Regionale Strukturzuschläge bei DRG-basierter Vergütung in Deutschland
Karin Wolf-Ostermann 1Markus Lüngen 2
Karl W. Lauterbach 2
1 Alice-Salomon-Fachhochschule, University of Applied Sciences (ASFH), Berlin, Deutschland
2 Institut für Gesundheitsökonomie und Klinische Epidemiologie der Universität zu Köln, Deutschland
Zusammenfassung
Im Rahmen der Einführung von fallpauschalierenden DRG in Deutschland wird die Sicherstellung der flächendeckenden Versorgung intensiv diskutiert. Gemäß dem Fallpauschalengesetz (FPG) sind die Bundesländer berechtigt, nach einheitlichen Maßstäben Zuschläge vorzugeben.
Es soll untersucht werden, ob anhand regionaler Lage (Ortsgröße) Kostenunterschiede feststellbar sind. Vereinbarte Kostendaten von 1112 Krankenhäusern aus dem Jahr 2001 wurden gemäß der Aufstellung des Krankenhaus-Reports herangezogen. Diese wurden mit der offiziellen Gliederung der Ortsgrößenklassen (Zentralität) verknüpft. Unter Verwendung von deskriptiven, explorativen sowie konfirmatorischen Verfahren werden Zusammenhänge zwischen Bettenzahl, Trägerschaft, Fallkosten und regionaler Lage (Ortsgröße) von Krankenhäusern analysiert.
Der Zusammenhang regionale Lage und Fallkosten wird wesentlich überlagert durch die Abhängigkeit von Bettenzahl und Trägerschaft. Letztere haben größeren Einfluss auf die Fallkosten als die regionale Lage. Ein genereller Zuschlag auf DRG nach regionalen Kriterien (Ortsgröße des Standorts) kann nach den vorliegenden Daten nicht unterstützt werden. Die Prüfung des Einzelfalls ist notwendig.
Schlüsselwörter
Deutschland, DRG, Gesundheitswesen, Krankenhaus, pauschalierte Vergütung, regionale Differenzierung, Strukturzuschläge
Einleitung
Im Rahmen der Einführung von fallpauschalierenden DRG (Diagnosis-Related Groups) in Deutschland wird die Sicherstellung der flächendeckenden Versorgung intensiv diskutiert. Durch das Fallpauschalengesetz (FPG) vom 23.04.2002 wurden detaillierte Vorgaben festgeschrieben, die bei einer Gefährdung der flächendeckenden Versorgung greifen. Gemäß § 17b KHG müssen bundeseinheitliche Empfehlungen von den Spitzenverbänden der Krankenkassen und der Deutschen Krankenhausgesellschaft verabschiedet werden, die angeben, unter welchen Umständen die krankenhausübergreifend geltenden DRG-Entgelte nicht kostendeckend sind, um die für die Bevölkerung notwendige Vorhaltung von Leistungen sicherzustellen. Die Empfehlungen sollen auch Auskunft geben, in welchem Umfang grundsätzlich entsprechende zusätzliche Zahlungen zur DRG-Vergütung zu zahlen sind. Die Landesbehörden können abweichende Vorgaben erlassen. Diese Landeshoheit ergibt sich aus der in Deutschland bei den Ländern angesiedelten Krankenhausplanung.
Die Problematik der Sicherstellungszuschläge hat im Verlauf der Diskussion des Fallpauschalengesetzes erhebliche Dynamik entwickelt. Die Krankenkassen befürchten, dass damit eine Vielzahl von Krankenhäusern Zuschläge erhalten würden, die den Ausnahmecharakter verwässern würden und letztendlich nur die Stützung von ineffizienten Strukturen bedeuteten. Die Krankenhausverbände hingegen suchen nach einem Weg, um die befürchteten finanziellen Verluste von kleinen Krankenhäusern in Randlagen zu vermeiden.
Die Diskussion ist insoweit schwierig, als dass keine Definition existiert, die die Notwendigkeit eines Krankenhauses für die Versorgungssicherheit anzeigt. Zudem ist nicht klar, ob regional exponierte Krankenhäuser überhaupt höhere Kosten aufweisen oder aber eine exponierte Lage nur geringen Einfluss auf die Kostensituation hat. Im folgenden soll daher mit Hilfe von staatlicher Seite bereitgestellter Gliederungen der Regionalstruktur untersucht werden, inwieweit Kostenunterschiede vorhanden sind und darauf aufbauend ein Sicherstellungszuschlag vertieft diskutiert werden.
Material und Methoden
Die vorliegende Analyse basiert auf vereinbarten Kostendaten von allen Krankenhäusern, die im Krankenhaus-Report 2001 [1] mit ihren Kostendaten aufgeführt wurden. Die Daten umfassen krankenhausbezogene Angaben über Trägerschaft, Bettenzahl, Anzahl Fachabteilungen, Fallkosten, Personalkosten insgesamt und Anteile einzelner Personalgruppen an den gesamten Personalkosten für das Jahr 2001. Es handelt sich hierbei um Kosten- und Leistungsdaten, wie sie zwischen den Krankenhäuser und Krankenkassen jährlich vereinbart werden. Dabei sind die Kosten nicht als Ist-Kosten im Sinne einer Kostenträgerrechnung zu verstehen, sondern als Erlöse der Krankenhäuser, welche sich aus der Rechnungsstellung an die Krankenkassen ergeben. Die tatsächlichen Ist-Kosten können über oder unter den hier betrachteten vereinbarten Kosten liegen. Die hier betrachteten Fallkosten ermitteln sich als der Quotient aus den vereinbarten pflegesatzfähigen Kosten dividiert durch die vereinbarten Fälle des Budgetbereichs.
Die vorliegenden Krankenhausdaten wurden verknüpft mit den Einteilungen der Standorte, wie sie von staatlicher Seite über die Ortsgrößenklassen (Zentralität) von Gemeinden für das gesamte Bundesgebiet bereitgestellt werden. Hierüber wird die regionale Struktur der Krankenhäuser dargestellt. Die Kategorisierung nach Zentralität sieht eine Rasterung nach Ober-, Mittel- und Unterzentren vor (Tabelle 1 [Tab. 1]). Es handelt sich somit um eine Abbildung der Aufgabenwahrnehmung von Regionen.
Tabelle 1: Kategorien der Zentralität nach Versorgungsbereich

Um Effekte der Krankenhausgröße ebenfalls berücksichtigen zu können, werden alle einbezogenen Krankenhäuser - wie im Krankenhaus-Report vorgegeben - einer von 6 Bettengrößenklassen zugeordnet: <50 Betten, 50-99 Betten, 100-199 Betten, 200-499 Betten, 500-999 Betten, ≥1.000 Betten.
Es wird eine erste inhaltliche Abschätzung zu erwartender regionaler Einflussfaktoren vorgenommen. Der primäre Analyseschwerpunkt liegt dabei weniger auf inferenzstatistischen Verfahren als auf deskriptiv-explorativen Methoden.
Die Auswertung wurde mit SPSS Version 10.0 vorgenommen. Die Analyse der erhobenen Daten erfolgt mit Hilfe von deskriptiven, explorativen sowie konfirmatorischen Verfahren. Dies beinhaltet sowohl ein-, wie auch zwei und mehrdimensionale Analysen. Methoden der Varianzanalyse werden ebenso wie Verfahren der Korrelations- und Assoziationsrechnung verwendet, um Zusammenhänge zwischen einzelnen Merkmalen identifizieren und auch quantifizieren zu können.
Ergebnisse
Beschreibung der Stichprobe
Insgesamt liegen aus der Datensammlung des Krankenhaus-Reports 2001 die Daten von 1112 Krankenhäusern für das Jahr 2001 vor. Die Anzahl Abteilungen betrug in den untersuchten Krankenhäusern im Median fünf Fachabteilungen sowie eine Belegabteilung. Die Verteilung der Krankenhäuser auf Trägerschaft und Krankenhausgröße ist in Tabelle 2 [Tab. 2] dargestellt.
Tabelle 2: Verteilung der Krankenhäuser auf Trägerschaft und Krankenhausgröße

Bettengrößenklasse und Trägerschaft der analysierten Krankenhäuser sind dabei nicht voneinander unabhängig (χ2=245,64, p<0,001). Krankenhäuser in freigemeinnütziger Trägerschaft sind eher von mittlerer, Krankenhäuser in privater Trägerschaft eher von kleinerer Größe. Sehr große Kliniken (≥1.000 Betten) finden sich ausschließlich in öffentlicher Trägerschaft (vgl. hierzu auch Abbildung 1 [Abb. 1]).
Abbildung 1: Größe von Krankenhäusern nach Trägerschaft

Ergebnisse nach Zentralität
Die Auswertung nach der Zentralität der Standorte erlaubt eine differenzierte Betrachtung, da die Unterteilung 12 Gruppen vorsieht. Tabelle 3 [Tab. 3] zeigt, dass Mittelzentren die meisten Krankenhäuser der Stichprobe aufweisen (397 Krankenhäuser). Insgesamt 23,4% der Krankenhäuser liegen in Oberzentren, 38,3% in Mittelzentren und nur 8,3% in Unter-/Kleinzentren. Krankenhäuser in Gemeinden ohne zentralörtliche Einstufung (2,4%) bzw. mit fehlender Gemeindeeinstufung (27,5%) werden nachfolgend nur bedingt bei der Interpretation berücksichtigt.
Tabelle 3: Verteilung der Krankenhäuser nach Zentralität

Es zeigt sich nur ein schwacher Zusammenhang vom Trägerschaft und Zentralität (Cramér-V: 0,122; p=0,001). Die im wesentlichen öffentlich und freigemeinnützig getragenen Krankenhäuser verteilen sich etwa gleichmäßig auf die Struktur der Ortsgrößenklassen (Zentralität).
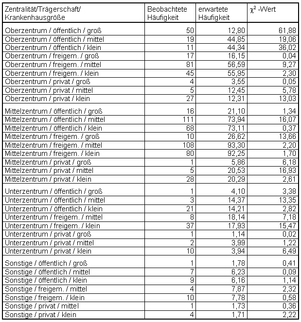
Bei der Analyse von Dreiwegkontingenzen [2] der Merkmale Zentralität, Trägerschaft und Krankenhausgröße muss die Hypothese allseitiger Unabhängigkeit denn auch verworfen werden (χ2=538,37, p<0,001), wobei hierbei das Merkmal Krankenhausgröße nur in die drei Kategorien „klein" (<200 Betten), „mittel" ([200,500) Betten) und „groß" (≥500 Betten) sowie das Merkmal Zentralität in die vier Kategorien „Oberzentrum", „Mittelzentrum" „Unterzentrum" und „Sonstige" (Kleinzentren und Gemeinden ohne Einstufung) unterteilt wurde, um eine ausreichende Zellbesetzung zu gewährleisten.
Eine eher heuristisch zu interpretierende Konfigurationsfrequenzanalyse (Einfelderbeurteilung der Kontingenztafel) weist für α* = 0,05/36 = 0,0014 (Bonferroni-Adjustierung) auf folgende Auffälligkeiten hin (Tabelle 4 [Tab. 4], in der Gruppierung „Oberzentrum" fehlt für ein Krankenhaus die Angabe zur Trägerschaft). Überzufällig häufig sind die Kombinationen:
Tabelle 4: Einfelderbeurteilung der 3-Wege-Kontingenztafel der Merkmale Zentralität/Trägerschaft/Krankenhausgröße (χ
2
=10,6547, α*=0.0014)

• „Oberzentrum / öffentliche Trägerschaft / großes Krankenhaus",
• „Oberzentrum / private Trägerschaft / kleines Krankenhaus",
• „Mittelzentrum / öffentliche Trägerschaft / mittleres Krankenhaus",
• „Unterzentrum / freigemeinnützige Trägerschaft / kleines Krankenhaus".
Umgekehrt sind die Kombinationen
• „Oberzentrum / öffentliche Trägerschaft / mittleres Krankenhaus",
• „Oberzentrum / öffentliche Trägerschaft / kleines Krankenhaus",
• „Mittelzentrum / freigemeinnützige Trägerschaft / großes Krankenhaus",
• „Mittelzentrum / private Trägerschaft / mittleres Krankenhaus",
• „Unterzentrum / öffentliche Trägerschaft / mittleres Krankenhaus"
überzufällig selten anzutreffen.
Analyse der Fallkosten
In Tabelle 5 [Tab. 5] sind für alle Krankenhäuser der Stichprobe wichtige Kennzahlen für das Jahr 2001 dargestellt. Die Einteilung der Fallkosten wurde dabei aus dem Krankenhaus-Report übernommen.
Tabelle 5: Verteilung der Krankenhäuser nach mittleren Fallkosten

Ein Zusammenhang zwischen Fallkosten und regionaler Lage ist nicht zu erkennen (Tabelle 6 [Tab. 6], Abbildung 2 [Abb. 2]). Zur besseren Analyse werden im folgenden die mittleren Fallkosten unter Verwendung einer Gleichverteilung in der jeweiligen Klasse gejittert (d.h. Addition eines gleichverteilten Zufallsfehlers aus dem Intervall [-500;+500] auf den Klassenmittenwert). Aufbauend auf die Ergebnisse der Dreiwegkontingenztafelanalyse wird ein Varianzanalysemodell verwendet, welches für die Stichprobe die mittleren (gejitterten) Kosten pro Fall in Abhängigkeit von Ortsgrößenklasse, Trägerschaft und Bettengrößenklasse (klein, mittel, groß) sowie der Wechselwirkungen aus diesen Einflussfaktoren betrachtet.
Tabelle 6: Verteilung der Krankenhäuser nach mittleren Fallkosten und Ortsgrößenklasse

Abbildung 2: Mittlere Fallkosten von Krankenhäusern nach Ortsgrößenklasse

Hierbei erweisen sich die Einflussfaktoren Trägerschaft, Ortsgrößenklasse und die Dreifachwechselwirkungen als signifikant (p<0,05); jedoch erklärt das Modell insgesamt nur einen geringen Teil der beobachteten Variabilität (R2=0,16). In der Tendenz sind kleine Krankenhausgröße, öffentliche Trägerschaft und Oberzentrumslage als kostensteigernde und freigemeinnützige Trägerschaft, mittlere Krankenhausgröße und Mittelzentrumslage als kostensenkende Einflußfaktoren zu erkennen. Als signifikante Parameterschätzer treten bei diesem Ansatz eine kleine Bettengrößenklasse (p=0,046) und die Kombination „Oberzentrumslage/öffentliche Trägerschaft/kleine Krankenhausgröße" (p=0,05) als kostensteigernde Faktoren auf, wohingegen die Kombinationen aus kleiner Bettengrößenklasse und Oberzentrumslage bzw. Unterzentrumslage (p=0,027 bzw. 0,039) die geschätzten Kostennachteile abmildert.
Einfluss von Personalkosten
Der Anteil der Personalkosten beläuft sich im Krankenhaus im Median auf 70% der Gesamtkosten. Bedeutendste Kostengruppen sind hierbei die Kosten des Pflegedienstes (41% der Personalkosten im Median) und des Ärztlichen Dienstes (21% der Personalkosten im Median). Dies spiegelt auch die Anzahl der Vollstellen wieder, bei denen die Pflegekräfte stärker vertreten sind als Ärzte, letztere jedoch pro Vollstelle höhere Kosten verursachen.
Einen Überblick über die Anteile einzelner Personalgruppen an den gesamten Personalkosten gibt Abbildung 3 [Abb. 3]. Hohe mittlere Fallkosten werden dabei erwartungsgemäß signifikant von großen Personalkosten beeinflusst (Spearman-Rho=0,177, p=0,01). Der Anteil der Personalkosten an den Gesamtkosten korreliert dabei jedoch auch positiv signifikant mit der Ortsgrößenklasse (Spearman-Rho=0,175, p=0,01) und negativ signifikant mit der Krankenhausgröße (Spearman-Rho=-0,224, p=0,01).
Abbildung 3: Anteile einzelner Personalgruppen an den Personalkosten insgesamt 
Unter Verwendung eines Varianzanalysemodells, welches für die Stichprobe den Anteil Personalkosten an den gesamten Fallkosten in Abhängigkeit von Ortsgrößenklasse, Trägerschaft und Bettengrößenklasse (klein, mittel, groß) sowie der Wechselwirkungen aus diesen Einflussfaktoren betrachtet, erweisen sich die Einflussfaktoren Krankenhausgröße und Trägerschaft als signifikant (p<0,05); jedoch erklärt das Modell insgesamt nur einen geringen Teil der beobachteten Variabilität (R2=0,17). In der Tendenz haben größere Krankenhäuser einen geringeren Personalkostenanteil, ebenso privat getragene Krankenhäuser im Vergleich zu öffentlich und freigemeinnützig getragenen Krankenhäusern.
Diskussion
Die Untersuchung analysiert den Zusammenhang zwischen regionaler Lage und Fallkosten. Die regionale Lage wird dabei mittels der von offizieller Seite bereitgestellten Einordnung der Zentralität eines Standortes kategorisiert. Es zeigt sich, dass die regionale Lage geringeren Einfluss auf die Fallkosten hat als Bettenzahl und Trägerschaft. Die Ergebnisse stehen somit in Übereinstimmung mit einer früheren Studie, welche nur Daten aus Nordrhein-Westfalen einbezog [9].
Die Studie ist jedoch mit Einschränkungen verbunden. So basieren die vorhandenen Daten auf vereinbarten Kosten, die nicht unbedingt den tatsächlichen Ist-Kosten entsprechen [5]. Vereinbarte Kosten können vielmehr als Erlöse begriffen werden, wie sie sich für den einzelnen Fall aus Krankenhaussicht darstellen. Der Rückgriff auf vereinbarte Kosten hat den Vorteil, dass eine größere Anzahl von Krankenhäusern betrachtet werden können und wird daher in deutschen Studien zu Krankenhausfinanzen fast ausnahmslos eingesetzt. Ist-Fallkosten von Krankenhäusern liegen in Deutschland nicht öffentlich verfügbar vor und sind auch intern nur einer kleinen Anzahl von Krankenhäuser bekannt. Allerdings kann mit der Abschätzung der hier untersuchten Frage nicht bis zum Vorliegen von Ist-Kosten im Zuge der DRG-Kalkulation gewartet werden, da bei DRG-Einführung die Frage der regionalen Zuschläge geklärt sein sollte.
Eine weitere Einschränkung der Studie ist die noch nicht mögliche Einbeziehung des Case-Mix-Index in die Betrachtung. Der Case-Mix-Index zeigt an, wie hoch die Vergütung für den durchschnittlichen Fall eines Krankenhauses ist [3]. Sobald die DRG-basierte Vergütung eingeführt wird, sind hohe Fallkosten zumindest teilweise durch einen höheren Case-Mix-Index ausgeglichen. Wie stark dieser Ausgleich sein wird, ist offen, jedoch zeigten bisherige Untersuchungen, dass der Zusammenhang zwischen Ist-Kosten und Case-Mix-Index in Deutschland überraschend gering ist [7]. Nierhoff et al. untersuchten die tatsächlichen Ist-Kosten und den Case-Mix Index im Rahmen einer regelmäßigen Abfrage bei einer Stichprobe von Krankenhäusern mittels Fragebögen. Da die teilnehmenden Krankenhäuser Anonymität zugesichert bekommen, bereits langjährig an der Untersuchung teilnehmen und die Auswertungen Plausibilitäten unterzogen werden, wird von einer guten Datenqualität ausgegangen.
Die entscheidende Frage lautet somit, inwieweit trotz höherem Case-Mix-Index die Ist-Kosten bei einem individuellen Krankenhaus nicht gedeckt sind. Die Frage kann erst nach Festlegung des bundeseinheitlichen Punktwertes im Jahr 2007 beantwortet werden. Bis dahin müssen die Entscheidungen über Sicherstellungszuschläge jedoch bereits gefallen sein, so dass die hier vorgenommene Abschätzung als Tendenzaussage ausreichen muss.
Die Tendenzaussage ist jedoch gefestigt, da regional exponierte Standorte sogar eher niedrigere Kosten aufweisen als Großstadtlagen. Dieser Zusammenhang wird auch in anderen Staaten beobachtet [4], dort jedoch in der Regel getrennt vom Versorgungsauftrag betrachtet. Mit anderen Worten werden dort Zuschläge zum einen für die Sicherstellung der Versorgung (exponierte Lagen) und die höheren Kosten von Ballungsgebieten (zentrale Lagen; insbesondere höhere Löhne und Gehälter) getrennt vereinbart [6]. Diese getrennte Sichtweise hat der Gesetzgeber in Deutschland bei der Vorgabe möglicher Zuschläge auf DRG nicht vorgesehen (§ 17 b KHG). Dadurch kann ein statistischer Zusammenhang zwischen Fallkosten und Lage kaum begründet werden.
Für die Gesundheitspolitik ergibt sich, dass ein genereller Zuschlag auf die einheitliche DRG-Vergütung nach regionalen Kriterien (Ortsgröße des Standortes) gemäß unserer Analyse nicht unterstützt werden kann. In einzelnen Fällen kann es durchaus zu Verwerfungen kommen, was aufgrund der oftmals günstigen Kostenstruktur der exponierten Lagen jedoch nur für einzelne Fachabteilungen zu erwarten ist. Die Sicherstellung der Versorgung in Ballungszentren kann durch die flächendeckende Versorgung kaum begründet werden. Die besonders betroffenen großen Krankenhäuser der Maximalversorgung müssen daher über alternative Mechanismen eingebunden werden.
Literatur
[1] Arnold M, Klauber J, Schellschmidt H, eds. Krankenhaus-Report 2001. Stuttgart: Schattauer; 2002.[2] Bortz J, Lienert GA, Boehnke K. Verteilungsfreie Methoden in der Biostatistik. Berlin: Springer; 1990. p. 175ff.
[3] Fetter RB. Casemix classification systems. Australian Health Review. 1999;22(2):16-34.
[4] Lauterbach K, Lüngen M. DRG - Fallpauschalen: eine Einführung. Anforderungen an die Adaption von Diagnosis-Related Groups in Deutschland. Stuttgart: Schattauer; 2000.
[5] Lüngen M. Kostenrechnung im Krankenhaus. In: Lauterbach K, Schrappe M, eds. Gesundheitsökonomie, Qualitätsmanagement und Evidence-based Medicine. Stuttgart: Schattauer; 2001. p. 238-245.
[6] MedPAC. The Medicare Prospective Payment System for Hospital Inpatient Services. Overview. Washington, DC.: Medicare Payment Advisory Commission (MedPAC); 1997.
[7] Nierhoff G, Lüngen M, Haverkamp H, Evers T, Lauterbach K. Kein Zusammenhang zwischen Case-Mix-Index und Kosten. Führen und Wirtschaften im Krankenhaus. 2002;19(1):30-36.
[8] Statistisches Bundesamt, ed. Statistisches Jahrbuch. Stuttgart: Metzler-Poeschel; 1999.
[9] Wolf-Ostermann K, Lüngen M, Lauterbach K. Regionale Kostenunterschiede der Krankenhausversorgung in NRW. Informatik, Biometrie und Epidemiologie in Medizin und Biologie. 2002;33(1):11-26.



