Improvement of wound healing by water-filtered infrared-A (wIRA) in patients with chronic venous stasis ulcers of the lower legs including evaluation using infrared thermography
James B. Mercer 1Stig Pors Nielsen 2
Gerd Hoffmann 3
1 Department of Medical Physiology, Faculty of Medicine, University of Tromsø, Norway
2 Department of Clinical Physiology, Hillerød Hospital, Hillerød, Denmark
3 Institute of Sports Sciences, Johann Wolfgang Goethe University, Frankfurt/Main, Germany
Abstract
Background: Water-filtered infrared-A (wIRA) is a special form of heat radiation with a high tissue-penetration and with a low thermal burden to the surface of the skin. wIRA is able to improve essential and energetically meaningful factors of wound healing by thermal and non-thermal effects.
Aim of the study: prospective study (primarily planned randomised, controlled, blinded, de facto with one exception only one cohort possible) using wIRA in the treatment of patients with recalcitrant chronic venous stasis ulcers of the lower legs with thermographic follow-up.
Methods: 10 patients (5 males, 5 females, median age 62 years) with 11 recalcitrant chronic venous stasis ulcers of the lower legs were treated with water-filtered infrared-A and visible light irradiation (wIRA(+VIS), Hydrosun® radiator type 501, 10 mm water cuvette, water-filtered spectrum 550–1400 nm) or visible light irradiation (VIS; only possible in one patient). The uncovered wounds of the patients were irradiated two to five times per week for 30 minutes at a standard distance of 25 cm (approximately 140 mW/cm2 wIRA and approximately 45 mW/cm2 VIS). Treatment continued for a period of up to 2 months (typically until closure or nearly closure of the ulcer). The main variable of interest was “percent change of ulcer size over time” including complete wound closure. Additional variables of interest were thermographic image analysis, patient’s feeling of pain in the wound, amount of pain medication, assessment of the effect of the irradiation (by patient and by clinical investigator), assessment of feeling of the wound area (by patient), assessment of wound healing (by clinical investigator) and assessment of the cosmetic state (by patient and by clinical investigator). For these assessments visual analogue scales (VAS) were used.
Results: The study showed a complete or nearly complete healing of lower leg ulcers in 7 patients and a clear reduction of ulcer size in another 2 of 10 patients, a clear reduction of pain and pain medication consumption (e.g. from 15 to 0 pain tablets per day), and a normalization of the thermographic image (before the beginning of the therapy typically hyperthermic rim of the ulcer with relative hypothermic ulcer base, up to 4.5°C temperature difference). In one patient the therapy of an ulcer of one leg was performed with the fully active radiator (wIRA(+VIS)), while the therapy of an ulcer of the other leg was made with a control group radiator (only VIS without wIRA), showing a clear difference in favour of the wIRA treatment. All mentioned VAS ratings improved remarkably during the period of irradiation treatment, representing an increased quality of life. Failures of complete or nearly complete wound healing were seen only in patients with arterial insufficiency, in smokers or in patients who did not have venous compression garment therapy.
Discussion and conclusions: wIRA can alleviate pain considerably (with an impressive decrease of the consumption of analgesics) and accelerate wound healing or improve a stagnating wound healing process and diminish an elevated wound exudation and inflammation both in acute and in chronic wounds (in this study shown in chronic venous stasis ulcers of the lower legs) and in problem wounds including infected wounds. In chronic recalcitrant wounds complete healing is achieved, which was not reached before. Other studies have shown that even without a disturbance of wound healing an acute wound healing process can be improved (e.g. reduced pain) by wIRA.
wIRA is a contact-free, easily used and pleasantly felt procedure without consumption of material with a good penetration effect, which is similar to solar heat radiation on the surface of the earth in moderate climatic zones. Wound healing and infection defence (e.g. granulocyte function including antibacterial oxygen radical formation of the granulocytes) are critically dependent on a sufficient energy supply (and on sufficient oxygen). The good clinical effect of wIRA on wounds and also on problem wounds and wound infections can be explained by the improvement of both the energy supply and the oxygen supply (e.g. for the granulocyte function). wIRA causes as a thermal effect in the tissue an improvement in three decisive factors: tissue oxygen partial pressure, tissue temperature and tissue blood flow. Besides this non-thermal effects of infrared-A by direct stimulation of cells and cellular structures with reactions of the cells have also been described. It is concluded that wIRA can be used to improve wound healing, to reduce pain, exudation, and inflammation and to increase quality of life.
Keywords
water-filtered infrared-A (wIRA), wound healing, chronic venous stasis ulcers of the lower legs, infrared thermography, thermographic image analysis, prospective study, visual analogue scales (VAS), reduction of pain, problem wounds, wound infections, energy supply, oxygen supply, tissue oxygen partial pressure, tissue temperature, tissue blood flow, quality of life
Introduction
Leg ulcer is one of the leading causes of morbidity among older persons, especially women in the Western world [1]. It is estimated that at least 1% of the population in industrialised countries will suffer from leg ulcer at some time. The majority (approximately 80%) of leg ulcers are venous ulcers, resulting from venous insufficiency. Venous insufficiency can develop slowly (favoured by some risk factors like genetic disposition or being overweight) or can be caused by a trauma. The resulting chronic venous insufficiency can be staged, e.g. according to Widmer: stage 1 presents reversible edemas, stage 2 shows persistent edemas, hemosiderosis, purpura, dermatosclerosis, lipodermatosclerosis, atrophie blanche and stasis dermatitis, usually found on the distal medial aspect of the lower leg (“gaiter” area), stage 3 is characterized by ulcers (typically of the distal lower leg, often on the inside of the ankles). Within the time course of a chronic venous insufficiency ulcers appear typically as a late symptom after a period with stasis dermatitis. Therefore such ulcers are clinically called “venous stasis ulcers”. The anamnesis of patients with venous stasis ulcers typically includes a history of leg swelling, varicose veins, or superficial or deep venous thrombosis of the leg. The economic impact of treating crural ulcers is enormous and even small improvements in healing and decreases in recurring rates could result in substantial reductions in the cost of treatment, not to mention the improvement in the patients’ quality of life [2]. The standard treatment is the use of leg compression bandages to treat the underlying venous hypertension, although not every ulcer heals in a timely fashion with this treatment modality [3]. Within the last decade, major advances have been made in the management of chronic venous stasis ulcers. These include improvements in biosynthetic dressings and the identification of growth factors in wounds as well as recently derived skin substitutes and growth factor/cytokine preparations to help stimulate local wound healing [2], [4], [5].
The beneficial effects of using heat in the treatment of a large variety of medical ailments are well known and treatment with low-level laser and infrared irradiation has been used to treat leg ulcers. While the former seems to be ineffective, infrared irradiation has been shown to have beneficial effects [6], [7]. This is also supported by some earlier studies [8], [9]. However, it is somewhat surprising that the numbers of published studies using this technique to treat leg ulcers are rather few. One of the reasons for this may be due to the low skin penetration properties of heat from conventional red-light lamps in which the long wave radiation component (primarily infrared-B) is rapidly and nearly completely absorbed by the water molecules present in the topmost skin layers, and is converted to heat energy. In addition, specific infrared-A wavelengths are also absorbed, thus causing additional heating (undesired thermal burden) of the skin surface.
In the special situation of chronic ulcers a contact-free method of applying heat not just to the skin surface, but also to deeper levels is desirable. Fortunately water-filtered infrared-A (wIRA) radiation [10] has good qualities with sufficient depth of penetration to permit a therapeutically usable heat field of deeper tissue regions and in the 1980's and early 1990’s there were some short reports indicating some success in the treatment of chronic ulcers (see [11] for references) with infrared-A radiation. These reports were later confirmed by more detailed studies [11], [12], in which dramatic improvement in the healing process of leg ulcers by water-filtered infrared-A could be demonstrated as indicated by increase in speed of the healing process, reduction of the ulcer size and reduction of pain. Published experiences with water-filtered infrared-A in wound healing of chronic wounds exist since approximately 1989 [13]. Already from different results of the early publications [11], [13] the importance of moderate, limited irradiation intensities could be deduced [14]. The use of heat irradiation treatment both pre-operatively [15] as well as post-operatively [16] clearly improves general aspects of wound healing including rate of healing [15] as well as the oxygen partial pressure in the infected tissue [16]. From the above results a positive effect from using water-filtered infrared-A radiation in wound healing could be expected.
Mankind has evolved under the influence of solar heat radiation [17], [18], [19]. The experience of the pleasant heat of the sun in moderate climatic zones results from the filtering of solar heat radiation by water vapour in the earth's atmosphere [18], [19], [20], [21]. In contrast to this the solar radiation in the desert is stinging and burning due to the missing water vapour in the earth's atmosphere. Thus, water-filtering absorbs or decreases certain components of solar radiation (water absorption bands within the infrared-A as well as most parts of the infrared-B and -C), which would otherwise bring an undesired thermal burden to the topmost skin layer due to interaction with water molecules in the skin [18], [19], [20], [21]. Technically water-filtered infrared-A (wIRA) is produced in special radiators, in which the complete incoherent radiation of a 3000-Kelvin halogen bulb passes a water containing cuvette, so that the undesired portions of radiation are absorbed or decreased [17], [18], [19], [20]. The remaining water-filtered infrared-A (wIRA, in the range of 780–1400 nm) allows a multiple energy transfer into tissue and a higher penetration depth with even less thermal burden to the skin surface compared to unfiltered infrared lamps [18], [19], [20].
To gain more insight concerning the effect of infrared-A radiation on the healing of venous stasis ulcers of the lower legs we have performed a small clinical study using a Hydrosun® water-filtered infrared-A radiator. The Hydrosun® water-filtered infrared-A radiator allows a loco-regional heating of human tissue with a higher penetration depth than that of conventional infrared therapy (see methods for further details).
In this study we have used infrared thermography to monitor the healing process of each ulcer. Infrared thermography is based on analysis of skin surface temperatures as a reflection of normal or abnormal human physiology. Traditionally evaluation of skin temperature has been studied using systems involving one or more single point measurements, such as with thermocouples. It is only since the availability of infrared imagers, that efficient non-contact temperature recording has become possible. In a fraction of a second, a large area of the human body can be imaged with a thermal resolution approaching 50 mK as well as a spatial resolution of 25–50 µm [22], and dynamic responses to stimuli are easily documented [23], [24]. Thirty years of clinical use and more than 8000 peer-reviewed studies in the medical literature have established thermography as a safe and effective means to examine the human body [25], [26]. Today, infrared thermal imaging has become one of the most efficient techniques for the study of skin temperature, in which modern infrared digital cameras, employing advanced focal-plane array technology, provide a sensitive diagnostic tool for a multitude of clinical situations, ranging from breast cancer screening to open heart surgery.
Methods
Concept and description of the study
Design
Primarily planned as prospective, randomised, controlled, blinded study (see remark in section “Patient assessment”).
Inclusion criteria
For formal reasons only adult volunteer subjects were included (18 years and older). For logistic reasons (limited intervention and observation time did not allow to include patients with large ulcers) only patients with venous stasis ulcers of the lower legs of up to 5 cm in diameter were included in the study. In the case of patients having multiple chronic ulcers, all ulcers falling within the size range mentioned above were included on the condition that they could be simultaneously treated with a single radiator, i.e. were within the same anatomical area.
Exclusion criteria
Patients being unable to adequately cooperate with the clinical investigators.
Patients with non-venous ulcers (arterial, neuropathetic ulcers etc.).
Ethics
Permission to carry out the study was granted by the Ethical Committee of Hillerød Hospital, Hillerød, Denmark. All participating subjects provided both written and oral consent to participate in the study.
Patient recruitment
Subjects were recruited either by referral from medical practitioners with offices within about a 25 km radius of Hillerød Hospital who had been previously informed about the project. In addition, volunteer subjects took direct contact in response to an article in a local newspaper. Many potential participants could not be included, as they did not fulfil the inclusion criteria.
Patient assessment
Final patient selection was based on the results of a medical examination carried out by physicians at the Department of Clinical Physiology, Hillerød Hospital. Our initial idea to carry out a double-blind study in which half of the patients would be treated with a control group radiator (emitting only visible light without wIRA) could not be achieved due to a lack of volunteer patients. Many potential participants were dissatisfied with the idea of being involved in a blinded study even though they were informed that if they did receive treatment from a control group radiator that this would be followed up with a course of treatment with a fully "active" radiator. These subjects would potentially have to visit the hospital on a daily basis for 8 or more weeks, in many cases over long distances. One also has to keep in mind that many of these patients were elderly. Rather than "lose" these patients we agreed to treat most of them from the start with the fully "active" radiator.
A total of 10 patients (median age 62 years, range 34 years to 83 years), 5 males and 5 females, received a total of 285 treatments. One patient who had a venous stasis ulcer on each leg had one of the ulcers treated with a fully active radiator and the other with a control group radiator. After 13 treatments spread out over 16 days the leg ulcer treated with the control group radiator was then treated with a fully active radiator (19 treatments over 30 days). (Patient 10, see Results section and appendix for this patient.)
Infrared radiators
The radiator used in this study was a Hydrosun® radiator, emitting water-filtered infrared-A (wIRA) and visible light (VIS), spectrum shown in Figure 1 [Fig. 1]. The expression “radiator” is used in the sense of “a technical device, emitting radiation”. The unique principle of operation involves the use of a hermetically sealed water-filter in the radiation path that absorbs or decreases those infrared wavelengths emitted by conventional infrared lamps that would otherwise lay a thermal burden on the skin (especially infrared-B and -C and water absorption bands within infrared-A [18], [19], [20]). With wIRA high irradiation intensities are perceived as pleasant and therapeutic heating of deeper tissue layers over longer periods of time can be achieved. In the therapy group the Hydrosun® radiator (Hydrosun® Medizintechnik, Müllheim, Germany; radiator type 501, 10 mm water cuvette, standard orange filter, water-filtered spectrum 550–1400 nm, see Figure 1 [Fig. 1]) had approximately 185 mW/cm2 total irradiation intensity (wIRA(+VIS)) with approximately 140 mW/cm2 water-filtered infrared-A (wIRA) and approximately 45 mW/cm2 visible light (VIS) at a distance of 25 cm; in the remainder of the publication this radiator is called “wIRA radiator”. The control group radiator, which looked identical to the fully active radiator, had approximately 45 mW/cm2 total irradiation intensity being completely within the visible range VIS (550–780 nm, only visible light without wIRA).
Figure 1: Spectrum with spectral irradiation intensity E (mW · cm–2 · (10 nm)–1 = W · m–2 · nm–1) of a wIRA radiator (Hydrosun® 501) Calculated for Hydrosun® 501 with 10 mm water cuvette and standard orange filter at approximately 185 mW/cm2 (= 1.85 x 103 W/m2) total irradiation intensity (at a distance of 25 cm) with approximately 140 mW/cm2 wIRA and 45 mW/cm2 VIS, from Measurement of University of Applied Sciences Munich, dated June 30, 1999
Thermal characteristics of the heating radiators
The heating characteristics of both the fully active wIRA radiator and the control group radiator were evaluated thermographically by using both radiators to irradiate the surface of a uniform porous rubber mat having a thermal emissivity close to 1.0 (human skin has a thermal emissivity of 0.98). Four small pieces of metal tape were fixed to the mat on the 4 poles of an imaginary circle having a diameter of 16 cm, which corresponds to the size of the circular irradiated area at a distance of 25 cm (see Figure 2 [Fig. 2]). These acted as reference points in the infrared images. The rubber mat was irradiated for a period of 10 minutes. The heating pattern of the mat was continuously monitored with an infrared camera (see below for details) and digital infrared images were taken every 2 seconds during and for a 10-minute period after the heating. The recommended minimum irradiation distance of 25 cm was used.
Figure 2: Experimental set-up for testing a wIRA radiator
The photograph shows a porous rubber mat being heated by a wIRA radiator. The surface temperature of the irradiated porous rubber mat is continuously monitored by the infrared camera.
Radiation treatment procedure
Each session of radiation therapy lasted 30 minutes. The number of treatments per week varied from 2 to 5. For all treatments the radiator was placed at a distance of 25 cm from and at an angle of 90° to the skin surface (see Figure 3 [Fig. 3]). On the few occasions that the patient felt that the skin surface temperature was uncomfortably high, the irradiation distance was increased by approximately 5–10 cm. During some of the treatments the skin surface temperature of the treated skin area was continually monitored by the infrared camera. On other occasions the skin temperature was periodically checked during the treatment using a Raytek Raynger MX4 high performance non-contact hand held infrared thermometer (Raytek, Berlin, Germany). Skin surface temperature was not allowed to increase above 41°C. Typical skin temperatures during irradiation were 37–39°C, on the ulcer base even below 37°C (for details, see section “Skin heating patterns during treatment with a wIRA radiator” within the results). This is in accordance with the results of another study, in which wIRA increased skin surface temperature (starting from 32.5°C) to a mean of 38.2°C (maximum value was 39.1°C) [27].
Figure 3: Position of the wIRA radiator during treatment of a leg ulcer

Infrared thermography
The infrared camera used in this study was a FLIR ThermaCAM®PM695 (Flir Systems Inc., Portland, USA) which is an uncooled long wave detector (third generation uncooled micro bolometer sensor) with a thermal sensitivity of 80 mK. The camera was connected to a portable computer through a special interface. All images were stored on the computer for later analysis. Image analysis was performed with ThermaCAM researcher software version 2.1 (Flir Systems, Inc., Portland, USA).
Project protocol
In addition to an extensive anamnesis a detailed documentation of the current ulcer state, e.g. thermal characteristics by infrared thermography and conventional (visible light) digital photography for sizing the ulcers, was made. The surface area of each ulcer (in mm2) was determined from the conventional digital photographs with the use of a special computer programme (Tracer version 2.2; School of Computing, University of Glamorgan, Wales). Some of the patients were also subjected to Duplex scanning (see below) to assess the condition of their superficial and deep veins. In some patients toe and ankle arterial pressures were measured using a standard strain gauge system. Assessment of pain levels and other relevant variables (see below) were also assessed prior to therapy. During the treatment the patients lay on a standard adjustable treatment bench with their heads on a pillow. The treatment bench was adjusted to allow the patients to recline in the most comfortable position possible, with pillows and blankets supporting the body as necessary. During the treatment some patients lay on their sides and others on their backs, depending on the location of the ulcer. Room temperature and clothing was adjusted so that the patients felt thermally comfortable throughout the treatment period.
Wound cleaning prior to treatment
Prior to treatment all bandages were removed and the wound cleaned using standard procedures. Encrusted tissue was removed after first being softened by bathing with isotonic saline.
Time of day during which treatment took place
In order to minimize disturbance to the routine activities of the Department of Clinical Physiology and also because of space problems, the patients could only be treated between the hours of 3 p.m. and 7 p.m., except on Saturdays, where treatment during the mornings and early afternoon was also possible.
Measurements, variables of interest
Main variable of interest was variable V1; additional variables of interest were variables V2–V10; other variables were variables V11–V12 and the variables mentioned in section “Other documentation”.
V1: Size of ulcer
The size of the ulcer (mm2) was determined from conventional digital photographic images as described above.
Main variable of interest: size of ulcer over time, especially “percent change of ulcer size over time” (this means a standardization related to the size at the beginning).
V2: Thermographic image analysis
Thermographic image analysis of each ulcer was made immediately before and at regular intervals during the treatment period. From the pre-treatment images the thermal profile of each ulcer was documented. On some occasions infrared images were taken during the treatment in order to document the overall local heating effect of the wIRA treatment.
V3: Patient’s degree of pain sensation in the wound
Visual analogue scale (100 mm scale ranging from “No pain” to “Unbearable pain”).
Question asked: “How strong is the pain associated with the wound?”
Periodicity: prior to and immediately after each treatment.
Note: The visual analogue scales of the variables V3 and V5–V10 were presented on paper forms with open bars without scaling with the exception, that the end points were marked with number and corresponding verbal statement as shown exemplarily for the variable V3 in Figure 4 [Fig. 4]. Prior to each evaluation, whether it was performed by a patient or an investigator, a new form was used and neither the patient nor the investigator was allowed to have access to preceding evaluations.
Figure 4: Example of a visual analogue scale VAS as used for assessment of the variables V3 and V5-V10
Visual analogue scales were presented on paper forms with open bars (100 mm) without scaling with the exception that the end points were marked with number and corresponding verbal statement.
The use of visual analogue scales is a scientifically accepted method [28], [29], [30], [31].
V4: Pain medication
A record of pain relief medication (when applicable) during previous 24 h was made. The patients were asked whether they had taken pain relief medication in connection with pain associated with their ulcers during the previous 24 h. If the answer was yes the patient was asked to describe the type and amount of medication taken. In most cases the patients were taking standard non-prescription analgetics such as salicylic acid (Aspirin®) or paracetamol. Some patients were taking a mixture of both types. In a few cases patients were taking pain relief medication for other problems, e.g. shoulder pain. In order to obtain an approximate estimation of usage of these drugs in connection with ulcer pain, the number of this kind of tablets taken during the previous 24 h in connection only with ulcer pain was recorded.
Periodicity: prior to each treatment.
V5: Assessment of the effect of the irradiation (by patient)
Visual analogue scale (100 mm scale ranging from “Extreme deterioration” through “No effect” to “Extreme improvement”).
Question asked: “How do you evaluate the effect of the irradiation?”
Periodicity: following each treatment.
V6: Assessment of the effect of the irradiation (by investigator)
Visual analogue scale (100 mm scale ranging from “Extreme deterioration” through “No effect” to “Extreme improvement”).
Question asked: “How do you evaluate the effect of the irradiation?”
Periodicity: following each treatment.
V7: Assessment of the feeling in the wound area (by patient)
Visual analogue scale (100 mm scale ranging from “Extremely uncomfortable” to “Extremely pleasant”).
Question asked: “What is your feeling concerning the wound area?”
This question is more comprehensive than only the degree of pain sensation in the wound: even without pain the feeling of the wound area can differ regarding to felt temperature or heat, pruritus, exudation of the wound, roughness of the surrounding skin etc.
Periodicity: Immediately after each treatment.
V8: Assessment of wound healing (by investigator)
Visual analogue scale (100 mm scale ranging from “Extremely bad” to “Extremely good”).
Question asked: “How do you generally evaluate the wound healing process?”
The assessment of this variable was based on all relevant clinical data like appearance of the wound including wound size, wound edges, exudation, inflammation, signs of infection etc.
Periodicity: following each treatment.
V9: Assessment of the cosmetic state (by patient)
Visual analogue scale (100 mm scale ranging from “Extremely bad” to “Extremely good”).
Question asked: “How do you evaluate the cosmetic state of the wound?”
Periodicity: prior to first treatment and after final treatment (release from project).
V10: Assessment of the cosmetic state (by investigator)
Visual analogue scale (100 mm scale ranging from “Extremely bad” to “Extremely good”).
Question asked: “How do you evaluate the cosmetic state of the wound?”
Periodicity: prior to first treatment and after final treatment (release from project).
V11: Condition of deep and superficial leg veins (Duplex scanning)
Real time ultrazoneography flow Doppler measurements (Duplex scanning) were used to assess the condition of the superficial and deep veins in some of the patients. The laboratory facilities for carrying out these tests were available at the Department of Clinical Physiology, Hillerød Hospital. Basically Duplex scans combine two types of imaging technology – Doppler and ultrasound – giving both auditory and visual images of blood flow.
Periodicity: Prior to start of the treatment.
V12: Peripheral systolic toe index
Blood pressure: The peripheral systolic toe index (toe systolic pressure / arm systolic pressure ratio) is a common way to examine peripheral circulation status in patients with peripheral arterial obstructive disease (PAOD). In our study we examined this index before the treatment period in some of the patients. Diastolic and systolic blood pressure on the big toe was measured by the strain gauge technique and arm systolic pressure by a standard cuff system. In order to take orthostatic problems into consideration all measurements were made in the lying position.
Periodicity: Prior to start of the treatment period.
Other documentation
Personal data, including age, sex, body weight, body height, body mass index; serious internal, orthopaedic or other associated medical problems.
Type, localization and duration of each ulcer. Additional wound treatment regimes (in addition to the standard treatment described above).
Results
Beside the presentation of results here in this main text 12 attachments provide – as mentioned in the following sections – additional information: Attachments 1–10 (one per patient) [Att. 1], [Att. 2], [Att. 3], [Att. 4], [Att. 5], [Att. 6], [Att. 7], [Att. 8], [Att. 9], [Att. 10] and Attachments 11–12 [Att. 11], [Att. 12] providing video sequences.
Assessment of radiators
To assess the irradiation characteristics of the wIRA radiators, emitting wIRA(+VIS), a porous rubber mat was heated at a distance of 25 cm for a period of 10 minutes. Temperature profiles at seven different selected points across the irradiated field as well as an infrared image at the end of the heating period are shown in Figure 5 [Fig. 5]. The infrared image clearly shows that the irradiation field is circular and that the heat pattern is relatively uniform over most of the field, falling off rapidly at the boarders. From the temperature curves one can see that the porous rubber mat reaches a stable temperature within about 5 minutes. The surface temperature within the centre of the irradiated field is quite high, between about 85–100°C. At the end of the heating period the heated porous rubber mat rapidly cools down. The high-speed video sequence shows infrared images of the rubber mat during the experiment (Attachment 11 [Att. 11]). The changing temperatures in the centre of the rubber mat during the heating period are thought to be due to convection currents.
Figure 5: Time course showing surface temperatures of a porous rubber mat before, during and after a 10-minute period during which the mat was irradiated with a wIRA radiator
The coloured lines refer to individual measuring points at different positions across the irradiation field. The position of each respective measurement point is shown in the infrared image. A corresponding thermographic video sequence during this experiment is presented in Attachment 11.
A similar experiment was performed to assess the irradiation characteristics of the control group radiator (= VIS radiator, without wIRA). The results are shown in Figure 6 [Fig. 6].
Figure 6: Time course showing surface temperatures of a porous rubber mat before, during and after a 10-minute period during which the mat was irradiated with a control group radiator (= VIS radiator)
The coloured lines refer to individual measuring points at different positions across the irradiation field. The position of the respective measuring point is shown in the infrared image.
From the temperature curves one can see that the porous rubber mat reaches a stable temperature within about 5 minutes. However, in comparison to the fully “active” radiator, the surface temperature within the centre of the irradiated field was only slightly heated and never reached more than 34°C.
Patient results
Typical acute thermographic findings are presented in the following two sections entitled “Skin heating patterns during treatment with a wIRA radiator” (including two figures and one video sequence) and “Example of a healing process”.
The results of all variables of interest, summing up all patients, are presented in the section entitled “Summarized patient results with time course of variables” (including seven figures).
A detailed presentation of all relevant data from each patient – including detailed anamnesis and infrared images (thermograms) – can be found in the above mentioned Attachments 1–10.
Skin heating patterns during treatment with a wIRA radiator
An infrared thermogram of a venous stasis ulcer of the lower leg during irradiation with the wIRA radiator and temperature time curves of six temperature measuring sites are shown in Figure 7 [Fig. 7].
Figure 7: Irradiation of a venous stasis ulcer of the lower leg with a wIRA radiator
The period of irradiation was 30 minutes. The infrared (IR) thermogram was taken about half way through the treatment (as indicated by the vertical line in the lower panel; orientation of thermogram: lower foot to the left, heel at the bottom, distal part of the lower leg in the right upper corner.) In the thermogram the position of 6 temperature measuring sites is shown (4 circles and 2 spots: spot 1 was located in the centre of the ulcer and spot 2 was located on the bed-sheets beside the foot). The temperature time course of the highest temperature within each circle and the two spots are presented in the lower panel. The respective colours of the temperature curves in the lower panel refer to the different measuring sites (SP = spot; AR = circle) as shown in the infrared thermogram. The centre of the ulcer presented the lowest “maximum temperature” of all 6 measuring sites, the bed-sheets presented the highest “maximum temperature” of all 6 measuring sites. (Concerning all patients typical skin temperatures during irradiation were 37–39°C, on the ulcer base even below 37°C.) The 30-minute heating period commenced 1 min after time point 0 and ended at the end of minute 31 as can be seen from the temperature traces in the lower panel. A corresponding thermographic video sequence of a 30-minute treatment period of this leg ulcer is presented in Attch. 12 (orientation of images of the video sequence: lower foot to the left, heel at the bottom, distal part of the lower leg in the right upper corner. The circular cool area in the right upper corner is from a circular knob mounted on the end of the distance rod of the radiator. Note that in the thermographic video sequence the highest recorded temperature is on the bed-sheets and not on the ulcer or any part of the skin).
With the infrared camera it was possible to take image sequences at 1-second intervals during the entire treatment process. A high-speed playback of the treatment of the patient shown in Figure 7 [Fig. 7] can be seen in the Attachment 12 [Att. 12]. The sequence gives a visual impression of the heat distribution on and in the skin area surrounding the irradiated ulcer. (Orientation of video sequence: lower foot to the left, heel at the bottom, distal part of the lower leg in the right upper corner. The circular cool area in the right upper corner is from a circular knob mounted on the end of the distance rod of the radiator.)
The thermal characteristics of the skin temperature in and around the ulcers could be determined from the infrared thermograms. One such example is shown in Figure 8 [Fig. 8], showing the same patient 5 as Figure 7 [Fig. 7] and the video sequence. Characteristically the open ulcers were surrounded by a ring of skin (ulcer rim) having a higher than normal temperature (possibly due to inflammatory effects and/or increased blood flow) and as well characteristically the centres of the ulcers had a markedly lower temperature: the centres of the ulcers were at least relatively and sometimes even absolutely hypothermic with relevantly/markedly decreased temperatures, e.g. approximately 3.5°C in patient 2 (details presented in Attachment 2 [Att. 2]) and in patient 9 (details presented in Attachment 9 [Att. 9]) or approximately 4.5°C in patient 10, left leg (details presented in Attachment 10 [Att. 10]). Thus, a temperature profile across the centre of an ulcer, as presented in Figure 8 [Fig. 8], showed a typical pattern with 2 peaks. This pattern can be more readily visualized in the false three-dimensional infrared thermogram shown in Figure 8 [Fig. 8]. Patient 6 presented a remarkably hypothermic situation of the centre of the ulcer: The temperature of the ulcer base was approximately 4°C less than the temperature of the surrounding skin (without markedly hyperthermic ulcer rim) and the ulcer base was not only relatively but as well absolutely hypothermic (only 29.2°C) (details presented in Attachment 6 [Att. 6]).
Figure 8: Digital photographic image and thermographic images of a chronic venous stasis ulcer of the lower leg
Top left panel: photograph of leg ulcer in lateral ankle region of left leg (same ulcer as shown in Figure 7). Top right panel: infrared (IR) thermogram of the ulcer. The black line indicates the position of the temperature profile shown in the lower left panel. Lower right panel: thermogram as a false three-dimensional image.
Example of a healing process
Figure 9 [Fig. 9] presents an example of the healing process of a chronic venous stasis ulcer of the lower leg (patient 1) under therapy with wIRA (28 treatments, spread out over 52 days, each lasting 30 minutes) with digital photographic image, thermogram and temperature profile across the ulcer (on the left before start of the therapy and on the right after completion of the course of therapy).
Figure 9: Example of a healing process of a chronic venous stasis ulcer of the lower leg under therapy with wIRA
(28 times 30 minutes irradiation with water-filtered infrared-A (wIRA) and visible light (VIS) within 52 days = approximately 7 weeks) with digital photographic image, thermographic image, and temperature profile across the ulcer, in each case to the left before therapy and to the right after completion of the course of therapy. The arrow and the long arm of the piece of wire in the thermographic image point to the place where the ulcer has been. Diameter of the red circles: 16 mm. (adapted from [14])
Summarized patient results with time course of variables
Number of patients and treatments
10 patients (median age 62 years), 5 males and 5 females, received a total of 285 treatments.
(In addition, one 91 year old patient received a single partial treatment. This patient, who was in much discomfort and distress prior to treatment and who had exceptionally dry and partially cracked skin on the effected limb, was unable to tolerate the irradiation, even when the distance between the radiator and the ulcer was considerably increased. Despite our efforts to encourage the patient to continue, the patient declined. This is mentioned, as there were also two other patients who complained of similar discomfort in the earlier phases of treatment, but managed to continue with success.)
Classification of ulcers and previous treatment
The patients’ ulcers were classified as being true venous stasis ulcers (“v” in Table 1 [Tab. 1]) or being caused mainly by an arterial insufficiency (arterial (+ venous) “a+v” in Table 1 [Tab. 1]: patient 7) or a mixed venous-arterial insufficiency (“v+a” in Table 1 [Tab. 1]: patient 10). With the exception of patient 7 all patients had a chronic venous insufficiency stage 3 according to Widmer (chronic venous insufficiency with ulcer).
Table 1: Overview over patients, ulcer classification, ulcer sizes, treatments, and concomitant problems Patient number. Age (years). Sex (m = male; f = female). Ulcer classification (v = venous; a = arterial). Ulcer size start (mm2) = size of ulcer before the start of the first treatment with wIRA. Ulcer size end (mm2) = size of ulcer at last treatment. Change in size (%) = relative change in size during the treatment period (– = reduction; + = increase). Number of treatments (n). Total treatment time (days) = time between first and last treatment. Concomitant problems = arterial insufficiency (ai), diabetes (dia) (here: diabetes type II), smoker (smo), lacking compression garment therapy (lcgt). 10R and 10L = patient 10 right (R) and left (L) leg, respectively. 10L: first 13 treatments with control group radiator (VIS only), further treatments with fully active radiator (wIRA(+VIS)). A detailed presentation of all relevant data from each patient – including detailed anamnesis and conventional digital photographic images and digital infrared images (thermograms) – can be found in Appendices 1–10 (one per patient). 
Previous treatment of patients included an optimal compression garment therapy in patients 1–4 (in patients 1 and 2 with compression stockings, in patients 3 and 4 with compression bandages, with the exception of patient 4 worn only during daytime), patients 6, 8–10 had a presumably suboptimal compression therapy (e.g. only in the wound area), patient 7 had no compression therapy (as this was not indicated), and patient 5 lacked a compression therapy, as she did not tolerate any compression.
Previous wound dressings consisted of a variety of different dressing materials, often a net gauze impregnated with vaseline was used.
In order not to interfere with the therapy concepts of the family physicians of the patients and to get their permission to include the patients into the study, therapy concepts were not changed when patients were included into the study, even if the previous therapy concept might be judged to be suboptimal. This brings along the advantage that the effects within the study treatment period can be related solely to the study treatment (wIRA irradiation) and that the effects are not related to changes of dressing or compression therapy. When drawing conclusions from the presented study for the treatment of patients, of course wIRA should always be combined with an optimal therapy in regard to dressing and compression therapy.
In the graphs presented in Figures 10–16 [Fig. 10], [Fig. 11], [Fig. 12], [Fig. 13], [Fig. 14], [Fig. 15], [Fig. 16] a distinction between patients with and without concomitant problems is made. A patient with a concomitant problem was defined as a patient having an arterial insufficiency (with or without diabetes) or a patient being a smoker or a patient with lacking compression garment therapy. Based on this classification patients 1–4, 8, and 9 were regarded as being without concomitant problems, patients 5–7, and 10 as having concomitant problems (Table 1 [Tab. 1]).
Figure 10: Relative ulcer size over time in 10 patients being treated with wIRA
Left panel (A): patients with ulcers without concomitant problems; right panel (B): patients with ulcers with concomitant problems. The vertical line at day zero indicates the start (first day) of wIRA treatment. Patient 10 had 2 ulcers, one on each leg; ulcer on left leg (10L): first 13 treatments with control group radiator (VIS only), further treatments with fully active radiator (wIRA(+VIS)).
Figure 11: Patients’ degree of pain sensation in the wound over time in 10 patients being treated with wIRA
Left panels (A and C): patients with ulcers without concomitant problems; right panels (B and D): patients with ulcers with concomitant problems. The patients made their evaluations immediately prior to (top panels, A and B) and immediately after (bottom panels, C and D) wIRA treatment. Patient 10 had 2 ulcers (one on each leg, see Methods for details).
Figure 12: Amount of non-prescription pain relief tablets taken per patient during previous 24-hour period throughout the time course of wIRA treatment
Left panel (A): patients with ulcers without concomitant problems; right panel (B): patients with ulcers with concomitant problems. In patient 6 the results were most dramatic. Prior to the first treatment this patient was taking up to 15 pain relief tablets daily. During the treatment period the patient was able to reduce her intake to 0.
Figure 13: Effect of wIRA treatment over time in 10 patients being treated with wIRA
Left panels (A and C): patients with ulcers without concomitant problems; right panels (B and D): patients with ulcers with concomitant problems. The evaluations were made by both the patients (panels A and B) as well as the investigators performing the treatment (panels C and D). Patient 10 had 2 ulcers (one on each leg, see Methods for details).
Figure 14: Feeling in the wound area over time of 10 patients being treated with wIRA Left panel (A): patients with ulcers without concomitant problems; right panel (B): patients with ulcers with concomitant problems. The evaluation was made following the end of each treatment. Patient 10 had 2 ulcers (one on each leg, see Methods for details).
Figure 15: Wound healing over time in 7 ulcers of the patients treated with wIRA
Left panel (A): patients with ulcers without concomitant problems; right panel (B): patients with ulcers with concomitant problems. The evaluation was made following the end of each treatment. Patient 10 had 2 ulcers (one on each leg, see Methods for details).
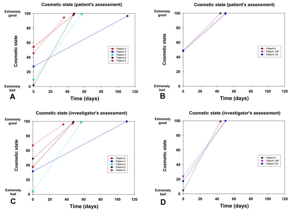
Figure 16: Cosmetic state prior to first wIRA treatment and after final wIRA treatment
Left panels (A and C): patients with ulcers without concomitant problems; right panels (B and D): patients with ulcers with concomitant problems. The evaluations were made by both the patients (panels A and B) as well as the investigators performing the treatment (panels C and D). The evaluations were made for 8 ulcers of the 10 treated patients.
Change in ulcer size with time (all patients)
The size of the ulcers in the 10 patients before the start and after completion of the course of therapy with wIRA is presented in Table 1 [Tab. 1], with the relative changes in percent. Patients without concomitant problems are presented in the left part of the table, patients with concomitant problems are presented in the right part. As mentioned above patient 10 had two ulcers, both of which were treated in a different form.
The time course of the relative ulcer size of all patients is shown in Figure 10 [Fig. 10]. At time zero all ulcers, irrespective of size, were assigned a value of 100% (standardization related to the size at the beginning). With the exception of patient 5, the size of the ulcers decreased. In 7 of 10 patients (8 of 11 ulcers) the ulcers were healed completely or nearly completely (96–100% reduction of size). Within the group of 6 patients without concomitant problems all 6 ulcers healed completely or nearly completely (96–100% reduction of size), while in the group of 4 patients with concomitant problems 1 of 5 ulcers healed completely (patient 10R), 3 others decreased markedly by 92% (patient 10L: this ulcer was treated in the first period only with the control group radiator), by 50% or by 42% respectively, and only 1 increased slightly by 8%.
Assessment of the degree of pain sensation (all patients)
The time course of the patients’ assessment of the degree of pain sensation associated with their ulcers is presented in Figure 11 [Fig. 11]. The evaluations were made immediately prior to each treatment and at about 10 minutes after the end of each treatment. Four of the patients (patients 1, 2, 9, and 10R) had little or no pain at all, either prior to or after wIRA treatment. In general – with the exception of patient 10L – pain levels in all patients decreased throughout their respective treatment periods, in some cases being completely abolished. This effect is more obvious in the group of patients without concomitant problems, which tend to show as well acute decreases of pain between before and after wIRA treatment (e.g. patient 3).
Assessment of pain relief medication (all patients)
The time course of pain relief medication is presented in Figure 12 [Fig. 12]. All patients without concomitant problems were taking little or no pain relief medication (0–3 tablets per day). For the patients taking pain relief medication the amount of tablets taken was reduced as the treatment progressed (e.g. from 15 to 0 tablets per day in patient 6), except in patient 5 (patient with lacking compression garment therapy), in which we were not able to improve the ulcer with wIRA treatment.
Assessment of the effect of wIRA treatment (all patients)
The time course of the assessed values of the effect of the wIRA treatment – assessed both by the patients and the clinical investigators – is presented in Figure 13 [Fig. 13]. The assessments both by the patients and by the clinical investigators clearly show how the treatment is regarded as being beneficial and improving rapidly throughout the respective treatment periods. Most impressive is, that all 6 patients without concomitant problems achieved within less than 40 days an assessment of approximately 100, indicating “extreme improvement”.
Assessment of the feeling in the ulcer area (all patients)
The time course of the assessed values of the feeling in the ulcer area is presented in Figure 14 [Fig. 14]. This evaluation was the most difficult for the patients to comprehend and it was hard for many of them to distinguish the assessment of the subjective feeling in the ulcer area from the assessment of pain. The time course of the assessment of the feeling in the ulcer area correlates with the assessment of the effect of the wIRA treatment (as shown in Figure 13 [Fig. 13]) and correlates inversely with the assessment of pain (as shown in Figure 11 [Fig. 11]). Similar to the assessment of the effect of the wIRA treatment (Figure 13 [Fig. 13]) is that all 6 patients without concomitant problems achieved within less than 40 days an assessment of approximately 100, which stands for “extremely pleasant”.
Assessment of the wound healing process by investigator (all patients)
The time course of the investigators’ assessment of the wound healing process in 7 ulcers of the 10 patients treated is presented in Figure 15 [Fig. 15], showing improvement (this variable was not assessed in the first 3 patients).
The results of Figure 11 [Fig. 11], Figure 13 [Fig. 13], Figure 14 [Fig. 14] and Figure 15 [Fig. 15] clearly show that both clinical investigators and the patients all regarded the progress of wound healing as improving with time.
Assessment of the cosmetic state (all patients)
The cosmetic state prior to first wIRA treatment and after final wIRA treatment – assessed both by the patients and the clinical investigators – is shown for 8 ulcers in Figure 16 [Fig. 16]. The impressive improvements between before and after the wIRA treatment period with all values after final wIRA treatment near 100, expressing “extremely good”, indicate satisfaction concerning the cosmetic result of the treatment.
Discussion
The aim of the present investigation was to study the effect of water-filtered infrared-A (wIRA) irradiation on recalcitrant chronic venous stasis ulcers of the lower legs including evaluation using infrared thermography.
Investigated were 10 variables of interest over time (with the main variable of interest “percent change of ulcer size over time” including complete wound closure) in 10 patients (median age 62 years, 5 males and 5 females) with, in total, 11 ulcers.
Within the group of 6 patients with chronic venous stasis ulcers of the lower legs without any concomitant problems (i.e. without arterial insufficiency, without being a smoker and without lacking compression garment therapy) a nearly complete healing success of their ulcers was achieved during the wIRA treatment period: all 6 ulcers healed completely or nearly completely (96–100% reduction of ulcer size) by the end of the investigation (end of observation time as limiting factor, as observation time was limited by practical reasons to less than 60 days in 9 of 10 patients). In all cases the leg ulcers in these 6 patients did not show signs of healing prior to wIRA treatment.
Within the group of 4 patients with concomitant problems 1 of 5 ulcers healed completely (patient 10R), 3 others decreased markedly by 92% (patient 10L; see next sentence), by 50% (patient 7) or by 42% (patient 6) respectively, and only 1 (patient 5) increased slightly by 8%.
In one patient (patient 10) a comparison between a control group radiator and a fully active radiator was possible to perform since the patient had an ulcer on each leg: the ulcer treated with wIRA healed completely, the other ulcer primarily treated with the control group radiator without wIRA became larger during the initial period with the control group radiator without wIRA and afterwards during wIRA treatment with the fully active radiator decreased markedly by 92%. This patient also had a mixed venous and arterial insufficiency and diabetes mellitus type II.
The other three not completely healing ulcers were those of patient 7 with an arterial insufficiency (retrospectively this patient did not fulfil the inclusion criteria), of patient 6 (a smoker, who did not stop smoking), and of patient 5 with a lacking compression garment therapy.
But even within the 4 non-healing ulcers (all ulcers of patients with concomitant problems), with one exception (patient 5) the wIRA treatment reduced the size of the ulcers considerably.
Concerning the main variable of interest “percent change of ulcer size over the time” and especially wound healing, wIRA was successful in all 6 patients without concomitant problems, all of them having recalcitrant ulcers prior to wIRA treatment, while all 4 failures of a complete healing were explainable by arterial insufficiency, smoking or lacking compression garment therapy. Especially the only ulcer which increased slightly in size during the treatment period with wIRA had the severe concomitant problem of lacking compression garment therapy (patient 5, more details are available in Attachment 5 [Att. 5]). These findings indicate, that wIRA does not replace other sensible/necessary therapeutic procedures (such as compression garment therapy [32], [33], [34]) or stop smoking and that wIRA cannot overcome a severe arterial insufficiency. But wIRA can add a positive factor to a treatment scheme and can complement it [14], [18], [19], [31]. This includes the possibility to heal an ulcer first by wIRA in order to be able to perform afterwards a surgical intervention of varicose veins – if they appear to be the cause of the ulcer – with reduced infection risk, as the ulcer is healed and the surgical intervention is performed at a time with intact skin without infection. Correspondingly the therapy with wIRA has to be embedded in an overall therapeutic concept [14], [18], [19], [31].
Thus, in this study 7 out of 11 recalcitrant ulcers were healed and three others reduced in size with an improvement of quality of life.
In our patients it seemed that those with symptoms and signs of a peripheral arterial obstructive disease, be it diabetic or non-diabetic, healed much slower than patients with uncomplicated venous stasis ulcers and varicose veins, which is easily explained, as the limited arterial blood flow is the limiting factor (e.g. concerning oxygen supply) even under wIRA therapy. Also, patients with previous deep vein thrombophlebitis healed slower than those without.
Patient 1, presented in the “results section” above including Figure 9 [Fig. 9] (more details are available in Attachment 1 [Att. 1]), is a good example of a successful treatment. This patient healed well during wIRA treatment, had neither peripheral arterial obstructive disease nor deep vein insufficiency, after complete healing of the ulcer the patient underwent surgical intervention for varicose veins and was cured.
Patient 7 was less fortunate. This patient suffered suboptimal tissue oxygenation due to peripheral arterial obstructive disease and varicose veins, was not cured and did not undergo surgical intervention (more details are available in Attachment 7 [Att. 7]).
As some previous reports presented results which indicated that water-filtered infrared-A irradiation (wIRA) may be beneficial in the treatment of chronic venous stasis ulcers of the lower legs [11], [12], the original aim of this study was to perform a more extensive double-blind study in order to confirm these previous findings. The idea was to treat patients who had chronic venous stasis ulcers of the lower legs with either a normal (fully active) radiator or with a control group radiator without wIRA. Such a study is only possible if an adequate number of volunteer subjects can be recruited, which, as explained in the methods section, was not possible in this study.
Although it was not possible to conduct the study in the planned controlled double-blind form, but taking the results of other wound healing related studies with wIRA into account (including those of prospective, randomised, controlled, double-blind studies, see explanations below), it is unlikely, that the results of this study have to be explained as placebo effects, but can be interpreted with caution to be valid results being completely in line with other findings.
Further positive aspects of this study are that the majority of patients made positive evaluations (with visual analogue scales) concerning the effects of the treatment. The patient’s assessment of the degree of pain, both prior to and after treatment, as well as the consumption of non-prescription pain relief medication, as shown in Figure 11 [Fig. 11] and Figure 12 [Fig. 12], clearly showed that the treatment process was beneficial. Pain relief was clearly evident and consumption of pain relief medication was reduced quite dramatically in several of the patients (e.g. from 15 to 0 tablets per day). The evaluation of the effect of treatment, both by the patients as well as by the investigators (Figure 13 [Fig. 13]), as well as the patient’s rating of feeling in the wound area (Figure 14 [Fig. 14]) also clearly indicate a positive effect of the treatment procedure.
The large temperature differences (up to approximately 4.5°C, patient 10, details are available in Attachment 10 [Att. 10]) between relatively hypothermic (and hypoxic) ulcer bases and hyperthermic ulcer rims or between an even absolutely hypothermic ulcer base (only 29.2°C, approximately 4°C less than the surrounding skin) and the surrounding skin without markedly hyperthermic ulcer rim (details presented in Attachment 6 [Att. 6]) are worth mentioning. These large temperature differences decreased very much or vanished during the wIRA treatment period until healing (see section “Value of quantitative thermography” below).
How can the beneficial effects of wIRA be explained?
Working mechanisms of wIRA
wIRA acts both by thermal effects and by non-thermal effects [18], [19], [20], [35], [36].
Thermal effects are the generation of a therapeutically usable field of heat and these thermal effects have important energetic aspects (explained below).
Thermal effects of wIRA and production of a therapeutically usable field of heat
wIRA produces a therapeutically usable field of heat in the tissue by good depth penetration of this radiation into the tissue, by reaching capillaries near the surface and by transport of heat by blood flow into deeper layers, by increasing capillary bloodflow near the surface of the skin with expansion of the blood flow areas accessible to the radiation and by this augmenting the afore mentioned mechanism, by heat conduction to deeper lying tissue, and by increased energy production (metabolism) of tissue caused by increased temperature (in accordance with the reaction velocity temperature rule a 3°C increase means approximately 30% more secondary energy release in the tissue) [18], [19], [20].
Non-thermal effects of wIRA
In addition to the thermal effects, infrared A, even with very small irradiation intensity and in the unfiltered form, is able to stimulate cells and evoke a cascade of reactions [20]: Effects on cells and cellular structures with reactions of the cells are described for infrared-A, e.g. target oriented growth of surface extensions (plasmodia) [37], influencing of the cytochrome c oxidase [38], [39], [40], target oriented growth of neurons [41], stimulation of wound repair [42], [43] as well as cell protective effects of infrared-A [44], [45], [46], [47] and of water-filtered infrared-A (wIRA) [48], [49], [50]. For wIRA in therapeutic irradiation intensities and doses it could not only be shown that it is harmless for human skin [49], [51], but that it has cell protective effects against the damages caused by UV radiation [48], [49], [50]. Safety aspects of the clinical use of wIRA are discussed in detail in [51] and [19]. In addition, wavelengths within wIRA have been shown to influence adhesive interactions between cells and extracellular matrices [39], playing a regulative role in wound repair processes, and may have a positive effect on cosmetic results [30]. It is also supposed that wIRA has immunomodulatory effects [18], [19], [20].
Concerning both thermal and non-thermal effects of wIRA the mediation by pathways like nitric oxide in vasodilatation or by cytokines or neurotropines should also be taken into account.
Within the spectra of infrared-A and water-filtered infrared-A radiation effects especially of the energy-rich wavelengths near to visible light – approximately 780–1000 nm (800–900 nm [37], [52], [53], 800 nm [41], 820 nm [39], [54], [55], 830 nm [56]) – have been described both in vitro and in vivo, and these wavelengths seem to represent the clinically most important part within infrared-A and wIRA [18], [19], [51].
Fundamental energetic aspects of wound healing and oxygen
Wound healing and infection defence represent highly energy consuming processes – an aspect (and its consequences), which, while explicit, is rarely mentioned [18], [19], [30].
Wound healing and infection defence (e.g. granulocyte function including antibacterial oxygen radical formation of the granulocytes) depend on a sufficient energy supply (and on oxygen). In the long run energy must mostly be provided aerobically. Oxygen in this respect plays a double role in the wound healing process: as an agent in the energy production and also as a substrate for the oxygen radical formation of the granulocytes [18], [19]. Energy provision and wound healing therefore depend on the integrity of the three following factors [18], [19], [30]:
- tissue temperature,
- tissue oxygen partial pressure and
- tissue blood flow.
Even if only one of these factors is lying clearly in the pathological area this may disturb energy production and wound healing or even prevent healing [18], [19], [30]:
- Below 28°C no wound healing is possible (too slow metabolism in accordance with the reaction velocity temperature rule) [18], [19], [57].
- Without a sufficient oxygen partial pressure no aerobic energy production (and no granulocyte function) is possible (the centres of chronic wounds frequently have an oxygen partial pressure near zero and a relative hypothermia [11], [18], [19], [30], [58], [59], [60], [61], [62], [63], [64], [65], [66], [67]).
- A sufficient tissue blood flow (including capillary blood flow) is required for the transport of high-energy substrates to the tissue and for the removal of metabolic waste products [18], [19].
Energetic aspects of wound healing and oxygen during wIRA
The cellular energy provision per time is increased considerably by wIRA by increase of three factors, where the effects of wIRA on these three factors have been proven by different working groups by means of different methods [18], [19]:
- tissue temperature (proved in humans by means of a direct measuring of the tissue temperature with stick probes [68], [69], [70] as well as with implanted probes (in 2 cm of tissue depth in operation wounds) [30] and thermographically [27], [71] as well as in addition in animal experiments with stick probes up to 7 cm of tissue depth [72])
- oxygen partial pressure in the tissue (proved in humans by means of a direct oxygen partial pressure measurement in the tissue with implanted probes in operation wounds [30] as well as by means of measuring of the oxygen saturation of the hemoglobin with an external white light-measuring probe [73])
- tissue blood flow / capillary blood flow (proved in humans by means of blood flow measurement with laser Doppler perfusion imaging (= scanning laser Doppler imaging) [27], [71], [74] and by means of blood flow measurement at two depths with an external laser Doppler-measuring probe [73] as well as in animal experiments by means of colour microsphere technique up to 7 cm of tissue depth [72])
In comparison to this, Hyperbaric Oxygenation (HBO) [11], [61], [62] primarily increases only one factor, the oxygen partial pressure in the tissue.
Possible other effects of wIRA
An irradiation with visible light (VIS) and water-filtered infrared-A (wIRA) without topically applied substance can be supposed to act with endogeneous protoporphyrin IX in what appears to be a similar manner to a mild photodynamic therapy PDT (endogenous PDT-like effect) [14], [18]. This may improve cell regeneration and by this wound healing and decrease wound infections with perhaps anti-bacterial effects [75].
Improvement of penetration and resorption of topically applied substances
Some studies [76], [77], [78] have shown improvement of penetration and resorption of topically applied substances by wIRA: this can be used in wound healing to improve the effects of topically administered wound creams.
Clinical use and advantages of wIRA
wIRA is a contact-free, easily used procedure without consumption of material and with a good depth effect, which is similar to solar heat radiation on the earth in moderate climatic zones. wIRA can be used independently from therapy preferences concerning wound management (e.g. moist wound management) [14], [18], [19], [31]. Typically for wIRA irradiation the wound has to be uncovered, as most bandages or wound dressings (with the exception of e.g. some tested transparent foils) are not adequately permeable for wIRA [18], [19]. The irradiation distance should be at least as indicated by the distance rod of the wIRA radiator [19]. In routine clinical practice often markedly larger irradiation distances than the minimum distance are used [51].
wIRA can considerably alleviate the pain and diminish an elevated wound exudation and inflammation and can show positive immunomodulatory effects [19]. The aspect of pain reduction with remarkably less need for analgesics (or the anti-pruritic effect in morphaea [79], [80]), seen in all kinds of indications, e.g. in verrucae [20], herpes, wounds [12], [30], scleroderma [81], and by different working groups, should be emphasized as an important clinical effect of wIRA. Nowadays great importance is placed on the reduction or avoidance of pain in order to improve the wound healing and to avoid the formation of a pain memory with chronification of the pain [82], [83]. Pain relief by wIRA is explained both by thermal and non-thermal effects: increased perfusion allows better elimination of accumulated metabolites, such as pain mediators, lactic acid and bacterial toxins, and increases metabolism; non-thermal effects include direct effects on cells and possibly on nociceptors [30], [31], [84]. Pain reduction by wIRA leads to a reduced required dose of analgesics [30], [31]. Pain reduction by wIRA may support its vasodilatory effect and may decrease the risk of wound infection, as adequate control of postoperative pain increases oxygen partial pressure and decreases by this the risk of infection markedly [30], [31], [85], [86]. An increased oxygen partial pressure can influence positively the concentration and receptor density of vascular endothelial growth factor (VEGF) in the wound, resulting in accelerated healing by increased blood vessel growth [30], [31], [87].
Previous clinical studies with wIRA concerning wound healing
A prospective, randomised, controlled, double-blind study with 111 patients of a surgical university hospital showed, after abdominal surgery, with 20 minutes irradiation twice a day a significant and relevant pain reduction combined with a decreased consumption of analgesics, an improved wound healing, in 2 cm of tissue depth an increase of the tissue temperature of approximately 2.7°C and of the oxygen partial pressure of approximately 30% as well as a trend to a lower rate of wound healing disturbances and infections (wIRA(+VIS) vs. VIS) [18], [30], [31], [35], [36], [84], [88].
Another prospective, randomised, controlled, double-blind study with 45 severely burned children showed a markedly faster reduction of wound size: a median reduction of wound size of 50% was reached already after 7 days compared to 9 days in the control group, a median reduction of wound size of 90% was already achieved after 9 days compared to 13 days in the control group. In addition the group with wIRA showed superior results until 3 months after the burn in terms of the overall surgical assessment of the wound, cosmesis, and assessment of effects of irradiation compared to the control group (wIRA(+VIS) vs. VIS) [18], [31], [35], [36], [84], [88], [89].
In the rehabilitation after hip/knee endoprosthesis operations wIRA showed sonographically a faster resorption of wound seroma and hematoma and clinically a pain reduction [31], [90].
A prospective, randomised, controlled study with 40 patients with chronic venous stasis ulcers of the lower legs showed, with additional 30-minute periods of irradiation three times a week with wIRA(+VIS) during a maximum of 6 weeks, a significantly and relevantly more rapid wound healing (18 vs. 42 days until complete wound closure) as well as a significantly and relevantly lower consumption of analgesics in comparison to a control group with identical treatment but without irradiation [12], [14], [18], [19], [35], [36], [84], [88].
Additional experiences in hospitals as well as in the ambulatory field concerning venous and partly as well mixed arterio-venous ulcers of the lower legs and pressure sores are in accordance with the mentioned results [35], described more detailed and with examples in [14], [18].
Interpretation of the results of the presented study
Taking all these results into account (including those of prospective, randomised, controlled, double-blind studies) it is unlikely, even though it was not possible to conduct the study in the planned controlled double-blind form, that the results of this study have to be explained as placebo effects, but can be cautiously interpreted as valid results being in line with other findings.
Value of quantitative thermography
This study shows the value of quantitative thermography using a modern digital infrared (IR) camera with high resolution and high quality image analysis software. The high temporal and spatial resolution and accuracy are important for the diagnosis of hot spots and cool skin areas, enabling the camera to identify insufficient perforating veins and non-visible varicose veins. Thus, infrared thermal imaging proved useful as a means of monitoring the irradiation process with the wIRA radiator. From the video sequences a clear indication as to the extent of the degree of skin heating during treatment could be made. In the larger, deeper ulcers there was a characteristic warm area along the ulcer rim, which is presumably due to inflammatory effects and/or increased blood flow of the tissue in this area. The tissue temperature within the centre of the ulcer was always cooler than that of the surrounding walls (up to 4.5°C temperature difference) and in some patients even absolutely hypothermic (e.g. 29.2°C). In some patients this may have been partly due to evaporative processes in this wet tissue, particularly prior to the treatment. However, in most cases the centre of the ulcers tended to dry up during the treatment process with the active wIRA radiators yet the tissue temperature within the centre of the ulcer still remained lower than on the rim of the ulcer. This is in accordance with the fact, that the ulcer base is typically extremely hypoxic (oxygen partial pressure near zero) and therefore poor in energy and with a very slow metabolism and therefore low in temperature [11], [14], [18], [19], [30], [58], [59], [64]. As the ulcers healed and granulation tissue began to cover the ‘base’ of an ulcer the degree of inflammatory effects and/or increased blood flow surrounding the ulcers became less pronounced. In those ulcers which completely healed, the skin surface temperature differences between the site of the original ulcer and the surrounding tissue had vanished.
Conclusions
wIRA can decrease pain considerably (with an impressive decrease of the consumption of analgesics) and accelerate the wound healing or improve or even enable a stagnating wound healing process and diminish an elevated wound exudation and inflammation both in acute and in chronic wounds (in this study shown in chronic venous stasis ulcers of the lower legs) and in problem wounds including infected wounds. In chronic recalcitrant wounds complete healings can be achieved. Other studies showed a positive influence (e.g. pain reduction) on the acute wound healing even without a disturbance of wound healing. wIRA is a contact-free, easily used and pleasantly felt procedure without consumption of material and with a good effect in the depth, which is similar to solar radiation on the surface of the earth in moderate climatic zones. The irradiation of the typically uncovered wound is carried out with a wIRA radiator.
wIRA can be recommended to be used to improve wound healing, to reduce pain, exudation, and inflammation, and to increase quality of life.
Notes
Acknowledgements
The authors wish to thank the Dr. med. h.c. Erwin Braun Stiftung, Basel/Switzerland, for supporting the study with a research grant.
We wish to thank Nurse Kim Drachmann, Department of Clinical Physiology, Hillerød Hospital, for her invaluable assistance and her professional skills.
Conflicts of interest
None declared.
References
[1] Sarkar PK, Ballantyne S. Management of leg ulcers. Postgrad Med J. 2000;76:674-82. DOI: 10.1136/pmj.76.901.674[2] Jaschke E, Zabernigg A, Gattringer C. Recombinant human granulocyte-macrophage colony-stimulating factor applied locally in low doses enhances healing and prevents recurrence of chronic venous ulcers. Int J Dermatol. 1999;38:380-6.
[3] Skin Substitute Consensus Development Panel. Nonoperative management of venous leg ulcers: Evolving role of skin substitutes. Vasc Surg. 1999;33:197-210. DOI: 10.1177/153857449903300217
[4] Krieg T, Ferguson M. Key session: Growth factors: From bench to bedside I. Z Wundheilung - J Wound Healing. 2005;special issue 2:64.
[5] Tallman P, Muscare E, Carson P, Eaglstein WH, Falanga V. Initial rate of healing predicts complete healing of venous ulcers. Arch Dermatol. 1997;133:1231-4.
[6] Flemming KA, Cullum NA, Nelson EA. A systematic review of laser therapy for venous leg ulcers. J. Wound Care. 1999;8(3):111-4.
[7] Flemming K, Cullum N. Laser therapy for venous leg ulcers. Cochrane Database Syst Rev. 1999;CD001182. DOI: 10.1002/14651858.CD001182
[8] Kanno Y, Kihira C, Taniguchi Y, Shimizu M. Effect of near infrared therapy for leg ulcers. Skin Res. 1994;36(3):354-9.
[9] Gupta AK, Filonenko N, Salansky N, Sauder DN. The use of low energy photon therapy (LEPT) in venous leg ulcers: a double-blind, placebo-controlled study. Dermatol Surg. 1998;24:1383-6.
[10] Vaupel P, Krüger W, eds. Wärmetherapie mit wassergefilterter Infrarot-A-Strahlung. Grundlagen und Anwendungsmöglichkeiten [Thermal therapy with water-filtered infrared-A radiation. The fundamentals and applications]. 2nd ed. Stuttgart: Hippokrates; 1995.
[11] Hoffmann G. Improvement of wound healing in chronic ulcers by hyperbaric oxygenation and by waterfiltered ultrared A induced localized hyperthermia. Adv Exp Med Biol. 1994;345:181-8.
[12] Biland L, Barras J. Die wassergefilterte Infrarot-A-Hyperthermie zur Behandlung venöser Ulcera [Water-filtered infrared-A induced hyperthermia used as therapy of venous ulcers]. Hefte Wundbehand. 2001;5:41.
[13] Staudt R, Ippen H. Erfahrungen mit einem neuartigen Infra-Rot-Strahler - eine Entwicklung des Erwin Braun Institutes, Basel [Experiences with a new infrared radiator - a development of the Erwin Braun Institute, Basel]. Geriatrie und Rehabilitation. 1989;2:71-3.
[14] von Felbert V, Schumann H, Mercer JB, Strasser W, Daeschlein G, Hoffmann G. Therapy of chronic wounds with water-filtered infrared-A (wIRA) [review]. GMS Krankenhaushyg Interdiszip. 2007;2(2):Doc52. Online available from: http://www.egms.de/pdf/journals/dgkh/2008-2/dgkh000085.pdf (PDF) and http://www.egms.de/en/journals/dgkh/2008-2/dgkh000085.shtml (shtml).
[15] Melling AC, Ali B, Scott EM, Leaper DJ. Effects of preoperative warming on the incidence of wound infection after clean surgery: a randomised controlled trial. Lancet. 2001;358:876-80. DOI: 10.1016/S0140-6736(01)06071-8
[16] Plattner O, Akca O, Herbst F, Arkilic CF, Függer R, Barlan M, Kurz A, Hopf H, Werba A, Sessler DI. The influence of 2 surgical bandage systems on wound tissue oxygen tension. Arch Surg. 2000;135:818-22. DOI: 10.1001/archsurg.135.7.818
[17] Rzeznik J. Die Technik zur loko-regionalen Wärmetherapie mit wassergefilterter Infrarot-A-Strahlung [The technique of loco-regional thermal therapy with water-filtered infrared-A radiation]. In: Vaupel P, Krüger W, eds. Wärmetherapie mit wassergefilterter Infrarot-A-Strahlung. Grundlagen und Anwendungsmöglichkeiten [Thermal therapy with water-filtered infrared-A radiation. The fundamentals and applications]. 2nd ed. Stuttgart: Hippokrates; 1995. p. 29-46.
[18] Hoffmann G. Wassergefiltertes Infrarot A (wIRA) zur Verbesserung der Wundheilung [Übersichtsarbeit] [Water-filtered infrared A (wIRA) for the improvement of wound healing] [review]. GMS Krankenhaushyg Interdiszip. 2006;1(1):Doc20. Online available from: http://www.egms.de/pdf/journals/dgkh/2006-1/dgkh000020.pdf (PDF) and http://www.egms.de/en/journals/dgkh/2006-1/dgkh000020.shtml (shtml).
[19] Hoffmann G. Principles and working mechanisms of water-filtered infrared-A (wIRA) in relation to wound healing [review]. GMS Krankenhaushyg Interdiszip. 2007;2(2):Doc54. Online available from: http://www.egms.de/pdf/journals/dgkh/2007-2/dgkh000087.pdf (PDF) and http://www.egms.de/en/journals/dgkh/2007-2/dgkh000087.shtml (shtml).
[20] Fuchs SM, Fluhr JW, Bankova L, Tittelbach J, Hoffmann G, Elsner P. Photodynamic therapy (PDT) and waterfiltered infrared A (wIRA) in patients with recalcitrant common hand and foot warts. Ger Med Sci. 2004;2:Doc08. Online available from: http://www.egms.de/pdf/gms/2004-2/000018.pdf (PDF) and http://www.egms.de/en/gms/2004-2/000018.shtml (shtml).
[21] Cobarg CC. Physikalische Grundlagen der wassergefilterten Infrarot-A-Strahlung [Principles of the physical properties of water-filtered infrared-A radiation]. In: Vaupel P, Krüger W, eds. Wärmetherapie mit wassergefilterter Infrarot-A-Strahlung. Grundlagen und Anwendungsmöglichkeiten [Thermal therapy with water-filtered infrared-A radiation. The fundamentals and applications]. 2nd ed. Stuttgart: Hippokrates; 1995. p. 19-28.
[22] Diakides NA. The growing applications of medical infrared imaging. IEEE Eng Med Biol Mag. 2000;19:28-9. DOI: 10.1109/MEMB.2000.844377
[23] Ohashi Y, Uchida I. Applying dynamic thermography in the diagnosis of breast cancer. IEEE Eng Med Biol Mag. 2000;19:42-51. DOI: 10.1109/51.844379
[24] Rasmussen L, Mercer JB. A comparison of the thermal responses in hands and feet of young and elderly subjects in response to local cooling as determined by infrared imaging. Thermology Int. 2004;14:71-76.
[25] Ammer K, Ring EFJ, eds. The thermal image in medicine and biology. Wien: Uhlen-Verlag, 1995.
[26] Cockburn W. What is clinical thermography. 2000. Online available from: http://www.iact-org.org/what_is_thermography.html
[27] Mercer JB, de Weerd L. The effect of water-filtered infrared-A (wIRA) irradiation on skin temperature and skin blood flow as evaluated by infrared thermography and scanning laser Doppler imaging. Thermology Int. 2005;15(3):89-94.
[28] Collins SL, Moore RA, McQuay HJ. The visual analogue pain intensity scale: what is moderate pain in millimetres? Pain. 1997;72:95-7. DOI: 10.1016/S0304-3959(97)00005-5
[29] Maxwell C. Sensitivity and accuracy of the visual analogue scale: a psycho-physical classroom experiment. Br J Clin Pharmacol. 1978;6:15-24.
[30] Hartel M, Hoffmann G, Wente MN, Martignoni ME, Büchler MW, Friess H. Randomized clinical trial of the influence of local water-filtered infrared A irradiation on wound healing after abdominal surgery. Br J Surg. 2006;93:952-60. DOI: 10.1002/bjs.5429
[31] Hartel M, Illing P, Mercer JB, Lademann J, Daeschlein G, Hoffmann G. Therapy of acute wounds with water-filtered infrared-A (wIRA) [review]. GMS Krankenhaushyg Interdiszip. 2007;2(2):Doc53. Online available from: http://www.egms.de/pdf/journals/dgkh/2007-2/dgkh000086.pdf (PDF) and http://www.egms.de/en/journals/dgkh/2007-2/dgkh000086.shtml (shtml).
[32] Thomas S. Compression bandaging in the treatment of venous leg ulcers. World Wide Wounds. First publication 1997, last modification 1998. Online available from: http://www.worldwidewounds.com/1997/september/Thomas-Bandaging/bandage-paper.html
[33] Johnson S. Compression hosiery in the prevention and treatment of venous leg ulcers. World Wide Wounds 2002. Online available from: http://www.worldwidewounds.com/2002/september/Johnson/Compression-Hosiery-Leg-Ulcers.html
[34] Thomas S, Fram P, Phillips P. The importance of compression on dressing performance. World Wide Wounds 2007. Online available from: http://www.worldwidewounds.com/2007/November/Thomas-Fram-Phillips/Thomas-Fram-Phillips-Compression-WRAP.html
[35] Hoffmann G. Water-filtered infrared A (wIRA) for the improvement of wound healing in acute and chronic wounds. Wassergefiltertes Infrarot A (wIRA) zur Verbesserung der Wundheilung bei akuten und chronischen Wunden. Z Wundheilung - J Wound Healing. 2005;special issue 2:130.
[36] Hoffmann G. Wassergefiltertes Infrarot A (wIRA) zur Verbesserung der Wundheilung bei akuten und chronischen Wunden [Water-filtered infrared-A (wIRA) for the improvement of wound healing of acute and chronic wounds]. MedReport. 2005;29(34):4. Online available from: http://www.medreports.de/medpdf05/mreport34_05.pdf
[37] Albrecht-Buehler G. Surface extensions of 3T3 cells towards distant infrared light sources. J Cell Biol. 1991;114:493-502. DOI: 10.1083/jcb.114.3.493
[38] Karu T. Primary and secondary mechanisms of action of visible to near-IR radiation on cells. J Photochem Photobiol B. 1999;49:1-17. DOI: 10.1016/S1011-1344(98)00219-X
[39] Karu TI, Pyatibrat LV, Kalendo GS. Cell attachment to extracellular matrices is modulated by pulsed radiation at 820 nm and chemicals that modify the activity of enzymes in the plasma membrane. Lasers Surg Med. 2001;29:274-81. DOI: 10.1002/lsm.1119
[40] Karu TI. Low-power laser effects. In: Waynant RW, editor. Lasers in medicine. Boca Raton: CRC Press, 2002. p. 171-209.
[41] Ehrlicher A, Betz T, Stuhrmann B, Koch D, Milner V, Raizen MG, Kas J. Guiding neuronal growth with light. Proc Natl Acad Sci U S A. 2002;99:16024-8. DOI: 10.1073/pnas.252631899
[42] Danno K, Mori N, Toda K, Kobayashi T, Utani A. Near-infrared irradiation stimulates cutaneous wound repair: laboratory experiments on possible mechanisms. Photodermatol Photoimmunol Photomed. 2001;17:261-5.
[43] Horwitz LR, Burke TJ, Carnegie D. Augmentation of wound healing using monochromatic infrared energy. Exploration of a new technology for wound management. Adv Wound Care. 1999;12:35-40.
[44] Menezes S, Coulomb B, Lebreton C, Dubertret L. Non-coherent near infrared radiation protects normal human dermal fibroblasts from solar ultraviolet toxicity. J Invest Dermatol. 1998;111(4):629-33. DOI: 10.1046/j.1523-1747.1998.00338.x
[45] Frank S, Menezes S, Lebreton-De Coster C, Oster M, Dubertret L, Coulomb B. Infrared radiation induces the p53 signaling pathway: role in infrared prevention of ultraviolet B toxicity. Exp Dermatol. 2006;15:130-7. DOI: 10.1111/j.1600-0625.2005.00397.x
[46] Frank S, Oliver L, Lebreton-De Coster C, Moreau C, Lecabellec MT, Michel L, Vallette FM, Dubertret L, Coulomb B. Infrared radiation affects the mitochondrial pathway of apoptosis in human fibroblasts. J Invest Dermatol. 2004;123:823-31. DOI: 10.1111/j.0022-202X.2004.23472.x
[47] Danno K, Horio T, Imamura S. Infrared radiation suppresses ultraviolet B-induced sunburn-cell formation. Arch Dermatol Res. 1992;284:92-4. DOI: 10.1007/BF00373376
[48] Applegate LA, Scaletta C, Panizzon R, Frenk E, Hohlfeld P, Schwarzkopf S. Induction of the putative protective protein ferritin by infrared radiation: implications in skin repair. Int J Mol Med. 2000;5:247-51.
[49] Burri N, Gebbers N, Applegate LA. Chronic infrared-A radiation repair: Implications in cellular senescence and extracellular matrix. In: Pandalai SG, ed. Recent Research Developments in Photochemistry & Photobiology, vol. 7. Trivandrum: Transworld Research Network; 2004. p. 219-31.
[50] Hoffmann G, Meffert H. Letter to the Editor: Apparent contradiction between negative effects of UV radiation and positive effects of sun exposure. GMS Ger Med Sci. 2005;3:Doc01. Online available from: http://www.egms.de/pdf/gms/2005-3/000019.pdf (PDF) and http://www.egms.de/en/gms/2005-3/000019.shtml (shtml).
[51] Gebbers N, Hirt-Burri N, Scaletta C, Hoffmann G, Applegate LA. Water-filtered infrared-A radiation (wIRA) is not implicated in cellular degeneration of human skin. GMS Ger Med Sci. 2007;5:Doc08. Online available from: http://www.egms.de/pdf/gms/2007-5/000044.pdf (PDF) and http://www.egms.de/en/gms/2007-5/000044.shtml (shtml).
[52] Albrecht-Buehler G. Cellular infrared detector appears to be contained in the centrosome. Cell Motil Cytoskeleton. 1994;27:262-71. DOI: 10.1002/cm.970270307
[53] Albrecht-Buehler G. A long-range attraction between aggregating 3T3 cells mediated by near-infrared light scattering. Proc Natl Acad Sci U S A. 2005;102:5050-5. DOI: 10.1073/pnas.0407763102
[54] Karu TI, Pyatibrat LV, Kalendo GS. Donors of NO and pulsed radiation at lambda = 820 nm exert effects on cell attachment to extracellular matrices. Toxicol Lett. 2001;121:57-61. DOI: 10.1016/S0378-4274(01)00315-0
[55] Karu TI, Pyatibrat LV, Kalendo GS. Cell attachment modulation by radiation from a pulsed light diode (lambda = 820 nm) and various chemicals. Lasers Surg Med. 2001;28:227-36. DOI: 10.1002/lsm.1043
[56] Chow RT, Heller GZ, Barnsley L. The effect of 300 mW, 830 nm laser on chronic neck pain: a double-blind, randomized, placebo-controlled study. Pain. 2006;124:201-10. DOI: 10.1016/j.pain.2006.05.018
[57] Hartel W. Personal communication. 2001.
[58] Kivisaari J, Vihersaari T, Renvall S, Niinikoski J. Energy metabolism of experimental wounds at various oxygen environments. Ann Surg. 1975;181:823-8. DOI: 10.1097/00000658-197506000-00011
[59] Kühne HH, Ullmann U, Kühne FW. New aspects on the pathophysiology of wound infection and wound healing - the problem of lowered oxygen pressure in the tissue. Infection. 1985;13:52-6. DOI: 10.1007/BF01660413
[60] Niinikoski J, Gottrup F, Hunt TK. The role of oxygen in wound repair. In: Janssen H, Rooman R, Robertson JIS, eds. Petersfield: Wrightson Biomedical Publishing; 1991.
[61] Buslau M, Hoffmann G. Hyperbaric oxygenation in the treatment of skin diseases [review]. In: Fuchs J, Packer L, eds. Oxidative stress in dermatology. New York: Marcel Dekker; 1993. p. 457-85.
[62] Buslau M, Hoffmann G. Die hyperbare Oxygenation (HBO) - eine adjuvante Therapie akuter und chronischer Wundheilungsstörungen [Review] [Hyperbaric oxygenation - an adjuvant therapy of acute and chronic wound healing impairments]. Dermatol Monatsschr. 1993;179:39-54.
[63] Hoffmann G, Buslau M. Treatment of skin diseases by hyperbaric oxygenation. In: Cramer FS, ed. Proceedings of the Eleventh International Congress on Hyperbaric Medicine. Flaggstaff, USA: Best Publishing Company; 1995. p. 20-1, 153-9.
[64] Knighton DR, Silver IA, Hunt TK. Regulation of wound-healing angiogenesis – effect of oxygen gradients and inspired oxygen concentration. Surgery. 1981;90:262-70.
[65] Barnikol WKR, Teslenko A, Pötzschke H. Eine neue topische Behandlung chronischer Wunden mit Haemoglobin und Sauerstoff: Verfahren und erste Ergebnisse. A new topic treatment of chronic wounds with haemoglobin and oxygen: procedere and first results. Z Wundheilung - J Wound Healing. 2005;10(3):98-108.
[66] Jünger M, Hahn M, Klyscz T, Steins A. Role of microangiopathy in the development of venous leg ulcers. (Progr. Appl. Microc.; Vol. 23.). Basel: Karger; 1999. p. 180-93.
[67] Wright J. Hyperbaric oxygen therapy for wound healing. World Wide Wounds 2001. Online available from: http://www.worldwidewounds.com/2001/april/Wright/HyperbaricOxygen.html
[68] Vaupel P, Stofft E. Wassergefilterte Infrarot-A-Strahlung im Vergleich zu konventioneller Infrarotstrahlung oder Fango-Paraffin-Packungen: Temperaturprofile bei lokaler Wärmetherapie [Water-filtered infrared-A radiation in comparison to conventional infrared-A radiation or fango paraffine packages: temperature profiles in local thermal therapy]. In: Vaupel P, Krüger W, eds. Wärmetherapie mit wassergefilterter Infrarot-A-Strahlung. Grundlagen und Anwendungsmöglichkeiten [Thermal therapy with water-filtered infrared-A radiation. The fundamentals and applications]. 2nd ed. Stuttgart: Hippokrates; 1995. p. 135-47.
[69] Vaupel P, Rzeznik J, Stofft E. Wassergefilterte Infrarot-A-Strahlung versus konventionelle Infrarotstrahlung: Temperaturprofile bei lokoregionaler Wärmetherapie [Water-filtered infrared-A radiation versus conventional infrared-A radiation: temperature profiles in local thermal therapy]. Phys Med Rehabilitationsmed Kurortmed. 1995;5:77-81.
[70] Stofft E, Vaupel P. Wassergefilterte Infrarot-A-Strahlung versus Fango-Paraffin-Packung: Temperaturprofile bei lokoregionaler Wärmetherapie [Water-filtered infrared-A radiation versus fango paraffine packages: temperature profiles in local thermal therapy]. Phys Med Rehabilitationsmed Kurortmed. 1996;6:7-11.
[71] Pascoe DD, Mercer JB, de Weerd L. Physiology of thermal signals. In: Biomedical Engineering Handbook. 3rd edition. Boca Raton (Florida/USA): Tailor and Francis Group, CRC press; 2006. p. 21-1 - 21-20.
[72] Hellige G, Becker G, Hahn G. Temperaturverteilung und Eindringtiefe wassergefilterter Infrarot-A-Strahlung [Temperature distribution and penetration depth of water-filtered infrared-A radiation]. In: Vaupel P, Krüger W, eds. Wärmetherapie mit wassergefilterter Infrarot-A-Strahlung. Grundlagen und Anwendungsmöglichkeiten [Thermal therapy with water-filtered infrared-A radiation. The fundamentals and applications]. 2nd ed. Stuttgart: Hippokrates; 1995. p. 63-79.
[73] Schumann H, Schempp CM. wIRA in der Wundtherapie - Erste Erfahrungen in der Anwendung bei chronischen Wunden in der Universitäts-Hautklinik Freiburg [wIRA in wound therapy - first experiences in the application in chronic wounds in the Department of Dermatology of the University Hospital Freiburg]. Lecture presented at the symposium entitled "Water-filtered infrared-A (wIRA) in dermatology" of the Dr. med. h.c. Erwin Braun Foundation in Liestal/Basel, Switzerland, November 20, 2004.
[74] Heinemann C, Elsner P. Personal communication. 2002.
[75] Hoffmann G. Wassergefiltertes Infrarot A (wIRA) [Water-filtered infrared-A (wIRA)]. In: Kramer A, Assadian O, Hrsg. Wallhäußers Praxis der Sterilisation, Desinfektion, Antiseptik und Konservierung. Qualitätssicherung der Hygiene in Industrie, Pharmazie und Medizin. [Wallhäußer's practice of sterilization, disinfection, antisepsis and conservation. Quality assurance of the hygiene in industry, pharmacy, and medicine]. Stuttgart: Thieme; 2008. p. 899-900. ISBN: 978-3-13-141121-1.
[76] Haupenthal H. In vitro- und in vivo-Untersuchungen zur temperatur-gesteuerten Arzneistoff-Liberation und Permeation [Thesis] [In vitro and in vivo investigations of temperature dependent drug liberation and permeation]. Mainz: Johannes Gutenberg-Universität; 1997.
[77] Bankova L, Heinemann C, Fluhr JW, Hoffmann G, Elsner P. Improvement of penetration of a topical corticoid by water filtered infrared A (wIRA). 1st Joint Meeting 14th International Congress for Bioengineering and the Skin & 8th Congress of the International Society for Skin Imaging; 2003 May 21-24; Hamburg; 2003. P100.
[78] Otberg N, Grone D, Meyer L, Schanzer S, Hoffmann G, Ackermann H, Sterry W, Lademann J. Water-filtered infrared-A (wIRA) can act as a penetration enhancer for topically applied substances. GMS Ger Med Sci. 2008;6:Doc08. Online available from: http://www.egms.de/pdf/gms/2008-6/000053.pdf (PDF) and http://www.egms.de/en/gms/2008-6/000053.shtml (shtml).
[79] von Felbert V, Streit M, Weis J, Braathen LR. Anwendungsbeobachtungen mit wassergefilterter Infrarot-A-Strahlung in der Dermatologie [Application observations with water-filtered infrared-A radiation in dermatology]. Dermatol Helvetica. 2004;16(7):32-3.
[80] von Felbert V, Simon D, Braathen LR, Megahed M, Hunziker T. Behandlung einer linearen Sklerodermie mit wassergefilterter Infrarot-A-Strahlung [Treatment of a linear scleroderma with water-filtered infrared-A radiation]. Hautarzt. 2007;58:923-4. DOI: 10.1007/s00105-007-1413-y
[81] Buslau M. Wassergefiltertes Infrarot A (wIRA) bei Sklerodermie. (Ergebnisse einer prospektiven, randomisierten, kontrollierten, doppelt-blinden klinischen Studie.) [Water-filtered infrared-A (wIRA) in scleroderma. (Results of a prospective, randomized, controlled, double-blind study.)] Lecture presented at the course entitled "Water-filtered infrared-A in dermatology" of the Department of Dermatology of the University Hospital Jena in Jena, Germany, November 15, 2003.
[82] Hoffmann G, Siegfried I. Volkskrankheit Rückenschmerz: neue Sichtweisen [Common illness backache: new ways of looking at]. Seminar des Arbeitskreises Sportmedizin der Akademie für ärztliche Fortbildung und Weiterbildung der Landesärztekammer Hessen. Bad Nauheim, 05.06.2004. Düsseldorf: German Medical Science; 2005. Doc04ruecken1. Online available from: http://www.egms.de/pdf/meetings/ruecken2004/04ruecken1.pdf (PDF) and http://www.egms.de/en/meetings/ruecken2004/04ruecken1.shtml (shtml).
[83] Pediani R. What has pain relief to do with acute surgical wound healing? World Wide Wounds 2001. Online available from: http://www.worldwidewounds.com/2001/march/Pediani/Pain-relief-surgical-wounds.html
[84] Hoffmann G. Wassergefiltertes Infrarot A (wIRA) zur Verbesserung der Wundheilung bei akuten und chronischen Wunden [Water-filtered Infrared-A (wIRA) for the improvement of wound healing of acute and chronic wounds]. Wundmanagement. 2008;2:72-80. As well online available from: http://publikationen.ub.uni-frankfurt.de/volltexte/2008/5429/
[85] Akça O, Melischek M, Scheck T, Hellwagner K, Arkiliç CF, Kurz A, Kapral S, Heinz T, Lackner FX, Sessler DI. Postoperative pain and subcutaneous oxygen tension. Lancet. 1999;354:41-2. DOI: 10.1016/S0140-6736(99)00874-0
[86] Hopf HW, Hunt TK, West JM, Blomquist P, Goodson WH 3rd, Jensen JA, Jonsson K, Paty PB, Rabkin JM, Upton RA, von Smitten K, Whitney JD. Wound tissue oxygen tension predicts the risk of wound infection in surgical patients. Arch Surg. 1997;132(9):997-1004.
[87] Sheikh AY, Gibson JJ, Rollins MD, Hopf HW, Hussain Z, Hunt TK. Effect of hyperoxia on vascular endothelial growth factor levels in a wound model. Arch Surg. 2000;135(11):1293-7. DOI: 10.1001/archsurg.135.11.1293
[88] Hoffmann G. Klinische Anwendungen von wassergefiltertem Infrarot A (wIRA) [Clinical applications of water-filtered infrared-A (wIRA)]. In: Kaase H, Serick F, eds. Sechstes Symposium "Licht und Gesundheit" [Sixth symposium "Light and health"]. Eine Sondertagung der Technischen Universität Berlin und der Deutschen Gesellschaft für Photobiologie mit der Deutschen Akademie für Photobiologie und Phototechnologie und der Deutschen Lichttechnischen Gesellschaft, Berlin, 13./14.03.2008. Berlin; 2008. p. 130-146. ISBN: 3-9807635-0-3. As well online available from: http://publikationen.ub.uni-frankfurt.de/volltexte/2008/5484/ (online version includes English and German abstract).
[89] Illing P, Gresing T. Improvement of wound healing in severely burned children by water-filtered infrared-A (wIRA). GMS Ger Med Sci. 2008;6. [Publication in preparation].
[90] Sattler H, Stellmann A. Experiences with water-filtered infrared-A (wIRA) in patients during rehabilitation after hip and knee endoprosthesis operations in Bad Dürkheim, Germany. Personal communication. 2002-2004.



