["Alcohol and nicotine" − Concept and evaluation of an interdisciplinary elective course with OSPE in preclinical medical education]
Corinna Bergelt 1Heidrun Lauke 2
Corinna Petersen-Ewert 1,3
Manfred Jücker 4
Christiane K. Bauer 5
1 University Medical Center Hamburg-Eppendorf, Department of Medical Psychology, Hamburg, Germany
2 University Medical Center Hamburg-Eppendorf, Department of Anatomy and Experimental Morphology, Hamburg, Germany
3 University of Applied Sciences, Department of Nursing and Management, Hamburg, Germany
4 University Medical Center Hamburg-Eppendorf, Department of Biochemistry and Signal Transduction, Hamburg, Germany
5 University Medical Center Hamburg-Eppendorf, Department of Cellular and Integrative Physiology, Hamburg, Germany
Abstract
In the last decade, increasing interest has been paid to interdisciplinary and practical courses in the medical education in Germany. This report describes the implementation and outcome of a preclinical interdisciplinary elective course with a team-teaching concept developed by lecturers in medical psychology, anatomy, physiology and biochemistry. The practical orientation of the course led to the implementation of a final interdisciplinary OSPE to ensure fair consideration of the different disciplines involved in grading. Individual OSPE results correlate well with the fact that different skills are required in medical psychology compared to those required in anatomy, physiology and biochemistry. Student course evaluation and lecturers` experience indicate the success of this elective course. Its concept can be well adapted to other interdisciplinary courses.
Keywords
Medical education, elective course, OSPE, interdisciplinary, Team-teaching
Introduction
The current Medical Licensure Act (ÄAppO of 2002) demands a linkage of knowledge horizontally between the subject areas within the preclinical medical education period as well as vertically with references to the clinical study period. Within this framework representatives of the four subject areas of medical psychology, anatomy, physiology and biochemistry developed a team-teaching concept [1] for an interdisciplinary elective course in preclinical medical education.
According to the ÄAppO of 2002, and also in Hamburg specifically, there is a wide range of elective courses offered in preclinical medical education [2]. The minimum requirements for approval of preclinical elective courses at Hamburg University were two contact hours per week per semester, a medical context and a predefined assessment of academic achievement. The room for maneuver provided by the current Medical Licensure Act in Germany was used in recent years to implement different interdisciplinary courses as preclinical (e.g. [3]) or clinical elective courses (e.g. [4], [5]). However, the current literature provides no reports on comparable interdisciplinary teaching concepts involving all preclinical teaching subjects.
Conceptual framework
The conceptualisation of the interdisciplinary elective course included a horizontal integration of the preclinical teaching subjects, both with regard to the teaching content and with regard to the joint examination. During the courses, students should learn about the individual approach of each subject taught, as well as their points of contact with regard to a shared teaching topic.
The concept did not aim at conveying detailed knowledge, but to inspire the students and sensitize them to the complexity of each topic. Each teaching subject emphasized the practical implications of the teaching content. Along the way, students should experience both the physician’s role as an examiner of the patient and the patient’s role. Simultaneously, training practical skills served as a preparation for the final OSPE exam. Teaching methods and types of examination were chosen that were innovative in preclinical medical education period.
We used simulation patients and conducted an interdisciplinary OSPE exam (objective structured practical (preclinical) examination [6]), which gave the students the opportunity to get used to the procedure of OSCE exams (objective structured clinical examination), which are frequently conducted during the medical education period in the Hamburg curriculum.
So far, objective structured practical examinations (OSPE) are infrequently carried out in medical faculties in Germany [7]. However, the corresponding objective structured clinical examinations (OSCE) during the medical education period are also not yet established in all medical faculties [7]. Internationally, there are a few reports on the conduction of OSPE exams in preclinical medical education in anatomy (e.g. [8], [9], [10]), physiology (e.g. [11], [12], [13]), and biochemistry [14]. These reports mainly describe OSPE exams as a positive, feasible and adequate additional type of exam. However, these examples do not encompass interdisciplinary OSPEs.
Realisation of the teaching concept
Interdisciplinary aspects
Due to the general and clinical relevance of the topic and the possibility of including important teaching content for all participating subjects, “alcohol and nicotine” was chosen as the joint teaching topic for the elective course. According to the concept of horizontal integration of teaching content, the elective course was, parallel to the classes of the individual subjects, mainly characterized by kick-off and closing classes jointly conducted by the teachers of all subjects (see Figure 1 [Fig. 1]).
Figure 1: Overview of the structure of the interdisciplinary elective course “alcohol and nicotine”. The number of class hours (h) with a lesson period of 45 minutes are given in brackets.
The content of the classes of the single subject should also inspire the students to engage personally in the topic outside the class. The final joint OSPE exam was based solely on the subject-specific teaching topics and led to a grade with equal weighting for each subject taught. The continuously presented content of the joint classes is presented in summary in Table 1 [Tab. 1]. The students’ course evaluation was carried out after the OSPE scoring, but before announcement of grades.
Table 1: Contents and didactic methods of the joint lessons of the interdisciplinary elective course "alcohol & nicotine".
The horizontal integration within this elective course required meetings of participating teachers on a regular basis in advance of and after the joint kick-off meeting with the students. For example, if possible, teaching topics were adapted by updated course topics according to the students’ expectations expressed during the kick-off meeting. The interdisciplinary integration also included knowledge of the teaching topics in all subjects among the participating lecturers, which allowed referencing to and mutual influence on the topics of other subjects. Vertical integration was realized through reference to the clinical contents of each of the participating subjects.
Subject-specific aspects
The content of each subject was chosen in a way that on one hand allowed to demonstrate the contribution each subject made to the common topic and on the other hand, took the specific view of the subjects into consideration. The teaching contents of medical psychology focused on psychosocial aspects of addiction and the interaction with patients. Anatomy was comprised of macroscopic and microscopic structures of healthy and diseased lungs and livers. Physiology focused on the acute consequences of smoking and drinking, as well as on the functional analysis of long-term lung and liver damage. In biochemistry the malfunction of signal transduction processes in lung cancer cells was analysed. Figure 2 [Fig. 2] gives an overview of the contribution of each subject’s teaching content to the topics “alcohol” and “nicotine”.
Figure 2: Attribution of the subject-specific course contents to the topics “alcohol” (red) and “nicotine” (blue).
Content and teaching methods of the subject-related classes are displayed in Table 2 [Tab. 2].
Table 2: Contents and methods of subject-specific lessons
This paper aims to describe the concept and realisation of an interdisciplinary course and its evaluation. Furthermore, the results of six years of interdisciplinary OSPE-exams are analysed in an exploratory manner with regard to possible differences between the subjects.
Methods
Students’ evaluation
In accordance with the central evaluation of mandatory classes through the dean`s office of the medical faculty we used a six-stage Likert scale (from 1 “not at all true” to 6 “very true”). The summative analysis of the evaluation sheets was carried out by the members of the dean`s office. As statistical data, the mean (M) and standard deviation (SD) are presented. Due to items on interdisciplinarity and OSPE specifically adapted for the elective course as well as due to open questions, the course evaluation also covered formative aspects. The free text comments of the students were considered during next year’s course if possible, e.g. via earlier provision of preparation material. All evaluation items are listed in Appendix 1 [Att. 1].
OSPE
The OSPE exam was executed as a summative assessment in a compensatory form [15]. The course consisted of six five-minute stations (two per subject, see Table 1 [Tab. 1]) and a ten-minute biochemistry station, which was provided twice. Each station was staffed with one examiner, including the lecturers of the four subjects and colleagues from each subject. The maximum score at each station was 25 points, and performance assessment was conducted using standardised checklists. For the calculation of the overall results, the biochemistry scoring was doubled, so that the performance in each subject contributed equally to the overall result with a maximum of 50 points.
The tasks of the OSPE-stations and the checklists were remained essentially unchanged over the years. A schematic list of the competences examined at each station and their relation to the learning objectives is displayed in Table 3 [Tab. 3].
Table 3: Fields of competence of the different OSPE stations. + denotes primary competencies, (+) competencies examined less thoroughly. 
A correlation analysis of the individually achieved scores in the four subjects was carried out according to Pearson, indicating correlation coefficient r and the probability value p. Differences between subjects with regard to mean scores over six years were calculated using the two-sided unpaired t-test. The level of significance α was set to 0.05.
Results
The interdisciplinary elective course was offered once a year as a compact course during the summer semester break for a maximum of 20 students. From 2006 to 2011, a total of 103 students participated in the elective course and the OSPE exam, 67% of them were female. Due to the semester schedule, nearly all participants were second semester students (96 of 103), resulting in a quite homogeneous state of knowledge of the students with regard to previous knowledge in the participating subjects.
Student evaluation
Mean student satisfaction with the elective course was reflected in scores from 5.1 to 5.3 (M=5.21; means averaged over six years with SD=0.10), and was consistently high. The complete evaluation results are listed in Appendix 2. The interdisciplinary nature of the elective course was particularly positively evaluated. Students evaluated the idea of offering an interdisciplinary elective course with M=5.84 (SD=0.10). The realisation of this idea, meaning the real accord between the different subjects, was still positively evaluated with M=4.95 (SD=0.25). The students reacted to the OSPE exam form with a high degree of acceptance. “Overall satisfaction with OSPE” was M=4.98 (SD=0.27) and the item ”I think that an OSPE exam is more appropriate to evaluate the learning success in this elective course than a written exam“ was evaluated with M=5.1 (SD=0.37).
OSPE results
The final grade for the elective course was solely based on the OSPE exam. The individual grades ranged from “very good” (1) to “sufficient” (4), mean grades ranged from 1.3 to 2.2 (M=1.61; SD=0.30).
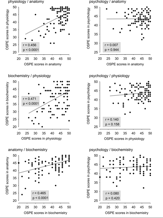
Correlations of the subject-specific OSPE results of the six participating groups are displayed in Figure 3 [Fig. 3]. The individual results of the students correlate significantly and with a similar magnitude (r around 0.46) for the subjects anatomy, physiology and biochemistry. However, the OSPE scores achieved at the medical psychology stations did not correlate with the results of the other three subjects.
Figure 3: Correlations of individual OSPE scores attained in different subjects. N=103 is the total number of course participants, r is the Pearson product-moment correlation coefficient and p the probability of making a type 1 error. Lines are linear regressions. Please note that identical results of students made in a given subject combination cannot be resolved. In the different panels, between 13 to 22 data points represent the results of 33 to 52 students, respectively.
Due to the absence of one-dimensionality of competencies examined at the different stations, a calculation of Cronbach’s alpha value as a measure of the reliability of the OSPE exam was not appropriate [16].
Figure 4 [Fig. 4] displays the mean OSPE scores achieved over the years as well as an itemisation of the four participating subjects. Mean OSPE results varied more strongly for the subjects biochemistry (mean±SD over six years: 39.65±4.86) and physiology (42.73±4.62) than for anatomy (43.9 ±1.91) and medical psychology (43.71±2.62). Overall, there were no significant differences between the mean results achieved in the different subjects over six years (p-values between p=0.07 for anatomy vs. biochemistry and p=0.89 for anatomy vs. psychology).
Figure 4: Mean OSPE scores attained in the four subjects over six years. Maximum scoring was 50 points for each subject and 200 for the whole OSPE. Given are means±SD; n=12-20 per year, total N=103.
Discussion
The concept presented with its mixture of team-teaching (including an interdisciplinary OSPE exam) and subject-specific classes with only one teacher, provides a practicable compromise between heightened personal and organisational effort and benefits for both teachers and students. The evaluation results substantiate the students’ overall very positive assessment of the elective course concept. However, it is well-known from the literature that elective courses are generally more positively evaluated by students than mandatory courses [17], [18].
With regard to the generalizability of the results presented, it should be kept in mind, that due to the elective form of the seminar the participating students were self-selected and no conclusions can be drawn on how the complete student cohort would have evaluated the course. Nevertheless, based on the very positive evaluation of the contents, the conduction of the course and the type of exam and the positive exam results, this elective course can be regarded as a successful model of practiced interdisciplinarity in preclinical medical education.
The students were highly motivated to learn independently, and the exam results indicate the high learning success of the students. Analyses of the individual results of the students at the OSPE stations of the different subjects provided interesting results: although the stations of the four subjects examined very different content and practical skills, the individual exam results of the students in the subjects anatomy, physiology and biochemistry correlate positively. But for none of these subjects can a significant correlation with the results in the medical psychology stations be found. This strongly suggests that the communication skills examined in these stations have a dimension distinctly independent from other practical skills. The implementation of psychosocial and communication competences attracts intensive attention in new model medical curricula [19], [20], [21]. It is therefore sometimes suggested that the examination of communication skills be combined with the examination of clinical competences by inclusion of communicative aspects at OSCE stations of clinical subjects [19]. Our results, particularly the absence of correlations between exam results in the medical psychology and the anatomy OSPE stations, which were also conducted with simulated patients and included a small component of communication skills in the assessment, indicate that an adequate assessment of communication skills is not possible by these means.
Communication skills cannot be examined in necessary depth if they are on the one hand an independent skills dimension, but on the other hand are only examined with a small score proportion at OSCE stations focussing on clinical skills. A stronger focus on clinical as well as psychosocial and communication skills in medical education should take this into account when developing and conceptualising OSCE circuits with separate stations in order to assess clinical skills and communication skills.
One limitation of the analyses presented is the lack of investigations on inter-rater reliability with regard to the assessment of OSPE stations. Though methodologically desirable, this was impeded by limited resources. Furthermore, a higher number of stations is recommended for the conduction of an OSPE exam [15]. But due to the limited number of lessons, more stations per subject were not feasible.
Overall, the application of the OSPE type of examination was beneficial in many ways: first of all, the practical teaching elements were upgraded due to their exam relevance („assessment drives learning“; [22], [23], [24]) and secondly the exam type was suitable for the interdisciplinary grading, with adequate consideration of each subject by equally weighted exam contributions [25]. A wrongful assessment based on the shorter “contact time” of the teachers with the students due to team-teaching was thereby avoided [1]. Interestingly, there were no clearly easier or more difficult subjects with regard to the exam, because the mean scores of the students at the stations of the different subjects did not differ significantly. Prospectively, students can benefit from the elective course, not only with regard to their experience with the new exam type OSPE, but also through learning about an interdisciplinary approach to a topic.
The teaching concept presented here for an elective course in preclinical medical education can also be performed including other topics or subject combinations. In view of the fact that new medical curricula strive for a stronger horizontal and vertical integration of theoretical and clinical teaching contents, our study should serve as an encouragement and a model for the development and implementation of interdisciplinary courses.
Acknowledgements
The realisation of our elective course concept with team-teaching and OSPE was facilitated by additional funding as an innovative teaching project within the “Förderfonds Lehre” of the medical faculty at the Hamburg-Eppendorf University Medical Center. We thank the department for quality assurance in the deanery of education and especially Dr. Katja Weidtmann for evaluating the evaluation sheets.
Competing interests
The authors declare that they have no competing interests.
References
[1] Chandra A, Sottile JM. A Critical Examination of Team-Teaching of Health Care Administration Courses. J Hosp Mark Public Relations. 2005;15(2):55-68. DOI:10.1300/J375v15n02_04[2] Kuhnigk O Weidtmann K, Dietsche, S, Guse AH, Mihalache I, Schultz JH, Middendorff R, Kadula J, Harendza S. Vom "vorklinischen Studienabschnitt" zu "Medizin I" : Umstellung auf die neue ÄAppO an der Medizinischen Fakultät der Universität Hamburg. GMS Z Med Ausbild. 2006;23(2):Doc36. Zugänglich unter/available from: http://www.egms.de/static/de/journals/zma/2006-23/zma000255.shtml
[3] Langosch C, Onnasch JF, Steger T, Klement A, Grundke S. Die Klasse Allgemeinmedizin" als Wahlpflichtfach im vorklinischen Studienabschnitt: Didaktischer Aufbau, Lehrziele und Umsetzung. GMS Z Med Ausbild. 2012;29(5):Doc67. DOI: 10.3205/zma000837
[4] Knipper M, Akinci A. Wahlfach "Migrantenmedizin" – Interdisziplinäre Aspekte der medizinischen Versorgung von Patienten mit Migrationshintergrund: Das erste reguläre Lehrangebot zum Thema "Medizin und ethnisch-kulturelle Vielfalt" in Deutschland. GMS Z Med Ausbild. 2005;22(4):Doc215. Zugänglich unter/available from: http://www.egms.de/static/de/journals/zma/2005-22/zma000215.shtml
[5] Quandt M, Schmidt A, Segarra L, Beetz-Leipold C, Degirmenci Ü, Kornhuber J, Weih M. Wahlfach Teamarbeit: Ergebnisse eines Pilotprojektes zur interprofessionellen und interdisziplinären Ausbildung mit formativem Team-OSCE (TOSCE). GMS Z Med Ausbild. 2010;27(4):Doc60. DOI:10.3205/zma000697
[6] Nayar U, Malik SL, Bijlani RL. Objective structured practical examination: a new concept in assessment of laboratory exercises in preclinical sciences. Med Educ. 1986;20(3):204-209. DOI: 10.1111/j.1365-2923.1986.tb01169.x
[7] Möltner A, Duelli R, Resch F, Schultz JH, Jünger J. Fakultätsinterne Prüfungen an den deutschen medizinischen Fakultäten. GMS Z Med Ausbild. 2010;27(3):Doc44. DOI: 10.3205/zma000681
[8] Boeckers A, Fassnacht U, Feneberg A, Boeckers TM. Modifizierte objective structured practical examination (OSPE) als Leistungskontrolle im Kurs der Mikroskopischen Anatomie an der Universität Ulm. GMS Z Med Ausbild. 2006;23(4):Doc71. Zugänglich unter/available from: http://www.egms.de/static/de/journals/zma/2006-23/zma000290.shtml
[9] Schoeman S, Chandratilake M. The Anatomy Competence Score—A new marker for anatomical ability. Anat Sci Ed. 2012;5: 33–40. DOI: 10.1002/ase.263
[10] Yaqinuddin A, Zafar M, Ikram MF, Ganguly P. What is an objective structured practical examination in anatomy? Anat Sci Ed. 2013;6: 125–133. DOI: 10.1002/ase.1305
[11] Torke S, Upadhya S, Abraham RR, Ramnarayan K. Computer-assisted objective-structured practical examination: an innovative method of evaluation. Adv Physiol Educ. 2006;30(1):48-49. DOI: 10.1152/advan.00057.2005
[12] Abraham RR, Raghavendra R, Surekha K, Asha K. A trial of the objective structured practical examination in physiology at Melaka Manipal Medical College, India. Adv Physiol Educ. 2009;33(1):21-23. DOI: 10.1152/advan.90108.2008
[13] Hasan S, Malik S, Hamad A, Khan H, Bilal M. Conventional/traditional practical examination (CPE/TDPE) versus objective structured practical evaluation (OSPE)/semi objective structured practical evaluation (SOSPE). Pak J Physiol. 2009;5(1):58-64.
[14] Kundu D, Das H N, Sen G, Osta M, Mandal T, Gautam D. Objective structured practical examination in biochemistry: An experience in Medical College, Kolkata. J Nat Sc Biol Med. 2013;4:103-107. DOI: 10.4103/0976-9668.107268
[15] Nikendei C, Jünger J. OSCE – praktische Tipps zur Implementierung einer klinisch-praktischen Prüfung. GMS Z Med Ausbild. 2006;23(3):Doc47. Zugänglich unter/available from: http://www.egms.de/static/de/journals/zma/2006-23/zma000266.shtml
[16] Schmitt N. Uses and abuses of coefficient alpha. Psychol Assess. 1996;8(4):350-353. DOI: 10.1037/1040-3590.8.4.350
[17] Scherr FC, Scherr SS. Bias in student evaluation of teacher effectiveness. J Educ Busin. 1990;65(8):356-358.
[18] Haskell RE. Academic freedom, tenure, and student evaluation of faculty. Educ Policy Analys Archiv. 1997;5(6):ISSN 1068-2341. Zugänglich unter/available at: http://epaa.asu.edu/ojs/article/view/607
[19] Kiessling C, Langewitz W. Das Longitudinale Curriculum "Soziale und kommunikative Kompetenzen" im Bologna-reformierten Medizinstudium in Basel. GMS Z Med Ausbild. 2013;30(3):Doc31. DOI: 10.3205/zma000874
[20] Bachmann C, Hölzer H, Dieterich A, Fabry G, Langewitz W, Lauber H, Ortwein H, Pruskil S, Schubert S, Sennekamp M, Simmenroth-Nayda A, Silbernagel W, Scheffer S, Kiessling C. Longitudinales, bologna-kompatibles Modell-Curriculum "Kommunikative und Soziale Kompetenzen": Ergebnisse eines interdisziplinären Workshops deutschsprachiger medizinischer Fakultäten. GMS Z Med Ausbild. 2009;26(4):Doc38. DOI: 10.3205/zma000631
[21] Kiessling C, Dieterich A, Fabry G, Hölzer H, Langewitz W, Mühlinghaus I, Pruskil S, Scheffer S, Schubert S. Basler Consensus Statement "Kommunikative und soziale Kompetenzen im Medizinstudium": Ein Positionspapier des GMA-Ausschusses Kommunikative und soziale Kompetenzen. GMS Z Med Ausbild. 2008;25(2):Doc83. Zugänglich unter/available from: http://www.egms.de/static/de/journals/zma/2008-25/zma000567.shtml
[22] Newble DI, Jaeger K. The effect of assessments and examinations on the learning of medical students. Med Educ. 1983;17(3):165-171. DOI: 10.1111/j.1365-2923.1983.tb00657.x
[23] McLachlan JC. The relationship between assessment and learning. Med Educ. 2006;40:716–717. DOI: 10.1111/j.1365-2929.2006.02518.x
[24] Buss B, Krautter M, Möltner A, Weyrich P, Werner A, Jünger J, Nikendei C. Can the 'Assessment Drives Learning' effect be detected in clinical skills training? – Implications for curriculum design and resource planning. GMS Z Med Ausbild. 2012;29(5):Doc70. DOI:10.3205/zma000840
[25] Wormald BW, Schoeman S, Somasunderam A, Penn M. Assessment drives learning: An unavoidable truth? Anat Sci Educ. 2009;2(5):199–204. DOI:10.1002/ase.102



