Untersuchung des Einflusses eines Hörsystems auf den Tages-Schallexpositionspegel
Jessica Herrmann 1Simone Wollermann 1
Tim Jürgens 2
Hendrik Husstedt 1
1 Deutsches Hörgeräte Institut GmbH, Lübeck, Deutschland
2 Technische Hochschule Lübeck, Lübeck, Deutschland
Zusammenfassung
Täglich tragen gewollte und ungewollte Alltagsgeräusche, wie zum Beispiel Verkehrslärm oder Musik zur Geräuschbelastung des Menschen bei. Die durchschnittliche Geräuschbelastung von Normalhörenden wurde bereits in mehreren Studien erfasst und bewertet. Der Einfluss eines Hörsystems wurde bislang nicht beachtet. Aus diesem Grund wird in dieser Arbeit der Einfluss eines Hörsystems auf den Tages-Schallexpositionspegel im Alltag näher untersucht. Dabei wurde in zwei Schritten vorgegangen. Zunächst wurden Ausgangspegel eines Hörsystems am Kunstkopf bei einer frontalen Beschallung aus 0° für verschiedene Signale und Eingangspegel und unterschiedliche Hörverluste aufgenommen. Anhand dieser Daten wurde untersucht, welchen Einfluss die Signalart, der Signalpegel und die Art des Hörverlustes auf die Ausgangspegel hat. Im nächsten Schritt wurden aus den betrachteten Signalen typische Alltagszenarien zusammengestellt und anhand der gemessenen Ausgangssignale die dazugehörigen Tages-Schallexpositionspegel ermittelt. Anhand dieser Daten wurde nicht nur untersucht, wie der Tages-Schallexpositionspegel durch Hörsysteme beeinflusst wird, sondern es wurde auch die Auswirkung eines erhöhten Tages-Schallexpositionspegels mit den Modellen der ISO 1999:2013 abgeschätzt.
Die Untersuchungen bestätigen, dass mit einem steigenden Hörverlust ein stärkeres Kompressionsverhältnis nötig ist, um das Signal in den Dynamikbereich des Hörverlustes zu komprimieren. Im Zusammenhang der Hörsystemverstärkung und der Signalart wurden nur geringe Unterschiede festgestellt. Die Auswertung des Tages-Schallexpositionspegels zeigte, dass das Hörsystem diesen nur bei einer Anpassung an stärkere Hörverluste ab N4 und S2 entsprechend DIN EN 60118-15 im Vergleich zu Normalhörenden erhöht. Sobald das Hörsystem auf schwächere Hörverluste eingestellt wird, bleibt der Tages-Schallexpositionspegel nahezu gleich, oder wird sogar aufgrund von geschlossener Anpassung mit Otoplastik verringert. Die Höhe des Schallexpositionspegels wird maßgeblich durch die Situation mit dem höchsten Pegel und/oder der längsten Zeitdauer beeinflusst. Bei der Abschätzung der Folgen des erhöhten Tages-Schallexpositionspegel durch Hörsysteme nach ISO 1999:2013 sind insbesondere dann starke Auswirkungen feststellbar, wenn die Verstärkung höher ist, als es entsprechend des Hörverlustes notwendig wäre. Dafür wurde ein Worst-Case-Szenario untersucht, bei dem Normalhörende ein Hörsystem mit einer für einen gewissen Hörverlust angepassten Verstärkung für 10 Jahre tragen würden. Im Vergleich dazu fallen die Auswirkungen bei Hörgeschädigten deutlich geringer aus, wenn die Verstärkung entsprechend des vorliegenden Hörverlustes eingestellt wurde. Dies ist darauf zurückzuführen, dass die Schädigungswirkung nach ISO 1999:2013 mit steigendem, bereits vorhandenem Hörverlust geringer ausfällt. Bei der Hörsystemversorgung sollte daher darauf geachtet werden, dass die Verstärkung eines Hörsystems immer entsprechend dem individuell vorliegenden Hörverlust gewählt wird.
Schlüsselwörter
Hörsysteme, Tages-Schallexpositionspegel, Schwerhörige, Lärmschutz
1 Einleitung
Täglich üben Menschen an verschiedenen Orten unterschiedliche Tätigkeiten aus und sind daher einer Vielzahl von Geräuschkulissen ausgesetzt. Eine Lärm- bzw. Geräuschexposition tritt dabei nicht nur in Arbeitssituationen auf, sondern auch bei der Ausübung von nicht beruflichen Aktivitäten wie beispielsweise beim Einkaufen oder durch Verkehrsmittel. Der Report „Environmental noise in Europe – 2020“ der European Environment Agency beschreibt, dass mindestens einer von fünf Menschen gesundheitsschädlichen Pegeln aus Umgebungslärm ausgesetzt ist [1]. Unter Umgebungslärm wurden hier vor allem Straßen, Bahnschienen, Flugzeuge und die Industrie genannt. Diese Lärmbelastung kann zu negativen Auswirkungen auf die körperliche und geistige Gesundheit der Betroffenen führen.
Aus diesem Grund wurden daher schon seit längerem maximal zulässige Expositionswerte für die Schallbelastung am Arbeitsplatz eingeführt [2]. In Deutschland liegt der maximal zulässige Expositionswert für den C-bewerteten Spitzenschalldruckpegel (Lpeak) bei 137 dB(C) und für den Tages-Lärmexpositionspegel (LEx, 8h) bei 85 dB(A). Diese aus dem Arbeitsschutz stammenden Grenzwerte finden mittlerweile aber auch in vielen anderen Bereichen in gleicher oder leicht abgewandelter Form Verwendung, wie z.B. bei den Sicherheitsanforderungen für Einrichtungen der Audio/Video-, Informations- und Kommunikationstechnik [3], bei der Sicherheit von Spielzeugen [4], bei Kopfhörern und Ohrhörern in Verbindung mit tragbaren Audiogeräten [5], oder bei elektroakustischer Beschallungstechnik [6].
Flamme et al. berechneten in einer Studie, die sich mit der Erfassung von Geräuschpegeln im Alltag beschäftigte, von 286 Teilnehmern den Tages-Schallexpositionspegel normiert auf acht Stunden. Dabei kamen sie zu dem Ergebnis, dass die Teilnehmer im Durchschnitt einem Tages-Schallexpositionspegel von 76 dB(A) ausgesetzt waren. Zudem ergab sich, dass 65 bis 70 % der Teilnehmer einen Tages-Schallexpositionspegel von 75 dB(A) überschritten [7]. Ähnliche Ergebnisse wurden in der Studie „Sound exposure during daily activities“ erzielt, in der von 32 Bewohnern der Stadt Madrid die akustische Umgebung erfasst und ausgewertet wurde. Es ergab sich über eine Woche ein durchschnittlicher Tages-Schallexpositionspegel von 74,9 dB(A) für jeden Teilnehmer [8].
Zu erwähnen ist, dass an den Studien nur Normalhörende teilgenommen haben. Zwar lassen sich auch Studien finden, die ähnliche Untersuchungen mit Schwerhörigen durchgeführt haben, jedoch wurde der Einfluss von Hörsystemen auf den Tages-Schallexpositionspegel nicht beachtet. Aufgrund der eintreffenden Schallsignale stellt sich die Frage, in welchem Maße ein Hörsystem den Tages-Schallexpositionspegel von Schwerhörigen beeinflusst. Um diese Frage näher zu untersuchen, wurden in dieser Studie folgende Teilfragen näher betrachtet:
- Wie stark verstärkt ein Hörsystem Alltagsgeräusche in Abhängigkeit von der Signalart, des Signalpegels und des Hörverlustes?
- Wie sieht ein typischer Alltag eines Schwerhörigen aus?
- Was für ein Tages-Schallexpositionspegel ergibt sich für einen typischen Alltag eines Hörsystemträgers im Vergleich zu der Situation ohne Hörsystem?
- Welche Auswirkung hat die Änderung des Tages-Schallexpositionspegels durch das Hörsystem auf die Hörschwelle des Trägers langfristig?
Für die Beantwortung der Frage 1 wurde in dieser Studie ein Hörsystem auf Standardhörverluste N1 bis N7 und S1 bis S3 aus der DIN EN 60118-15 angepasst und mit vier unterschiedlichen Signalen bei unterschiedlichen Pegeln an einem Kunstkopf aus frontaler Richtung 0° beschallt [9].
Zur Bestimmung eines Alltages von Schwerhörigen (Frage 2) wurden verschiedene Studien herangezogen und ein Referenzalltag und sechs davon abgewandelte Alltage für eher aktive oder eher weniger aktive Rentner erstellt.
Um den Tages-Schallexpositionspegel in Bezug auf einen Alltag eines Normalhörenden und eines versorgten Schwerhörigen zu untersuchen (Frage 3), wurde ein fiktiver Alltag aus repräsentativen Signalen erstellt. Es wurden für diese repräsentativen Signale die Ergebnisse der Aufnahmen am Kunstkopf herangezogen, um damit den Schall-Expositionspegel bezogen auf acht Stunden für Hörsystemträger zu berechnen. Abschließend wurden die Ergebnisse mit den Tages-Schallexpositionspegeln von Normalhörenden verglichen.
Für die Beantwortung der letzten Frage (Frage 4) wurden die Verfahren der ISO 1999 angewandt. Dafür wurde der Einfluss des Tages-Schallexpositionspegels auf die Hörschwelle für eine Expositionsdauer von 10 Jahren und den Median der Hörschwellenverschiebung (N50) genauer betrachtet.
2 Material und Methoden
2.1 Messaufbau
Die Messungen wurden in einer akustisch optimierten Messkabine mit einer Bodenfläche von 21,9 m2, einem Volumen von 68,7 m3 und einer mittleren Nachhallzeit von 0,14 s zwischen 0,2 kHz und 5 kHz des Deutschen Hörgeräte Instituts (DHI) durchgeführt. Der Messablauf wurde mit dem Programm Matlab R2020a des Herstellers The MathWorks, Inc. automatisiert und die Signale wurden mit einer RME Fireface 802 Soundkarte dargeboten und aufgenommen. Die Schallabgabe erfolgte durch einen Genelec Lautsprecher vom Typ 8351A auf Kopfhöhe und in 1 m Abstand zum Kunstkopf der Firma G.R.A.S. vom Typ KEMAR 45BB entsprechend IEC TS 60318-7. Das Signal des Hörsystems wurde dabei mit einem Ohrsimulator entsprechend IEC 60318-4 aufgenommen. Zusätzlich wurden die Umgebungsgeräusche und die Schallpräsentation mit einem Mikrofon von Brüel & Kjaer vom Typ 4190 in der Nähe des Kunstkopfes aufgezeichnet und überwacht. Das Referenzmikrofon und der Ohrsimulator des KEMARs wurden beide mit einem Pistonphon von Brüel & Kjaer Typ 4228 kalibriert.
2.2 Messsignale
Als Messsignale wurden Signale gewählt, die typische Alltagssituationen von Normalhörenden und Schwerhörigen simulieren sollen. Bei der Signalauswahl wurden Untersuchungen berücksichtigt, die sich unter anderem mit der Klassifikation der akustischen Umgebung von Normal- oder Schwerhörigen beschäftigten [8], [10], [11], [12]. Insgesamt wurden 24 Signale verwendet, die Situationen wie zum Beispiel „Gespräch mit einer Person“, „Gespräch mit mehreren Personen“, „Fernsehen“, oder „Musikkonzert“ repräsentieren sollen. Die verschiedenen Signale wurden dabei in 21 Hörsituation unterteilt. Drei Situationen („Musikkonzert“, „Auto fahren“, „Geburtstagsfeier“) wurden aus zwei Signalen zusammengesetzt, um zu überprüfen wie sich das Hörsystem abhängig vom Signal verhält. Die Signale wurden aus intern zur Verfügung gestellten CDs und Audiodateien ausgewählt [13], [14], [15]. Alle Signale wurden auf eine Dauer von fünf Minuten normiert, um den Einfluss langsamer Ein- und Ausschwingzeiten des Hörsystems möglichst gering zu halten. Dafür wurden kürzere Signale so oft wiederholt bis eine Dauer von 5 min erreicht wurde. Bei allen Signalen wurde die Dynamik berechnet und sichergestellt, dass eine verzerrungsfreie Abgabe über den Lautsprecher möglich war. Der Darbietungspegel der Signale wurde je nach Fragestellung gewählt und als A-bewerteter Summenpegel definiert. Für die Berechnung des A-bewerteten Summenpegels wurden die Gewichtungen entsprechend DIN EN 61672-1 verwendet.
2.3 Hörsystem und Einstellung
Als Hörsystem wurde das Power-Hörgerät Motion 13P 7Nx des Herstellers Signia mit einer geschlossenen Ankopplung am KEMAR verwendet. Dafür wurde das Kunstohr des KEMARs für alle Messungen mit Typenreiniger verschlossen. Die Anpassung des Hörsystems wurde auf Grundlage der Standardhörverluste N1 bis N7 und S1 bis S3 entsprechend DIN EN 60118-15 durchgeführt [9]. Als Anpassformel wurde NAL-NL2 verwendet. Die angepassten Verstärkungswerte des Hörsystems wurden im Nachhinein an der Messbox mit dem ISTS bei 65 und 80 dB SPL überprüft und stimmten von 250 Hz bis 4 kHz innerhalb von ± 5 dB und von 4 bis 8 kHz innerhalb ± 10 dB mit den NAL-NL2 Zielwerten überein. Abschließend wurde eine First-Fit-Berechnung durchgeführt. Bei einigen Hörverlusten (N6, N7, S2) ist es aufgetreten, dass die Frequenzkompression aufgrund der Herstellerempfehlung aktiviert werden sollte. Hinsichtlich der Tatsache, dass die Signalverarbeitung in besonderem Maße herstellerspezifisch ist, wurde die Frequenzkompression manuell deaktiviert.
2.4 Kriteriumspegel
Der Begriff Kriteriumspegel geht aus dem Bereich des Lärmschutzes hervor und dient zur Beurteilung von pegelabhängig dämmenden Gehörschutz. Bei der Nutzung eines Gehörschutzes gibt der Kriteriumspegel an, bei welchem Eingangspegel ein freifeldentzerrter Pegel von 85 dB(A) am Trommelfell erreicht wird. Mit der Berechnung des Kriteriumspegels wird festgelegt, bis zu welchem äußeren Schalldruckpegel der Gehörschutz eingesetzt werden darf, ohne bei einem Arbeitstag von 8 h und einer 5-Tage-Woche den maximal zulässigen Tages-Lärmexpositionswert von 85 dB(A) zu überschreiten [16].
2.5 Lärmbedingte Hörschwellenverschiebung
Um den Einfluss des Tages-Schallexpositionspegels auf die Hörschwelle zu untersuchen, wurde die ISO 1999:2013 angewandt [17]. In der ISO 1999:2013 wird ein Modell beschrieben, mit dem es möglich ist, die Ausprägung einer lärminduzierten, dauerhaften Hörschwellenverschiebung für sechs verschiedene Frequenzen (500 Hz, 1 kHz, 2 kHz, 3 kHz, 4 kHz, 6 kHz) abzuschätzen. Dafür wird zunächst die dauerhafte Hörschwellenverschiebung N aufgrund des Lärms berechnet, ohne dabei eine schon bestehende Hörschwellenverschiebung H zu berücksichtigen. Im nächsten Schritt werden beide Beiträge (N und H) zu der sich in Summe ergebenden Hörschwellenverschiebung
[Formel 1]

berechnet. Der reine lärminduzierte Anteil wird in der Norm zunächst für den Median (50. Perzentil)
[Formel 2]
![]()
in Abhängigkeit von der Expositionsdauer t zwischen 10 und 40 Jahren und dem A-bewerteten Tages-Lärmexpositionspegel berechnet. Die übrigen Parameter u, v, t0 und L0 werden im Text und in der Tabelle 1 [Tab. 1] der ISO 1999:2013 vorgegeben. Des Weiteren beschreibt die ISO 1999:2013 ebenfalls eine Korrektur für Expositionszeiten kleiner als 10 Jahre und gibt an, wie andere Perzentile im Bereich von 5% bis 95% ausgehend vom Wert für N50 berechnet werden können.

2.6 Vorgehen zur Erstellung von Alltagsbeispielen für Hörsystemnutzer
Zur Untersuchung der Fragestellung, welchen Einfluss ein Hörsystem auf den Tages-Schallexpositionspegel hat, wurden 20 typische Alltagssituationen (z.B. „Gespräch mit einer Person“ oder „Fernsehen“) ausgewählt. Um die Signale, welche die Situationen repräsentieren sollen, mit realistischen Pegeln darzubieten, wurden mittlere Pegelwerte ermittelt. In Anlehnung an die Literatur, die sich mit der Erfassung von A-bewerteten äquivalenten Dauerschallpegel beschäftigten, wurden die Pegelwerte festgelegt [8], [10], [18], [19]. Für Straßenlärm wurde die DIN 18005-1 verwendet [20]. Die Darbietung der Signale erfolgte für jeden eingestellten Hörverlust aus der Norm DIN EN 60118-15. Damit konnte eine Sammlung an Ausgangsschalldruckpegeln für verschiedene Hörsituationen und Hörverluste gewonnen werden.
Als Basis für die Alltagserstellung wurden Studien herangezogen, die sich mit dem Höralltag von Normal- und Schwerhörigen beschäftigten [10], [11], [12]. Aus den Studien ging hervor, dass in etwa zwei Drittel der Zeit zu Hause und ein Drittel der Zeit in nicht privaten Umgebungen verbracht wird. Zu den häufigsten Aktivitäten gehören Fernsehen, gefolgt von Gesprächen im Haushalt mit einer oder mehr als einer Person. Zusammenfassend können die folgenden Alltagssituationen als die wichtigsten und häufigsten für Normal- und Schwerhörige angenommen werden: „Fernsehen“, „Telefon“, „Gespräche mit einer Person“, „Gespräche >1 Person“, „Restaurant“, „Auto fahren“, „Geburtstagsfeier“ und „Musikkonzert“.
3 Ergebnisse
3.1 Hörsystemverstärkung in Abhängigkeit vom Eingangspegel, Signaltyp und Hörverlust
Es wurden vier Signale mit Pegeln von 55 dB(A), 65 dB(A), 75 dB(A), 85 dB(A) und 95 dB(A) dargeboten, um zu untersuchen, welche Verstärkung das Hörsystem in Abhängigkeit vom Eingangspegel, Signaltyp und Hörverlust bereitstellt. Für eine Situation mit Sprache in Ruhe wurde das „Internationale Sprach Test Signal (ISTS)“ verwendet, das aus einer Mischung von sechs verschiedenen weiblichen Sprechern besteht [21]. Das Signal „Get together“ repräsentiert eine Cocktailpartysituation, bei der Frauen- und Männergespräche in deutscher Sprache enthalten sind. Das Signal „Musik Klassik“ ist ein klassisches Musikstück mit einem Streichquartett. Das Signal „Kino“ ist ein Ausschnitt aus einem Kinosaal mit Gesprächen und Hintergrundmusik. Das Abspielen der Signale erfolgte für alle Hörverluste der DIN EN 60118-15 [9].
In Abbildung 1 [Abb. 1] ist die Verstärkung des Hörsystems in Abhängigkeit vom Eingangspegel aufgetragen. Die durchgezogenen Kurven wurden mit den Standardaudiogrammen N1 bis N7 mit flachem und moderatem Abfall und die gestrichelten Linien mit den Standardaudiogrammen S1 bis S3 mit steilem Abfall aufgenommen.

In allen vier Abbildungen ist eine höhere Gesamtverstärkung des Hörsystems mit zunehmendem Hörverlust zu erkennen. Außerdem wird unabhängig vom Hörverlust eine Reduzierung der Verstärkung zu höheren Eingangspegeln festgestellt.
Um die Abhängigkeit der Verstärkung vom Signaltyp zu verdeutlichen, werden die Kurven aller Signaltypen beispielhaft für die Hörverluste N3 und N6 in einer Abbildung dargestellt (Abbildung 2 [Abb. 2]). Zusätzlich wurde der Mittelwert über die Verstärkungswerte aller Signale berechnet und als schwarz gestrichelte Linie ergänzt.

In dieser Darstellung ist zu erkennen, dass die Kurven der verschiedenen Signale nah beieinander liegen. Zudem lässt sich die Tendenz erkennen, dass das Musiksignal pegelunabhängig im Schnitt um 3 dB mehr verstärkt wird als die anderen getesteten Signale. Außerdem ist mit einem eingestelltem Hörverlust N3 in dem betrachteten Pegelbereich ein dämpfendes Übertragungsverhalten festzustellen. Um das dämpfende Verhalten im Sinne des Gehörschutzes anschaulicher darzustellen, wurde der Kriteriumspegel anhand der über alle Signale gemittelten Kurven berechnet (Abbildung 3 [Abb. 3]). Da der Kriteriumspegel dem Eingangspegel entspricht, bei dem am Trommelfell 85 dB(A) ankommt, bedeuten alle Hörverluste mit Kriteriumspegeln oberhalb von 85 dB ein dämpfendes Verhalten des Hörsystems. Dieses Verhalten wurde insgesamt bei den Hörverlusten N1 bis N3 und bei S1 beobachtet.

3.2 Alltagsbeispiele für Hörsystemnutzer
Es wurden insgesamt sieben Alltagsbeispiele erstellt (siehe Tabelle 1 [Tab. 1]). Ausgehend von einem Referenzalltag wurden jeweils drei Abwandlungen für eher aktive Rentner, die noch viel unterwegs sind und für eher weniger aktive Rentner, die die meiste Zeit zu Hause sind, erstellt. Um den Tages-Schallexpositionspegel zu berechnen, wurden nur die acht Stunden eines Tages mit den Situationen berücksichtigt, die die höchsten Pegel aufwiesen. Bei den eher passiven Alltagen enthielten diese acht Stunden von 4,5–5 h Situationen zu Hause und bei den eher aktiven Alltagen waren es 3–3,5 h. Zudem wurde der Tages-Schallexpositionspegel (LEx,8 h) für alle Hörverluste einzeln berechnet.
3.3 Tages-Schallexpositionspegel für verschiedene Alltage eines Hörsystemträgers
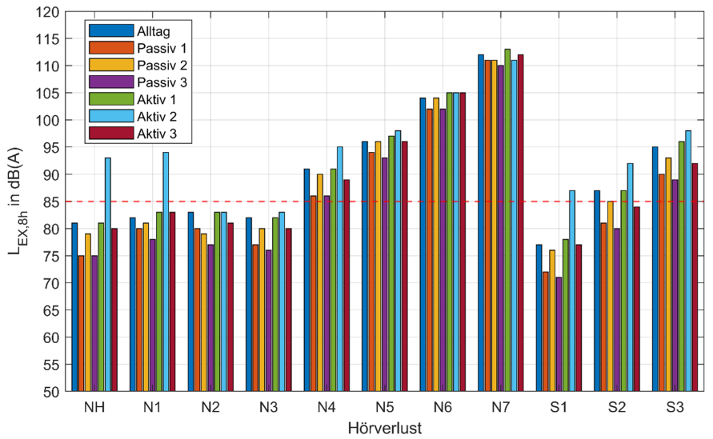
In Abbildung 4 [Abb. 4] ist der berechnete Tages-Schallexpositionspegel in Abhängigkeit des Hörverlustes für alle Alltage aus Tabelle 1 [Tab. 1] abgebildet, NH steht dabei für normalhörend. In der Legende entspricht der blau markierte Alltag dem Referenzalltag; orange, gelb und violett stehen für Alltagssituationen von eher weniger aktiven und grün, türkis und rot für eher aktive Rentner. Der Grenzwert bei 85 dB(A) im Sinne des Lärmschutzes wurde als rot, gestrichelte Linie hinzugefügt. Entsprechend der Abbildung lässt sich für den Referenzalltag ein Tages-Schallexpositionspegel von 81 dB(A) für Normalhörende zuordnen. Mit einem am Hörsystem eingestellten Hörverlust N1 steigt dieser auf 82 dB(A) und mit N2 auf 83 dB(A) an. Ein eingestellter Hörverlust N3 führt zu einer Absenkung auf 82 dB(A). Die Hörverluste N4 bis N7 zeigen eine deutliche Erhöhung auf 91 dB(A) mit N4, auf 96 dB(A) mit N5, auf 104 dB(A) mit N6 und auf 112 dB(A) mit N7. Bei Normalhörenden hingegen wird der Tages-Schallexpositionspegel mit eingestelltem Hörverlust S1 auf 77 dB(A) reduziert. Für S2 wird eine geringe Erhöhung auf 87 dB(A) und bei S3 wiederrum auf 95 dB(A) festgestellt.

Die Ergebnisse zeigen, dass das Hörsystem bei geringen bis mittelgradigen Hörverlusten den Tages-Schallexpositionspegel nicht verändert oder verringert. Stärkere Hörverluste führen zu einer Erhöhung des Tages-Schallexpositionspegels beim Hörsystem.
Die erstellten Alltage einer weniger aktiven Person (orange, gelb, violett) zeigen, dass der Schall-Expositionspegel im Vergleich zu Normalhörenden mit leichtem Hörverlust N1 und N2 minimal erhöht ist und mit eingestelltem Hörverlust N3 wieder abnimmt. Die Hörverluste N4 bis N7 führen zu einer erneuten Steigerung des Schall-Expositionspegels. Bei den Hochtonhörverlusten ist die Tendenz zu beobachten, dass mit S1 der Schall-Expositionspegel gegenüber Normalhörenden abgesenkt wird. Die Hochtonhörverluste S2 und S3 führen zu einem gegenteiligen Verhalten. Die Hörverluste N4 bis N7 und S3 führen zu einer Erhöhung des Schall-Expositionspegels, sodass der Grenzwert von 85 dB(A) überschritten wird.
Die aktiven Alltage (grün, türkis, rot) führen im Fall vom ersten (grün) und dritten (rot) Alltag zu einem ähnlichen Verlauf wie die Alltage einer weniger aktiven Person. Der zweite aktive Alltag (türkis) weist den höchsten Schall-Expositionspegel auf. Für Normalhörende ergibt sich ein Schall-Expositionspegel von 93 dB(A). Hörverlust N1 erhöht das Schallmaß um 1 dB und es erfolgt eine stärkere Dämpfung für die Hörverluste N2 und N3. Die Hörverluste N4 und N7 führen zwar zu einer Erhöhung des Schall-Expositionspegels, jedoch ist die Pegeldifferenz zwischen N3 und N4 höher als bei den restlichen Alltagen. Mit Hörverlust S1 ist eine abermalige Dämpfung zu erkennen.
Der Grenzwert von 85 dB(A) wird beim ersten Alltag von aktiven Rentnern mit den eingestellten Hörverlusten N4 bis N7, sowie S2 und S3 überschritten. Der zweite Alltag von aktiven Rentnern führt zur Überschreitung des Grenzwertes als normalhörend, sowie mit den Hörverlusten N1, N4 bis N7 und S1 bis S3. Im Gegensatz zu den ersten beiden Alltagen führt der dritte Alltag ebenfalls bei N4 bis N7 zur Überschreitung des Grenzwertes, jedoch bei Betrachtung der Hochtonhörverluste nur bei S3.
3.4 Langfristige Auswirkung der Änderung des Tages-Schallexpositionspegels durch das Hörsystem auf die Hörschwelle für einen Referenzalltag
Durch die Anwendung der ISO 1999:2013 wurde der Einfluss des Tages-Schallexpositionspegels auf die Hörschwelle näher untersucht. Es wurde eine Expositionsdauer von 10 Jahren angenommen und der Median der Hörschwellenverschiebung N50 berechnet. Dies wurde für jeden Tages-Schallexpositionspegel, der sich durch den Referenzalltag aus Tabelle 1 [Tab. 1] für Normalhörende und alle Hörverluste aus der DIN EN 60118-15 ergab, durchgeführt. Anschließend wurde mit H' die zu erwartende Hörschwellenverschiebung in Verbindung mit Hörverlust und Lärm berechnet. In Abbildung 5 [Abb. 5] sind die Ergebnisse für Normalhörende und die Hörverluste N1 bis N7 in der linken Abbildung und die Ergebnisse für Normalhörende und die Hörverluste S1 bis S3 in der rechten Abbildung als Tonaudiogramm dargestellt. Die durchgezogenen Kurven stellen die vorherrschenden Hörschwellen und die gestrichelten Kurven die Mediane der entsprechenden ISO 1999:2013 induzierten Hörschwellenverschiebung nach einer zehnjährigen Expositionsdauer dar. Hierbei ist zu berücksichtigen, dass die ISO 1999:2013 auch für Normalhörende bei einer Geräuschbelastung entsprechend des Referenzalltags aus Tabelle 1 [Tab. 1] eine leichte Hörschwellenverschiebung vorhersagt. Werden nun die Kurven der zu erwartenden Hörschwellenverschiebung für Menschen mit unterschiedlich stark ausgeprägtem Hörverlust und einer für den jeweiligen Hörverlust angepassten Hörsystemversorgung betrachtet, fällt auf, dass erst ab höheren Hörverlusten bei N4-N7 und S3 eine merklich erhöhte Hörschwellenverschiebung durch die Verstärkung des Hörsystems erkennbar ist.

Entgegen der Annahme fällt die Hörschwellenverschiebung geringer aus, als man bei den hohen Verstärkungen, die für die Versorgung stärker ausgeprägter Hörverluste notwendig sind, vermuten würde. Dieses Verhalten ist damit zu erklären, dass die Schädigungswirkung bei gleicher Geräuschbelastung mit steigendem Hörverlust entsprechend der Berechnungsformel (Formel 1) aus ISO 1999:2013 abnimmt. Zur Verdeutlichung dieses Effektes wurden vergleichend die Auswirkungen der Verstärkungen bei Normalhörenden untersucht (siehe Abbildung 6 [Abb. 6]). Die notierten Schall-Expositionspegel entsprechen den Pegeln, die sich für einen Normalhörenden durch die erstellten Alltage aus Abbildung 4 [Abb. 4] ergaben. Es ist zu erkennen, dass die Auswirkungen in diesem Fall deutlich stärker sind und eine klare Abhängigkeit vom berücksichtigten Hörverlust vorhanden ist. Je höher der angenommene Hörverlust ist, desto höher sind die Hörsystemverstärkung und die Auswirkung auf das Hörvermögen bzw. die relative Hörschwellenverschiebung erkennbar. Auch wenn es sich bei dieser Betrachtung um eine konstruierte Situation handelt, die bei der fachgerechten Anpassung durch den Hörakustiker nicht auftreten sollte, ist die Darstellung der potenziellen Gefahren von besonderem Interesse. Dies gilt insbesondere, wenn die Abgabe von Hörsystemen ohne den Einbezug eines Hörakustikers in Betracht gezogen wird [22].

4 Diskussion
4.1 Hörsystemverstärkung bei Alltagsgeräuschen
Es wurde erwartet, dass die Hörsystemverstärkung bei Alltagsgeräuschen im Wesentlichen von der Signalart, dem Signalpegel und dem Hörverlust abhängig ist. Die Untersuchungen bestätigen den Einfluss des Signalpegels und des Hörverlustes, wobei die Signalart einen deutlich geringeren Einfluss auf die Verstärkung hat. Die Kurvenverläufe der verschiedenen Signale haben nahezu identische Verläufe, nur das Musik-Signal wird im Mittel um 3 dB mehr verstärkt als die anderen untersuchten Signale (siehe Abbildung 2 [Abb. 2]). Die geringen Unterschiede, bezogen auf die Verstärkung zwischen den Signalen, könnten damit einhergehen, dass die Signale nur aus einem Lausprecher von vorne präsentiert wurden. Aufgrund dessen könnte die Situation für das Hörsystem nicht realistisch genug gewesen sein, sodass die Situationsautomatik weniger stark aktiv war und die Auswirkungen auf die Verstärkung in Abhängigkeit von der Signalart geringer ausgefallen ist.
In Bezug auf den Signalpegel wurde wie erwartet hinsichtlich der Dynamikkompression mit steigendem Eingangspegel eine geringere Verstärkung gemessen [23]. Im betrachteten Eingangspegelbereich bis 95 dB(A) wurde für einige Hörverluste sogar eine negative Verstärkung bzw. dämmende Wirkung festgestellt. Dieses Verhalten ist insbesondere bei der Darstellung des Kriteriumspegels in Abbildung 3 [Abb. 3] sichtbar. Die Hörverluste N1 bis N3 und S1 liegen hier oberhalb von 85 dB(A), sodass das Hörsystem in diesem Fall die Funktion eines pegelabhängigen Gehörschutzes erfüllt. Hinsichtlich der Messungen ist zu berücksichtigen, dass eine geschlossene Ankopplung gewählt wurde und bei einer offeneren Ankopplung eine geringere oder keine dämmende Wirkung zu erwarten wäre. In diesem Fall würde sich jedoch auch im Zuge dessen der Einfluss des Hörsystems im verstärkenden Bereich reduzieren.
Bei Betrachtung der Verstärkung für verschiedene Hörverluste konnte der erwartete Verlauf festgestellt werden [23]. Bei zunehmendem Hörverlust steigt die Verstärkung des Hörsystems und der Einfluss der Dynamikkompression wird stärker.
4.2 Einfluss des Hörsystems auf den Tages-Schallexpositionspegel
Der Einfluss des Hörsystems wurde in Abhängigkeit vom Hörverlust und für verschiedene, im Rahmen der Arbeit konstruierte Alltage, untersucht. Zunächst ist festzustellen, dass sich der Tages-Schallexpositionspegel nicht bei allen Hörverlusten erhöht hat (siehe Abbildung 4 [Abb. 4]). Die Hörverluste N1 bis N3 und S1 bis S2 führen nur zu einer geringen oder zu keiner Erhöhung. Beim Hörverlust S1 konnte sogar eine deutliche Reduzierung gegenüber der Situation eines Normalhörenden festgestellt werden. Der leichte Hochtonhörverlust S1 weist einen Verlust der hohen Frequenzen ab 3 kHz auf, wodurch eine geringe Erhöhung im Vergleich zu Normalhörenden zu erwarten war. In diesem Fall könnte die Kombination aus geschlossener Anpassung und dem Störgeräusch-Management des Hörsystems die dämmende Wirkung erklären. Die Hörverluste N4 bis N7 und S3 führen zu einer deutlichen Erhöhung des Tages-Schallexpositionspegels. Entsprechend der WHO-Klassifikation ist der Hörverlust N4 als hochgradige Schwerhörigkeit und N6 als eine an Taubheit grenzende Schwerhörigkeit einzustufen, sodass hier eine Erhöhung zu erwarten war.
In Bezug auf die verschiedenen Alltage für aktive oder eher weniger aktive Rentner konnten nur geringe Unterschiede festgestellt werden. Eine Ausnahme bildet der Alltag „Aktiv 2“, der bei Normalhörigen und den Hörverlusten N1 und S1 zu einem deutlich höheren Tages-Schallexpositionspegel führt. Dies ist darauf zurückzuführen, dass bei der Berechnung des Schall-Expositionspegels der Gesamtschallpegel maßgeblich durch die Situation mit dem höchsten Schall-Expositionspegel und/oder der längsten Zeitdauer geprägt wird. Für diesen Alltag ergab sich für Normalhörende ein Schall-Expositionspegel von 93 dB(A), welcher durch das Musikkonzert, dass mit einer Stunde und 30 Minuten die längste Zeitdauer einnimmt und mit einem Pegel von 100 dB(A) gleichzeitig das Ereignis mit dem höchsten Pegel ist, geprägt wird. Sobald die Situation „Musikkonzert“ durch eine Situation mit geringerem Pegel, wie zum Beispiel „Café kleine Gruppe“ ersetzt wird, ergibt sich für Normalhörende lediglich ein Schall-Expositionspegel von 77 dB(A).
4.3 Bewertung der durch das Hörsystem bedingten Änderung des Tages-Schallexpositionspegels
Für die Bewertung, der durch das Hörsystem bedingten Änderung des Tages-Schallexpositionspegels, wurde der Median, der zu erwartenden Hörschwellenverschiebung nach einer Expositionsdauer von 10 Jahren entsprechend der ISO 1999:2013 betrachtet. Die Ergebnisse zeigen, dass das Tragen des Hörsystems nur bei den Hörverlusten N4 bis N7 und S3 eine sichtbare Veränderung der Hörschwelle zu der Situation ohne Hörsystem aufweist. Auffällig ist, dass die Auswirkungen auf die Hörschwelle deutlich geringer sind als es bei den entsprechenden Schall-Expositionspegeln bei Normalhörenden der Fall wäre. Aufgrund dessen ist es bedeutungsvoll, dass eine Hörsystemeinstellung passend zum Hörverlust gewählt wird, um eine Verschiebung der Hörschwelle, begünstigt durch eine zu hohe Verstärkung, zu vermeiden. Im Gegensatz dazu zeigen die Ergebnisse ebenfalls, dass mit einem optimal eingestellten Hörsystem nur eine geringe bis keine Verschiebung der Hörschwelle zu erwarten ist. Darüber hinaus ist zu berücksichtigen, dass besonders starke Hörverluste N5 bis N7 oder auch S3 teilweise oder vollständig im Indikationsbereich von Cochlea-Implantaten liegen. Demnach ist eine Schallexposition durch Hörsysteme bei diesen sehr starken Hörverlusten von geringerer praktischer Bedeutung. Bei der Betrachtung des möglichen Risikos, eine permanente Hörschwellenverschiebung durch Hörsysteme zu erleiden, sollte stets der Nutzen durch das Hörsystem für den/die Betroffenen gegenübergestellt werden. Zahlreiche Studien belegen, dass eine unversorgte Hörminderung schwerwiegende Folgen für den/die Betroffenen haben kann, wie z.B. soziale Isolation, Frustration, schlechtere Chancen auf dem Arbeitsmarkt oder eine größere Wahrscheinlichkeit, an Demenz zu erkranken [24], [25]. Auf Grundlage dieser Abwägung erscheint der Nutzen durch Hörsysteme deutlich die Risiken durch eine zusätzliche lärmbedingte Schädigung zu überwiegen.
4.4 Einschränkungen der Untersuchungen
In dieser Versuchsreihe wurde nur ein Hörsystem eines Herstellers mit der Anpassformel NAL-NL2 verwendet, sodass der Einfluss modell- oder herstellerspezifischer Signalverarbeitungsstrategien oder anderer Anpassstrategien nicht berücksichtigt wurde. Darüber hinaus wurden die Signale nur aus frontaler Richtung in einem akustischen Messraum präsentiert, sodass die Automatik im Hörsystem möglicherweise nicht entsprechend der realen Situation reagiert hat. Aufgrund dessen lässt sich nicht abschließend feststellen, ob der geringe Einfluss der verschiedenen Eingangssignale (siehe Abbildung 2 [Abb. 2]), welche unterschiedliche Hörsituationen repräsentieren, auf eine fehlende realitätsnahe räumliche Darbietung oder auf einen geringen Einfluss der Programmautomatik zurückzuführen ist. Außerdem wurde eine geschlossene Ankopplung des Hörsystems gewählt. Bei einer offeneren Ankopplung würden Unterschiede zwischen der Situation mit und ohne Hörsystem geringer ausfallen. Infolge dessen wäre die Erhöhung des Tages-Schallexpositionspegels durch eine Verstärkung als auch eine Reduzierung durch eine dämpfende Wirkung in der Regel geringer ausgeprägt. Des Weiteren ist festzuhalten, dass Effekte durch Okklusion, die beispielsweise zu einer Überhöhung der eigenen Stimme im unteren Frequenzbereich hervorgerufen werden können, nicht berücksichtigt wurden.
5 Fazit
Zusammenfassend hat sich gezeigt, dass der Einfluss eines Hörsystems auf den Tages-Schallexpositionspegel insbesondere bezüglich des Hörverlustes differenziert betrachtet werden sollte. Andere Faktoren, die sich durch unterschiedliche Alltagsgewohnheiten ergeben, zeigen bei den betrachteten Beispielen einen geringen Einfluss auf den Tages-Schallexpositionspegel. Die Betrachtung der verursachten Hörschwellenverschiebung durch das Tragen des Hörsystems entsprechend der ISO 1999:2013 beweist, dass die Auswirkungen des erhöhten Tages-Schallexpositionspegels deutlich geringer ausfallen als es bei Normalhörenden mit einem ebenso stark verstärkenden Hörsystems der Fall wäre. Daher ist es sehr wichtig, dass eine Hörsystemeinstellung passend zum Hörverlust gewählt wird. Mit einem richtig eingestellten Hörsystem ist für die Hörverluste N1 bis N3 sowie S1 und S2 keine Hörschwellenverschiebung durch das Tragen des Hörsystems über 10 Jahre zu erwarten. Für die Hörverluste N4 bis N7 und S3 ist eine geringe Hörschwellenverschiebung durch das Tragen des Hörsystems über 10 Jahre zu erwarten. Die besonders starken Hörverluste liegen teilweise oder vollständig im Indikationsbereich von Cochlea-Implantaten, sodass eine erhöhte Schallexposition durch Hörsysteme hier von geringerer praktischer Bedeutung ist. Zudem sollte dem Risiko, eine zusätzliche Hörschwellenverschiebung durch das Hörsystem zu erleiden, auch dem Nutzen gegenübergestellt werden. Zahlreiche Studien belegen, dass eine unversorgte Hörminderung schwerwiegende Folgen für den Betroffenen haben kann, wie z.B. soziale Isolation, Frustration, schlechtere Chancen auf dem Arbeitsmarkt oder eine größere Wahrscheinlichkeit, an Demenz zu erkranken [24], [25]. Auf Grundlage dieser Abwägung erscheint der Nutzen durch Hörsysteme für alle im Indikationsbereich liegenden Hörverluste deutlich die Risiken zu überwiegen.
Notes
Interessenkonflikte
Die Autoren erklären, dass sie keine Interessenkonflikte im Zusammenhang mit diesem Artikel haben.
Literatur
[1] EEA. Environmental noise in Europe - 2020. EEA Report No 22/2019. Luxembourg: Publications Office of the European Union; 2020. DOI: 10.2800/686249[2] Husstedt H. Wie laut ist zu laut? Z Audiol. 2019;58(3):100–5
[3] DKE/K 711 Sicherheit elektronischer Einrichtungen für Audio/Video-, Informations- und Kommunikationstechnik. DIN EN IEC 62368-1 (VDE 0868-1:2021-05), Einrichtungen für Audio/Video-, Informations- und Kommunikationstechnik, Teil 1: Sicherheitsanforderungen; Deutsche und Englische Fassung prEN IEC 62368-1:2019/prAA:2019. Berlin: Beuth-Verlag; 2021.
[4] CEN/TC 52 Sicherheit von Spielzeug. DIN EN 71-1, Sicherheit von Spielzeug – Teil 1: Mechanische und physikalische Eigenschaften; Deutsche Fassung EN 71-1:2014+A1:2018. Berlin: Beuth-Verlag; 2018. DOI: 10.31030/2893219
[5] DKE/K 733 Sicherheit für Geräte der Unterhaltungselektronik und verwandte Systeme. DIN EN 50332-1:2014-08, Elektroakustische Geräte: Kopfhörer und Ohrhörer in Verbindung mit tragbaren Audiogeräten - Verfahren zur Messung des maximalen Schalldruckpegels – Teil 1: Allgemeines Verfahren für „Original-Geräte-Sets“; Deutsche Fassung EN 50332. Berlin: Beuth-Verlag; 2014. DOI: 10.31030/2150197
[6] NA 149-00-07 AA Medien und Tontechnik. DIN 15905-5:2007-11 (D) Veranstaltungstechnik – Tontechnik – Teil 5: Maßnahmen zum Vermeiden einer Gehörgefährdung des Publikums durch hohe Schallemissionen elektroakustischer Beschallungstechnik. Berlin: Beuth-Verlag; 2007.
[7] Flamme GA, Stephenson MR, Deiters K, Tatro A, van Gessel D, Geda K, Wyllys K, McGregor K. Typical noise exposure in daily life. Int J Audiol. 2012 Feb;51 Suppl 1:S3-11. DOI: 10.3109/14992027.2011.635316
[8] Diaz C, Pedrero A. Sound exposure during daily activities. Applied Acoustics. 2006;67(3):271-83.
[9] DKE/GUK 8216 Hörgeräte und audiometrische Messtechnik. DIN EN 60118-15:2012-12, Akustik – Hörgeräte – Teil 15: Methoden zur Charakterisierung der Hörgeräte-Signalverarbeitung (IEC 60118-15:2012); Deutsche Fassung EN 60118-15:2012. Berlin: Beuth-Verlag; 2012. DOI: 10.31030/1921281
[10] Eckardt F, Holube I, Fichtl E, Müller F. Auditory Ecology: Charakterisierung typischer Alltagssituationen. In: 16. Jahrestagung der Deutschen Gesellschaft für Audiologie „Alterndes Hören – hörend altern“; 2013 Feb-Mar 27–02; Rostock.
[11] Holube I, Fredelake S, Vlaming M, Kollmeier B. Development and analysis of an International Speech Test Signal (ISTS). Int J Audiol. 2010 Dec;49(12):891-903. DOI: 10.3109/14992027.2010.506889
[12] Haverkamp L, von Gablenz P, Kissner S, Bitzer J, Holube I. Erfassung von Alltagssituationen mithilfe von Echtzeitaufnahmen und subjektiven Bewertungen. In: 16. Jahrestagung der Deutschen Gesellschaft für Audiologie „Alterndes Hören – hörend altern“; 2013 Feb-Mar 27–02; Rostock.
[13] Sound Ideas, editor. Digiffects [Audio-CD]. 1986-1989.
[14] Phonak. Phonak Environments [Audio-CD]. 1993.
[15] GEERS. A-Life [Audio-CD]. 1998.
[16] NA 075-02-01 AA Gehörschutz. DIN EN 352-7:2021-03, Gehörschützer –Sicherheitstechnische Anforderungen – Teil 7: Pegelabhängig dämmende Gehörschutzstöpsel; Deutsche Fassung EN 352-7:2020. Berlin: Beuth-Verlag; 2021. DOI: 10.31030/2846177
[17] ISO/TC 43 Acoustics. ISO 1999:2013-10, Acoustics – Estimation of noise-induced hearing loss. Berlin: Beuth-Verlag.
[18] Amt für Arbeitsschutz. Messprogramm „Lautstärke in Hamburger Diskotheken und Tanzbetrieben“. Hamburg: Freie und Hansestadt Hamburg; 2008.
[19] Krump G, Hoock H, Müller S. Untersuchung zur Geräuschbelastung in Speise- und Trinklokalen. In: Fortschritte der Akustik – DAGA 2015, 41. Jahrestagung für Akustik 16.–19. März 2015 in Nürnberg. Berlin: DEGA; 2015. p. 682-3.
[20] Deutsches Institut für Normung e.V. DIN 18005-1:2002-07, Schallschutz im Städtebau –Teil 1: Grundlagen und Hinweise für die Planung. Berlin: Beuth-Verlag; 2002. DOI: 10.31030/9237320
[21] Holube I, Fredelake S, Vlaming M, Kollmeier B. Development and analysis of an International Speech Test Signal (ISTS). Int J Audiol. 2010 Dec;49(12):891-903. DOI: 10.3109/14992027.2010.506889
[22] Manchaiah V, Taylor B, Dockens AL, Tran NR, Lane K, Castle M, Grover V. Applications of direct-to-consumer hearing devices for adults with hearing loss: a review. Clin Interv Aging. 2017;12:859-71. DOI: 10.2147/CIA.S135390
[23] Harvey D. Hearing Aids. New York: Thieme Verlag; 2001.
[24] Hsu WT, Hsu CC, Wen MH, Lin HC, Tsai HT, Su P, Sun CT, Lin CL, Hsu CY, Chang KH, Hsu YC. Increased risk of depression in patients with acquired sensory hearing loss: A 12-year follow-up study. Medicine (Baltimore). 2016 Nov;95(44):e5312. DOI: 10.1097/MD.0000000000005312
[25] Ford AH, Hankey GJ, Yeap BB, Golledge J, Flicker L, Almeida OP. Hearing loss and the risk of dementia in later life. Maturitas. 2018 Jun;112:1-11. DOI: 10.1016/j.maturitas.2018.03.004



