung an die Umgebung [8]. Weiterhin beeinflussen Einstellungen gemäß der Theorie des überlegten Handelns (Theory of Reasoned Action) das Verhalten [9]. Den deutlichen Einfluss auf das Verhalten affektiver Einstellungskomponenten wie Emotionen, veranschaulicht eine aktuelle qualitative Studie an Hand des „Attitude-Social Influence-Self-Efficacy-Model“ [10]. Psychosoziale Einstellungen von Hausärzten stehen in Verbindung zu ihrem Kommunikationsverhalten, wie Levinson und Roter zeigen konnten [11]. Eine starke psychosoziale Orientierung von Ärzten und Medizinstudierenden ist daher wünschenswert. Bereits Mitte des zwanzigsten Jahrhunderts erkannte Eron [12], [13] eine sinkende psychosoziale Orientierung bei Medizinstudierenden. Daraufhin formte er den Begriff der Dehumanisierung. Dieser hat – wie heutige Studien zeigen - nichts an Aktualität eingebüßt: im Verlauf der ärztlichen Ausbildung entwickeln sich Empathie [14], [15] und Patientenorientierung [16], [17], [18] rückläufig. Als ursächlich wird der anscheinend ungünstige Einfluss zunehmender Patientenkontakte angenommen. Da die meisten medizinischen Curricula nach dem zweiten Ausbildungsjahr mehr Patienteninteraktion beinhalten, bildet das dritte Jahr ein sensibles Zeitfenster für die weitere Entwicklung der psychosozialen Orientierung [19]. Als zweiter Hauptverursacher des Empathie-Verlusts gilt Stress [14]. Die Fachliteratur bietet zur Erfassung der Einstellungen Medizinstudierender zu kommunikativer Kompetenz den Fragebogen „Communication Skills Attitude Scale“ (CSAS) [20]. Dem anhaltenden Interesse an Einstellungen zu Gesprächskompetenz entsprechend, wurde die CSAS in zahlreichen Studien eingesetzt. Dabei kamen die englischsprachige Originalversion oder deren Übersetzung zur Anwendung (siehe Tabelle 1 [Tab. 1]). Aus Ungarn stammt eine deutschsprachige CSAS-Version [21]. Die zugehörige Publikation ist in ungarischer Sprache verfasst und daher unzugänglich für weite Teile des Fachpublikums.
Tabelle 1: Überblick CSAS-Studien
In einigen der in Tabelle 1 [Tab. 1] genannten Studien wurden Einstellungswerte vor und nach einem Kommunikationstraining untersucht [22], [23], [24], [25], [26]. Die CSAS-basierte Forschung zeigt gegenläufige Einstellungsentwicklungen während der medizinischen Ausbildung. Überwiegend fand sich ein Rückgang positiver Einstellungen [27], [28], [29], den bisher nur eine Untersuchung widerlegt [30]. Die Arbeitsgruppe um Anvik [31] entdeckte stabile kognitive Einstellungen im Verlauf des Studiums. Im Kontrast dazu sanken die affektiven Einstellungen. Diese Feststellung entspricht den Ergebnissen der Empathie-Forschung [32]. Bei Studierenden mit höherem Ängstlichkeitsniveau wurden weniger positive Einstellungen zu Gesprächskompetenz belegt [33].
Bislang fehlen Daten, die die Einstellungen deutscher Medizinstudierender zu kommunikativer Kompetenz beleuchten. Um diese Lücke in der Ausbildungsforschung zu schließen, wurde diese Studie mit folgenden Zielen durchgeführt:
- Entwicklung einer deutschsprachigen CSAS-Version (CSAS-G),
- Validierung der CSAS-G mit einer Kohorte deutscher Studierender,
- Vergleich der Einstellungswerte nach Studienjahr und
- Ermittlung möglicher Einflüsse demografischer Faktoren auf die Einstellungswerte.
Methodik
Setting
Die Kohorte dieser Querschnittsstudie umfasst Studierende aus den Jahren eins (n=88), zwei (n=355) und vier (n=86). Das Curriculum der Universität Leipzig enthält im ersten Studienjahr Vorlesungen im Fach „Medizinische Psychologie und Medizinische Soziologie“. Ein Kommunikationstraining findet nicht statt. Die Erfahrungen mit Patientenkontakt sind somit für die Befragten aus dem ersten Studienjahr begrenzt auf deren individuellen Tätigkeiten vor Aufnahme des Studiums. Studierende des zweiten Studienjahres nehmen an zwei Gesprächsführungskursen teil. Der erste Kurs thematisiert über 18 Stunden Grundlagenwissen zu Kommunikation kombiniert mit Beispielen aus der Arzt-Patienten-Kommunikation. Als weitere Elemente werden Aspekte der kooperativen Kommunikation, des aktiven Zuhörens [34] und der Regulation von Emotionen integriert. Im zweiten Kurs á 21 Stunden werden spezifische Konversationstechniken der Arzt-Patienten-Beziehung vermittelt. Dazu zählen partizipative Entscheidungsfindung (PEF; englisch: shared decision-making, SDM), Umgang mit Tabus, Überbringen schlechter Nachrichten und Beratung zur Lebensstilmodifikation [35], [36], [37]. Im klinischen Studienabschnitt wird an der Leipziger Medizinfakultät kein reguläres Kommunikationstraining angeboten. Studierende aus dem vierten Studienjahr erleben im Unterricht am Krankenbett und in Pflichtfamulaturen vergleichsweise viel Patientenkontakt.
Datenerfassung
1. Durchführung
Die Original-CSAS wurde mittels des standardisierten Vorwärts-Rückwärts-Verfahrens ins Deutsche übersetzt. Die Erstautorin kontaktierte mehrfach Verfasserin Rees per Email, um die genaue Bedeutung der Items zu klären, und nahm dann die Übersetzung ins Deutsche vor. Für die Rückübersetzung wurde ein englischer Muttersprachler engagiert. Die beiden Übersetzungsschritte wurden wiederholt und durch einen Vorversuch ergänzt, bis eine zufriedenstellende deutschsprachige CSAS-Fassung nahe am englischen Original entwickelt war (siehe Tabelle 2 [Tab. 2]).
Die gewonnene CSAS-G bedurfte vereinzelter Item-Modifikationen, da Medizinstudierende aus drei Studienjahren und mit unterschiedlichem Bezug zum Gesprächsführungskurs involviert wurden. Studierende aus dem ersten Studienjahr hatten zum Befragungszeitpunkt noch kein Kommunikationstraining absolviert. Daher wurde Item 12 „Es macht mir Spaß, Gesprächsführung zu lernen“ durch „Es wird mir Spaß machen, Gesprächsführung zu lernen.“ ersetzt. Eine Anpassung von Formulierungen für Studierende aus dem zweiten Studienjahr war nicht nötig, da diese den Fragebogen kurz nach ihrer Teilnahme am Gesprächsführungskurs ausfüllten.
Im Rahmen von Lehrveranstaltungen wurden Studierende zur freiwilligen Studienteilnahme eingeladen. Sie wurden über die anonymisierte Datenauswertung informiert. Die Fragebögen wurden von einem der Autoren an die Studierenden ausgeteilt, wobei eine kurze Anleitung gegeben wurde ohne das Studienziel zu nennen. Sensible personenbezogene Informationen wurden nicht erfasst. Auf jegliche Form von Experiment wurde verzichtet. Eine Zustimmung der Ethikkommission der Universität Leipzig war daher nicht notwendig.
2. Messinstrument
Die Teilnehmer füllten die CSAS-G zusammen mit einem demografischen Kurz-Fragebogen aus. Dieser erfasste Studienjahr, Alter und Geschlecht. Die CSAS-G besteht aus 26 Items mit Aussagen zu Vermittlung, Erlernen und Anwendung von Kommunikationskompetenz. Die Beantwortung erfolgt entlang einer fünfteiligen Likert Skala von eins (stimme überhaupt nicht zu) bis fünf (stimme vollständig zu). Folglich stehen höhere Werte für stärkere Einstellungsausprägungen. Gemäß der ursprünglichen Konstruktion misst die CSAS getrennt positive (Positive attitude scale (PAS)) und negative Einstellungsanteile (Negative attitude scale (NAS)).
3. Statistische Auswertung
Die statistische Auswertung wurde mit SPSS und AMOS vorgenommen. Im ersten Schritt wurde eine explorative Faktorenanalyse mit schiefwinkliger Rotation berechnet. Zur Reliabilitätsanalyse wurde Cronbach’s α für jeden Faktor ermittelt. Um eine angemessene interne Konsistenz zu gewährleisten, war eine Item-Reduktion beider Subskalen erforderlich. Die Faktorenstruktur wurde mittels konfirmatorische Faktorenanalyse für die reduzierten Subskalen als auch für die originalen Subskalen geprüft. Die Ergebnisse der beiden konfirmatorischen Faktorenanalysen wurden basierend auf folgenden Modellgüte-Indizes verglichen: minimale Diskrepanz geteilt durch Freiheitsgrade (CMIN/DF); Anpassungsgüte (goodness-of-fit-index (GFI)); normierter Anpassungs-Index (normed-fit-index (NFI)); komparativer Anpassungs-Index (comparative-fit-index (CFI)); Tucker-Lewis-Index (TLI); absoluter Fit-Index (the root mean square error of approximation (RMSEA)) und Akaike Informationskriterium (Akaike Information Criterion (AIC)). Das Verhältnis CMIN/DF sollte für eine zufriedenstellende Modellgüte möglichst klein sein [38], [39]. GFI sollte zwischen 0,97 und 1 liegen und NFI ist idealerweise größer als 0,95 [39]. Eine geeignete Modellgüte wird durch CFI- und TLI-Werte nahe 0,95 oder sogar höher angezeigt [39], [40]. RMSEA sollte 0,05 oder kleiner sein. AIC zählt zu den Badness of Fit-Indizes und gilt als deskriptiver Indikator. AIC ermöglicht Vergleiche zwischen zwei unterschiedlichen Modellen, wobei der niedrigere AIC-Wert dem zu bevorzugendem Modell angehört [38], [39]. Um die Modelle zu testen, haben wir Kovarianzmatrizen und die Maximum-Likelihood-Methode eingesetzt.
Die Einstellungswerte wurden berechnet, indem die Summe der Likert-Werte jeder Subskala durch die Item-Anzahl pro Subskala geteilt wurde. Korrelationen zwischen den Einstellungswerten und demografischen Daten wurden mit dem Pearson-Korrelationskoeffizienten untersucht. Zur Prüfung auf Normalverteilung verwendeten wir den Kolmogorow-Smirnow-Test. Bei fehlender Normalverteilung wurde der nicht-parametrische Kruskal-Wallis-H-Test für den Vergleich der CSAS-Ergebnisse verschiedener Studienjahre genutzt. Dieser ergab signifikante Rangunterschiede. Wir betrachteten somit die Nutzung eines parametrischen Verfahrens trotz fehlender Normalverteilung als gerechtfertigt. Zum Vergleich der Einstellungswerte nach Geschlecht haben wir T-Tests durchgeführt. Die Vergleiche nach Studienjahr wurden über einfaktorielle Varianzanalyse mit post-hoc Scheffé-Test vorgenommen. Um Gruppenunterschiede zu ermitteln, wurden die folgenden Signifikanzniveaus angewandt: *p<0,05, **p<0,01 und ***p<0,001. Da die Subkohorten in ihrer Größe variierten, wurden die Effektgrößen (d) für signifikante Mittelwerts-Differenzen berechnet. Effektgrößen von d>0,50 werden als groß interpretiert, 0,50>d>0,30 als moderat, 0,30>d>0,10 als klein und d<0,10 als belanglos [41].
Ergebnisse
Demografische Kohortenbeschreibung
529 Fragebögen wurden vollständig ausgefüllt. Die Altersrange der Befragten reichte von 19 bis 47 Jahren (Durchschnittsalter = 26 Jahre). Weibliche Teilnehmer bildeten die Mehrheit (64%) gegenüber den männlichen Teilnehmern (36%) (siehe Tabelle 3 [Tab. 3]). Die Geschlechterverteilung dieser Kohorte entspricht dem dominierenden Anteil weiblicher Studierender der Humanmedizin in Deutschland [42].
Tabelle 3: Demographie der Gesamtkohorte
Validierung der CSAS-G
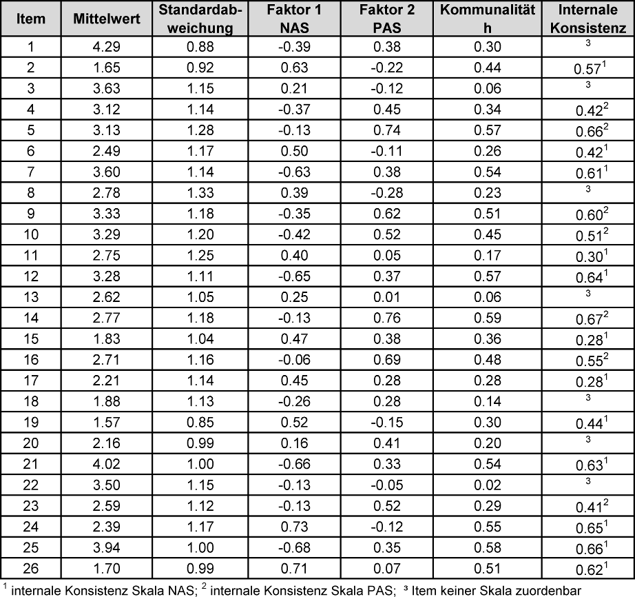
Die Messung des Kaiser-Meyer-Olkin-Kriteriums ergab einen Wert von 0,899. Die Signifikanz nach Bartlett lieferte einen positiven p-Wert von <0,001. Beide Ergebnisse belegen die Stichprobeneignung zur Durchführung einer explorativen Faktorenanalyse (EFA). Die initial durchgeführte Faktorenanalyse ergab sieben Faktoren mit Eigenwerten größer 1, die 58% der Varianz erklärten. Da eine inhaltliche Grundlage zur Annahme der siebenfaktoriellen Lösung fehlte, wurden in einer zweiten EFA zwei Faktoren vorgegeben. Diese Vorgehensweise gründet auf der Original-Faktorenlösung nach Rees [20]. Erneut konnten die beiden Original-Item-Bündel nicht reproduziert werden. Dennoch entschieden wir uns auf Grund des von Rees und Kolleginnen vorgelegten, qualitativen Fundaments [43], [44], [45] zur Beibehaltung des zweifaktoriellen Systems. Die Faktorenzuordnung wurde ab einer Ladung von mindestens 0,28 auf einen Faktor zugelassen (siehe Tabelle 4 [Tab. 4]). Die Items 01, 03, 08, 13, 18, 20 und 22 wurden wegen unzureichender oder uneindeutiger Faktorenladung eliminiert. Daraus folgt, dass die NAS-Subskala in unserer Stichprobe sieben Items beinhaltet (Cronbach´s α= 0,838) und die PAS-Subskala zwölf Items (Cronbach´s α= 0,864). Der Pearson-Korrelationskoeffizient für die PAS- und NAS-Werte fällt unter Berücksichtigung der Gesamtkohorte negativ aus (r= -0,49 (p<0.001)). Somit wird ein nicht- linearer Zusammenhang zwischen den beiden Subskalen angenommen: ein niedriger PAS-Wert ist verbunden mit einem hohen NAS-Wert im Sinne einer negativ gefärbten Einstellung und umgekehrt. Diese Konstellation entspricht der inhaltlichen Ausrichtung des CSAS-Originals.
Tabelle 4: Rotierte Komponentenmatrix
Anschließend haben wir die konfirmatorischen Faktorenanalysen berechnet. Im ersten Schritt untersuchten wir die originalen Subskalen, im zweiten das Modell der CSAS-G nach Item-Elimination. Die Werte für die Originalstruktur waren im Vergleich weniger zufriedenstellend, woraufhin das CSAS-G System weiter untersucht wurde. Um eine annehmbare Modellgüte der CSAS-G zu erreichen, duldeten wir schrittweise Korrelationen zwischen einzelnen Item-bezogenen Fehlerindizes unter Berücksichtigung möglichst hoher Modifikationsindizes. Unter diesen Bedingungen wurde die zweifaktorielle Lösung der CSAS-G bestätigt und konnte für weitere Berechnungen verwendet werden.
Einstellungswerte
Die Einstellungsausprägungen entlang beider Subskalen sind in Tabelle 5 [Tab. 5] nach Studienjahr getrennt dargestellt.
Tabelle 5: Einfaktorielle Varianzanalyse zum Vergleich PAS- und NAS-Scores im ersten, zweiten und vierten Studienjahr
Negative Einstellungen zu kommunikativer Kompetenz steigen vom ersten über das zweite zum vierten Studienjahr leicht an. Als signifikant erwies sich die NAS-Mittelwerts-Differenz zwischen den Studienjahren zwei und vier. Die Mittelwerte der PAS-Subskala sinken signifikant vom ersten zum zweiten Studienjahr ab, gefolgt von ansteigenden Werten vom zweiten zum vierten Studienjahr. In der Gesamtkohorte zeigen weibliche Studierende signifikant niedrigere NAS-Werte (Mittelwert NAS=2,05) als männliche Studierende (Mittelwert NAS=2,32) (p=0.000; d=0,48). Gleichzeitig stimmen weibliche Studierende positiven Aussagen stärker zu (Mittelwert PAS=3,12) als ihre Kommilitonen (Mittelwert PAS=2,80) (p=0,000; d=0,38). Zusätzlich konnte ein signifikanter Zusammenhang zwischen Geschlecht und Einstellungsausprägung an Hand des Korrelationskoeffizientens belegt werden (PAS-Wert/Geschlecht: r=0,21; p<0,001; NAS-Wert/Geschlecht: r=-0,21; p<0,001). Für das Merkmal Alter geling dies nicht (PAS-Wert/Alter: r=-0,49; p=0,43; NAS Wert/Alter: r=0,09; p<0,05).
Regressionsanalyse
Eine multiple Regression (siehe Tabelle 6 [Tab. 6]) wurde schrittweise durchgeführt. Im ersten Schritt zeigte sich das Merkmal Alter von geringer Signifikanz in Bezug auf den NAS-Wert. Bei Berücksichtigung des Geschlechts verlor Alter an Bedeutung, wohingegen der Einfluss des Geschlechts auf die NAS- und PAS-Werte hoch signifikant erschien. Wir wiederholten das Verfahren mit dem Merkmal Studienjahr statt Alter. Dabei fanden wir keine relevant abweichenden Ergebnisse. Folglich bestätigt die Regressionsanalyse quantitativ den Einfluss des Geschlechts auf die CSAS-Subskalenwerte. Allerdings ist der Beitrag der Regressionsanalyse angesichts des geringen Determinationskoeffizientens AdjR²=0,044/0,041 limitiert.
Tabelle 6: Multiple Regressionsanalyse
Diskussion und Schlussfolgerung
Diskussion
(1) Das erste Ziel dieser Forschungsarbeit war die Übersetzung der englischsprachigen CSAS ins Deutsche. Dazu nutzten wir das etablierte Vorwärts-Rückwärts-Verfahren. Grundsätzlich wirkt sich jeglicher Übersetzungsvorgang auf die Studienergebnisse aus. Es ist bekannt, dass selbst geringfügige Änderungen des Item-Wortlauts das Befragtenverständnis und die Messung beeinflussen [46]. In unserer Studie wurde der potenzielle Einfluss der Übersetzung verstärkt durch die Item-Modifikationen für das erste Studienjahr (siehe 2.2.1 Durchführung), welche eine methodische Schwäche bedeuten. Dennoch verstehen wir die Anpassung einzelner Item-Formulierungen als unverzichtbar für das Verständnis der Teilnehmer aus dem ersten Studienjahr. Unabhängig davon enthält die originale CSAS Item-Formulierungen, die allgemeinen Empfehlungen zur Fragebogenkonstruktion nicht gerecht werden. So sollten Items für ein bestmögliches Verständnis nicht suggestiv oder verneinend formuliert sein [47]. Entsprechend verwirrend für den Befragten können manche Formulierungen der CSAS wirken wie Item 17: “Der Gesprächsführungskurs wäre angesehener, wenn er naturwissenschaftlicher wäre.“ (´Communication skills teaching would have a better image if it sounded more like a science subject.´) oder Item 19: “Ich brauche keine gute Gesprächsführung, um ein guter Arzt zu sein.“ (´I don´t need good communication skills to be a doctor.´).
(2) Das zweite Ziel dieser Studie war die Validierung der CSAS-G. Nach Item-Elimination boten die beiden Subskalen eine moderate Reliabilität. Die konfirmatorische Faktorenanalyse bestätigt erst nach stufenweiser Anpassung die hinreichende Modellgüte der zweifaktoriellen Lösung. Dieser Umstand schränkt die Validität der CSAS-G ein. Eine umfassende Validierung mittels Außenkriterium war zu diesem Zeitpunkt nicht möglich, da ähnlich gelagerte Fragebögen in deutscher Sprache fehlen.
In der Originalarbeit zur Entwicklung der CSAS entdeckten Rees und Kolleginnen zuerst eine sechsteilige Faktorenstruktur, verfolgten jedoch das System mit zwei Subskalen [20]. Mehrere Validierungen konnten diese Faktorenlösung bestätigen, wenngleich in einigen Fällen den zwei Subskalen unterschiedliche Items zugeordnet wurden. Drei andere Studien neben unserer Arbeit weisen auf notwendige Item-Eliminationen hin [48], [49], [50]. Dabei variierten die entfernten Items. Neben der zweifaktoriellen Lösung wurden weitere Subskalensysteme entwickelt (siehe Tabelle 1 [Tab. 1]). Die Faktorenstruktur unserer Stichprobe weicht ab von allen bereits in der CSAS-Forschungsliteratur beschriebenen Subskalen. In Anbetracht der strukturellen Schwierigkeiten und teils ungünstiger Item-Formulierungen schließen manche Autoren auf die Notwendigkeit einer generellen CSAS-Modifikation [48], [50].
Die Vielfalt der CSAS-Validierungsergebnisse kann zum Teil als Folge der Übersetzungen gesehen werden. In Anbetracht der unterschiedlichen Kulturen und Sprachen können verschiedene Faktorenlösungen eines Forschungsinstruments als annehmbar bewertet werden. Ein ähnliches Bild findet sich bei anderen Fragebögen, die übersetzt wurden.
Die unkritische Auswahl der Befragten kann eine weitere mögliche Ursache für variierende CSAS-Subskalen sein. Während die CSAS ursprünglich für Medizinstudierende konzipiert wurde, offeriert die Literatur auch Befragungen von Studierenden der Psychologie [25], Zahnmedizin [51], [52] und Ernährungswissenschaften [53], sowie Lehrern [54] und Krankenpflegepersonal in Ausbildung [50].
(3) Das dritte Ziel dieser Studie war die Untersuchung der Einstellungsausprägungen Leipziger Medizinstudierender. Unsere Ergebnisse zeigen niedrige Werte bei den negativen Einstellungen und moderate Werte bei den positiven Einstellungen. Wir schlussfolgern daher, dass Studierende unserer Kohorte das Erlernen von Gesprächskompetenz mögen. Die freiwillige Teilnahme an unserer Studie kann bedeuten, dass die Befragten grundsätzlich mehr Interesse an Kommunikation haben. Der Vergleich der Mittelwerte nach Studienjahr ergibt in unserer Stichprobe folgenden Verlauf: die NAS-Werte steigen signifikant an und die PAS-Werte sinken. Ein allein von signifikanten Mittelwerts-Differenzen abgeleiteter Trend entspräche einer im Ausbildungsverlauf negativen Einstellungsentwicklung. Bei der Betrachtung der absoluten Mittelwerte ist es jedoch fraglich, ob dieses geringfügige Veränderungsmaß die Einstellungen wirklich beeinflusst. Abgebildet auf der Likert-Skala liegen alle PAS-Mittelwerte bei Stufe drei und alle NAS-Mittelwerte bei Stufe zwei. Demzufolge liefern unsere Studienergebnisse keine Anhaltspunkte für einen ungünstigen Einstellungsverlauf von praktischer Relevanz [55]. In der Forschungsliteratur finden sich nur einzelne andere Arbeiten, die ähnliche Ergebnisse vorlegen [56], [57]. Die Schlussfolgerungen zur Einstellungsentwicklung in der Leipziger Kohorte haben aufgrund des Querschnittsdesigns nur eingeschränkte Aussagekraft. Zur zuverlässigen Erfassung des Einstellungsverlaufs während des Medizinstudiums, ist eine Längsschnittstudie unabdingbar. Eine weitere methodische Schwäche ist durch die ungleichen Subkohorten-Größen gegeben. Die Mehrheit der Studierenden stammt aus dem zweiten Studienjahr. Um eine Verzerrung vor diesem Hintergrund zu vermeiden, haben wir zusätzlich die Effektstärken berechnet. Diese haben die signifikanten Mittelwerts-Differenzen bestätigt.
Wie eine andere CSAS-Studie beweist, geben weibliche Befragte wünschenswertere Einstellungen an [45]. Diese Tendenz spiegelt sich in unseren Ergebnissen wider. Demgegenüber ergaben zwei CSAS-Studien aus dem asiatischen Raum keinen signifikanten Einfluss der Geschlechtszugehörigkeit auf die Einstellungsausprägung [58], [59]. Ein gänzlich anderes Bild zeigt eine Studie aus Großbritannien, die wachsende Empathie bei männlichen Befragten bei gleichzeitig sinkender Empathie der Teilnehmerinnen belegte [60].
Schlussfolgerung und Praxisbezug
In der ärztlichen Ausbildung besteht anhaltendes Interesse an Einstellungsforschung. Die CSAS ist ein hilfreiches Instrument zur Erfassung der Einstellungen Studierender zu Gesprächskompetenz. Die Übersetzung lieferte die CSAS-G, die sich in unserer Pilotstudie als reliabel erwies. Prinzipiell kann die CSAS-G für zukünftige Forschung an deutschsprachigen Medizinfakultäten eingesetzt werden. Wir empfehlen abzuwägen, ob die Umformulierung einzelner Items notwendig ist. In unserer Erhebung verzichteten wir auf eine begleitende qualitative Einstellungserfassung. Für die Entwicklung einer deutschsprachigen CSAS- Version, die spezifische Einstellungen deutschsprachiger Medizinstudierender berücksichtigt, wäre weitere Forschung zuträglich [61]. Wie aus vorhergehenden CSAS-Studien inklusive der Original-Validierung bekannt ist, stellten auch wir Schwierigkeiten bei der Faktorenbildung fest. Bisher fehlen vergleichende Untersuchungen der verschiedenen Faktorenmodelle. Es besteht zusätzlicher Forschungsbedarf, um Erkenntnisse zur Validität und Retest-Reliabilität zu gewinnen. Der aktuelle Untersuchungsstand zur CSAS lässt offen, ob die von Rees und Kolleginnen erarbeitete Konzeption negativer und positiver Einstellungen in dieser Form existiert.
Die Studierenden unserer Studie scheinen Kommunikation zu mögen. Für ein tieferes Verständnis von Einstellungsentwicklung sind weitere Forschungsarbeiten einschließlich Längsschnittstudien, erforderlich.
Danksagung
Wir danken unseren Studienteilnehmern. Danke an Frau Prof. Charlotte Rees für die Erlaubnis zur und Unterstützung bei der Übersetzung der CSAS. Unser Dank gilt auch Prof. Andreas Hinz für seine Vorschläge bei der Überarbeitung.
Interessenkonflikt
Die Autoren erklären, dass sie keine Interessenkonflikte im Zusammenhang mit diesem Artikel haben.
Literatur
[1] Street RL, Makoul G, Arora NK, Epstein RM. How does communication heal? Pathways linking clinician-patient communication to health outcomes. Patient Educ Couns. 2009;74(3):295–301. DOI: 10.1016/j.pec.2008.11.015[2] Kurtz SM, Silverman J, Draper J. Teaching and learning communication skills in medicine. Abingdon: Radcliffe Medical Press; 1998.
[3] Kiessling C, Dieterich A, Fabry G, Hölzer H, Langewitz W, Mühlinghaus I, Pruskil S, Scheffer S, Schubert S. Basel Consensus Statement "Communicative and Social Competencies in Medical Education": A Position Paper of the GMA Committee Communicative and Social Competencies. GMS Z Med Ausbild. 2008;25(2):Doc83. Zugänglich unter/available from: http://www.egms.de/static/de/journals/zma/2008-25/zma000567.shtml
[4] Hahn EG, Fischer MR. National Competence-Based Learning Objectives for Undergraduate Medical Education (NKLM) in Germany: Cooperation of the Association for Medical Education (GMA) and the Association of Medical Faculties in Germany (MFT). GMS Z Med Ausbild. 2009;26(3):Doc35. Zugänglich unter/available from: http://www.egms.de/static/de/journals/zma/2009-26/zma000627.shtml
[5] Fragstein M von, Silverman J, Cushing A, Quilligan S, Salisbury H, Wiskin C. UK consensus statement on the content of communication curricula in undergraduate medical education. Med Educ. 2008;42(11):1100–1107. DOI: 10.1111/j.1365-2923.2008.03137.x
[6] Dubois A, Patil V. The status quo of modern medical professionalism. Clin Teach. 2012;9(4):267–268. DOI: 10.1111/j.1743-498X.2012.00608.x
[7] Ajzen I. Nature and operation of attitudes. Annu Rev Psychol. 2001;52:27–58. DOI: 10.1146/annurev.psych.52.1.27
[8] Eagly AH, Chaiken S. The psychology of attitudes. Fort Worth, Tex: Harcourt Brace Jovanovich College Publishers; 1993.
[9] Fishbein M, Ajzen I. Belief, attitude, intention and behavior: An introduction to theory and research. Reading, Mass. [u.a.]: Addison-Wesley; 1975.
[10] Bombeke K, Symons L, Debaene L, Winter B de, Schol S, van Royen P. Help, I'm losing patient-centredness! Experiences of medical students and their teachers. Med Educ. 2010;44(7):662–673. DOI: 10.1111/j.1365-2923.2010.03627.x
[11] Levinson W, Roter D. Physicians' psychosocial beliefs correlate with their patient communication skills. J Gen Intern Med. 1995;10(7):375–379. DOI: 10.1007/BF02599834
[12] Eron LD. Effect of Medical Education on Students´ Attitudes. Med Educ. 1955;10:559–566.
[13] Eron LD. The Effect of Medical Education on Attitudes: A Follow-up Study. Med Educ. 1958;33:25–33.
[14] Neumann M, Edelhäuser F, Tauschel D, Fischer MR, Wirtz M, Woopen C, Haramati A, Scheffer C. Empathy decline and its reasons: a systematic review of studies with medical students and residents. Acad Med. 2011;86(8):996–1009. DOI: 10.1097/ACM.0b013e318221e615
[15] Pedersen R. Empathy development in medical education--a critical review. Med Teach. 2010;32(7):593–600. DOI: 10.3109/01421590903544702
[16] Tsimtsiou Z, Kerasidou O, Efstathiou N, Papaharitou S, Hatzimouratidis K, Hatzichristou D. Medical students' attitudes toward patient-centred care: a longitudinal survey. Med Educ. 2007;41(2):146–153. DOI: 10.1111/j.1365-2929.2006.02668.x
[17] Woloschuk W, Harasym PH, Temple W. Attitude change during medical school: a cohort study. Med Educ. 2004;38(5):522–534. DOI: 10.1046/j.1365-2929.2004.01820.x
[18] Haidet P, Dains JE, Paterniti DA, Hechtel L, Chang T, Tseng E, Rogers JC. Medical student attitudes toward the doctor-patient relationship. Med Educ. 2002;36(6):568–574. DOI: 10.1046/j.1365-2923.2002.01233.x
[19] Hojat M, Vergare MJ, Maxwell K, Brainard G, Herrine SK, Isenberg GA, Veloski J, Gonnella JS. The devil is in the third year: a longitudinal study of erosion of empathy in medical school. Acad Med. 2009;84(9):1182–1191. DOI: 10.1097/ACM.0b013e3181b17e55
[20] Rees C, Sheard C, Davies S. The development of a scale to measure medical students' attitudes towards communication skills learning: the Communication Skills Attitude Scale (CSAS). Med Educ. 2002;36(2):141–147. DOI: 10.1046/j.1365-2923.2002.01072.x
[21] Tóth I, Bán I, Füzesi Z, Kesztyüs M, Nagy L. Elsö évfolyamos orvostanhallgatók attitüdjei az orvosi kommunikáció oktatásával kapcsolatban. Orv Hetil. 2011;152(38):1535–1543. DOI: 10.1556/OH.2011.29185
[22] Rees C, Sheard C. Evaluating first-year medical students' attitudes to learning communication skills before and after a communication skills course. Med Teach. 2003;25(3):302–307. DOI: 10.1080/0142159031000100409
[23] Harlak H, Gemalmaz A, Gurel FS, Dereboy C, Ertekin K. Communication skills training: effects on attitudes toward communication skills and empathic tendency. Educ Health (Abingdon). 2008;21(2):62.
[24] Bombeke K, Van Roosbroeck S, Winter B de, Debaene L, Schol S, Van Hal G, Van Royen P. Medical students trained in communication skills show a decline in patient-centred attitudes: an observational study comparing two cohorts during clinical clerkships. Patient Educ Couns. 2011;84(3):310–318. DOI: 10.1016/j.pec.2011.03.007
[25] Tiuraniemi J, Läärä R, Kyrö T, Lindeman S. Medical and psychology students' self-assessed communication skills: A pilot study. Patient Educ Couns. 2011;83(2):152–157. DOI: 10.1016/j.pec.2010.05.013
[26] Koponen J, Pyörälä E, Isotalus P. Comparing three experiential learning methods and their effect on medical students' attitudes to learning communication skills. Med Teach. 2012;34(3):e198-207. DOI: 10.3109/0142159X.2012.642828
[27] Harlak H, Dereboy C, Gemalmaz A. Validation of a Turkish translation of the Communication Skills Attitude Scale with Turkish medical students. Educ Health (Abingdon). 2008;21(1):55.
[28] Fazel I, Aghamolaei T. Attitudes toward learning communication skills among medical students of a university in Iran. Acta Med Iran. 2011;49(9):625–629.
[29] Cleland J, Foster K, Moffat M. Undergraduate students' attitudes to communication skills learning differ depending on year of study and gender. Med Teach. 2005;27(3):246–251. DOI: 10.1080/01421590400029541
[30] Khashab SS. Attitudes of Alexandria Medical Students towards Communication Skills Learning. J Egypt Public Health Assoc. 2006;81(5-6):355–372.
[31] Anvik T, Grimstad H, Baerheim A, Bernt Fasmer O, Gude T, Hjortdahl P, Holen A, Risberg T, Vaglum P. Medical students' cognitive and affective attitudes towards learning and using communication skills--a nationwide cross-sectional study. Med Teach. 2008;30(3):272–279. DOI: 10.1080/01421590701784356
[32] Quince TA, Parker RA, Wood DF, Benson JA. Stability of empathy among undergraduate medical students: a longitudinal study at one UK medical school. BMC Med Educ. 2011;11:90. DOI: 10.1186/1472-6920-11-90
[33] Loureiro EM, Severo M, Bettencourt P, Ferreira MA. Attitudes and anxiety levels of medical students towards the acquisition of competencies in communication skills. Patient Educ Couns. 2011;85(3):e272-e277. DOI: 10.1016/j.pec.2011.07.005
[34] Rogers CR, Farson RE. Active listening. Chicago: Industrial Relations Center, The University of Chicago; 1957.
[35] Rockenbauch K. Medizindidaktik: Götz Fabry. Z Med Psychol. 2010;19:102.
[36] Rockenbauch K. Kompetent kommunizieren in Klinik und Praxis [Feedbackregeln]. Lengerich [u.a.]: Pabst Science Publ.; 2006.
[37] Stöbel-Richter Y, Rockenbauch K. Feedbackregeln. In: Rockenbauch K (Hrsg). Kompetent kommunizieren in Klinik und Praxis; Feedbackregeln. Lengerich [u.a.]: Pabst Science Publ.; 2006. p.241–62 .
[38] Arbuckle R, Clark M, Harness J, Bonner N, Scott J, Draelos Z, Rizer R, Yeh Y, Copley-Merriman K. Item reduction and psychometric validation of the Oily Skin Self Assessment Scale (OSSAS) and the Oily Skin Impact Scale (OSIS). Value Health. 2009;12(5):828–837. DOI: 10.1111/j.1524-4733.2009.00504.x
[39] Schermelleh-Engel K, Moosbrugger H, Müller H. Evaluating the Fit of Structural Equation Models:Tests of Significance and Descriptive Goodness-of-Fit Measures. Meth Psychol Res Online. 2003;8(2):23–74.
[40] Hu L, Bentler PM, Hu L. Fit indices in covariance structure modeling: Sensitivity to underparameterized model misspecification. Psychol Method. 1998;3(4):424–453. DOI: 10.1037/1082-989X.3.4.424
[41] Bortz J, Döring N. Forschungsmethoden und Evaluation für Human- und Sozialwissenschaftler. Heidelberg: Springer; 2006. S.606. DOI: 10.1007/978-3-540-33306-7
[42] DESTATIS Statistisches Bundesamt. Bildung und Kulter: Studierende an Hochschulen - Vorbericht- Wintersemester 2013/14. Wiesbaden: DESTATIS; 2014.
[43] Rees CE, Garrud P. Identifying undergraduate medical students' attitudes towards communication skills learning: a pilot study. Med Teach. 2001;23(4):400–406. DOI: 10.1080/01421590120057067
[44] Rees C, Sheard C, McPherson A. Communication skills assessment: the perceptions of medical students at the University of Nottingham. Med Educ. 2002;36(9):868–878. DOI: 10.1046/j.1365-2923.2002.01300.x
[45] Rees C, Sheard C. The relationship between medical students' attitudes towards communication skills learning and their demographic and education-related characteristics. Med Educ. 2002;36(11):1017–1027. DOI: 10.1046/j.1365-2923.2002.01333.x
[46] Foddy WH. Constructing questions for interviews and questionnaires: Theory and practice in social research. Cambridge (UK), New York (USA): Cambridge University Press; 1993. DOI: 10.1017/CBO9780511518201
[47] Bühner M. Einführung in die Test- und Fragebogenkonstruktion. München [u.a.]: Pearson Studium; 2004.
[48] Ahn S, Yi Y, Ahn D. Developing a Korean communication skills attitude scale: comparing attitudes between Korea and the West. Med Educ. 2009;43(3):246–253. DOI: 10.1111/j.1365-2923.2008.03271.x
[49] Anvik T, Gude T, Grimstad H, Baerheim A, Fasmer OB, Hjortdahl P, Holen A, Risberg T, Vaglum P. Assessing medical students' attitudes towards learning communication skills--which components of attitudes do we measure? BMC Med Educ. 2007;7:4. DOI: 10.1186/1472-6920-7-4
[50] Molinuevo B, Torrubia R. Validation of the Catalan version of the communication skills attitude scale (CSAS) in a cohort of south European medical and nursing students. Educ Health (Abingdon). 2011;24(1):499.
[51] Nor NA, Yusof ZY, Shahidan MN. University of Malaya dental students' attitudes towards communication skills learning: implications for dental education. J Dent Educ. 2011;75(12):1611–1619.
[52] Laurence B, Bertera EM, Feimster T, Hollander R, Stroman C. Adaptation of the Communication Skills Attitude Scale (CSAS) to dental students. J Dent Educ. 2012;76(12):1629–1638.
[53] Ihmeideh FM, Al-Omari AA, Al-Dababneh KA. Attituders toward Communication Skills among Students'-Teachers' in Jordanian Public Universities. Aust J Teach Educ. 2010;35(4):1–11.
[54] Power BT, Lennie SC. Pre-registration dietetic students' attitudes to learning communication skills. J Hum Nutr Diet. 2012;25(2):189–197. DOI: 10.1111/j.1365-277X.2012.01226.x
[55] Colliver JA, Conlee MJ, Verhulst SJ, Dorsey JK. Reports of the decline of empathy during medical education are greatly exaggerated: a reexamination of the research. Acad Med. 2010;85(4):588–593. DOI: 10.1097/ACM.0b013e3181d281dc
[56] Batenburg V, Smal JA, Lodder A, de Melker RA. Are professional attitudes related to gender and medical specialty? Med Educ. 1999;33(7):489–492. DOI: 10.1046/j.1365-2923.1999.00333.x
[57] Dornbush RL, Singer P, Brownstein EJ, Freedman AM. Maintenance of psychosocial attitudes in medical students. Soc Sci Med. 1985;20(1):107–109. DOI: 10.1016/0277-9536(85)90318-1
[58] Marambe KN, Edussuriya DH, Dayaratne KM. Attitudes of Sri Lankan medical students toward learning communication skills. Educ Health (Abingdon). 2012;25(3):165–171.
[59] Shankar RP, Dubey AK, Mishra P, Deshpande VY, Chandrasekhar TS, Shivananda PG. Student attitudes towards communication skills training in a medical college in Western Nepal. Educ Health (Abingdon). 2006;19(1):71–84.
[60] Austin EJ, Evans P, Magnus B, O'Hanlon K. A preliminary study of empathy, emotional intelligence and examination performance in MBChB students. Med Educ. 2007;41(7):684–689. DOI: 10.1111/j.1365-2923.2007.02795.x
[61] Beaton DE, Bombardier C, Guillemin F, Ferraz MB. Guidelines for the process of cross-cultural adaptation of self-report measures. Spine. 2000;25(24):3186–3191. DOI: 10.1097/00007632-200012150-00014




