[Quality of bacteriologic infection serology in Germany: Analysis of the 2011 proficiency testing trials]
M. Mai 1I. Müller 1,2
K.-P. Hunfeld 1,2,3
1 Zentralinstitut für Laboratoriumsmedizin, Mikrobiologie und Krankenhaushygiene, Krankenhaus Nordwest, Frankfurt am Main, Deutschland
2 INSTAND e. V. Düsseldorf, Deutschland
3 Qualitätssicherungskommission der Deutschen Gesellschaft für Hygiene und Mikrobiologie (DGHM), Hannover, Deutschland
Abstract
Bacteriologic infection serology focuses on the detection of the serum antibody levels as part of the host response to microbial pathogens. Still, serological testing for several fastidious organisms is appropriate to detect acute or previous contact with the pathogen or to determinate the immune status. Nevertheless, to date, the methods to detect serum antibodies or changes in the immune response are not sufficiently standardized. This is why proficiency testing is a powerful instrument to ensure and improve quality and efficiency of such test in the participating laboratories.
This evaluation covers the findings of the outcome of 2011 proficiency testing for bacteriologic infection serology focusing on changes as well as continuing difficulties concerning the findings presented the years before. Especially, the serological diagnosis to ensure Campylobacter- and Salmonella-infections continues to be problematic; therefore, a comprehensive synopsis of all parts of the diagnostic process remains essential.
Keywords
external quality assessment, bacteriologic infection serology, microbiology
1 Einleitung
Das menschliche Immunsystem ist in der Lage, nach Antigenkontakt spezifische Antikörper zu bilden. Antikörper der Immunglobulin-Klassen IgG, IgM und z.T. IgA lassen sich teilweise schon vor Auftreten von Symptomen gegen die Erreger oder deren Toxine im Serum für eine eher begrenzte Zeitdauer nachweisen, während die spezifischen IgG-Antikörper in der Regel lebenslang nachweisbar sind. Der Nachweis dieser Antikörper (und ggf. der Antigene selbst) kann nicht nur akute Infektionen, sondern – im Gegensatz zum direkten Keimnachweis – auch Impftiter und damit einen Anhaltspunkt für die Immunität des Patienten anzeigen. Serologische Untersuchungen haben sich deshalb nicht nur bei nicht kultivierbaren oder langsam wachsenden Erregern (z.B. Borrelien, Treponemen oder Mykoplasmen) als Mittel der Wahl bewährt, sondern dienen auch der klinischen Verlaufsbeurteilung oder der Überprüfung des Impfschutzes (z.B. gegenüber Clostridium tetani). Einige Methoden, vor allem im Bereich der Infektionsserologie, erweisen sich allerdings als nicht hinreichend standardisiert.
Die Qualität der eingesetzten serologischen Testverfahren hängt von der Sensitivität und Spezifität ab und kann abhängig von der Methodik großen Schwankungen unterliegen, was eine Vergleichbarkeit serologischer Testergebnisse erschwert.
Zum Vergleich der Testqualität serologischer Assays kommen Ringversuche zum Einsatz, die die Effizienz und Qualität von Untersuchungsverfahren nach den Richtlinien der Bundesärztekammer [1] in medizinischen Laboratorien unabhängig prüfen und fördern sollen. Wenn Ärzte ringversuchspflichtige Laborleistungen mit der Kassenärztlichen Vereinigung abrechnen, sind sie seit 01. April 2011 gemäß § 25 Bundesmantelverträge Ärzte [1] verpflichtet, regelmäßig an externen Qualitätskontrollmaßnahmen teilzunehmen. Die bei bestandenem Ringversuch erteilten Zertifikate führen jeden Analyten auf, der geprüft und vom teilnehmenden Labor korrekt bestimmt wurde, wobei die maximal zulässige Abweichung zum Zielwert eingehalten werden muss.
In der vorliegenden Arbeit werden die Ergebnisse der infektionsserologischen Ringversuche 2011 zusammengefasst und diskutiert.
2 Methoden
2.1 Teilnehmerkollektiv
Im Jahr 2011 haben durchschnittlich 1.191 Laboratorien an mindestens einem Ringversuch teilgenommen, darunter 262 aus dem europäischen Ausland und 929 aus Deutschland (vgl. Tabelle 1 [Tab. 1]). Die Teilnehmerzahl lag zwischen 32 in der Chlamydiendiagnostik (November 2011) und 458 in der Lues-Serologie (Mai 2011). Die Ergebnisse sämtlicher Teilnehmer wurden ausgewertet und kommentiert.
Tabelle 1: Analyte und Teilnehmerzahlen der Ringversuche 2011
2.2 Probengewinnung und Durchführung
Für jeden Analyten wurden an die teilnehmenden Laboratorien halbjährlich (Yersinien-, Pertussis-, Mycoplasmen- und Coxiellen-Serologie jährlich) zwei dem Labor in ihrer Zusammensetzung unbekannte Serumproben versendet, die nach Einverständniserklärung aus dem Vollblut klinisch gesunder Blutspender oder von Probanden mit positiver Infektionsanamnese nach ordnungsgemäßem und üblichem Aufbereitungsverfahren gewonnen wurden [2]. Die für die Chlamydien-Diagnostik eingesetzten Proben (Chlamydia trachomatis-Antigennachweis aus Urin und direkter Chlamydia trachomatis-Immunfluoreszenztest) wurden aus inaktivierten Chlamydia trachomatis-Kulturüberständen hergestellt (Stamm B, Institut für Medizinische Mikrobiologie, Universität Jena, Direktor Prof. Dr. med. Eberhard Straube).
2.3 Bewertungsrichtlinien und Zielwerte
Die Sollwertermittlung fand durch geeignete externe Referenzlaboratorien statt. Die entsprechenden Referenzlaboratorien der Bacteriologic Infection Serology Study Group of Germany (BISSGG) sind im Anhang der Ringversuchsauswertung aufgelistet (s. Anhang 1 [Anh. 1]; vgl. [3]). Als Zielwert galt der Modal bzw. der Median der qualitativen bzw. quantitativen Ergebnisse der Referenzlaboratorien. Wenn Referenzwerte nicht zuverlässig ermittelt werden konnten, wurde der Median der Ergebnisse aller Teilnehmer als Zielwert definiert. Testmethoden wurden erst ab einem Teilnehmerkollektiv von N=5 zertifiziert. Bei den quantitativen Werten musste das Ergebnis innerhalb eines Bereiches von ±2 Titerstufen um den Zielwert liegen. Bei den qualitativen Werten wurde der Versuch bei voller Übereinstimmung zwischen dem Teilnehmerergebnis und dem Zielwert als bestanden gewertet. Für einige Methoden wurden auch die Ergebnisse positiv und grenzwertig, negativ und grenzwertig bzw. negativ, grenzwertig oder positiv zugelassen. Da die quantitativen ELISA-Ergebnisse herstellerabhängig schwanken, wurden wegen der schlechten Vergleichbarkeit nur Tetanus-Toxoid-Antikörper und Diphtherie-Toxoid-Antikörper bewertet. Die Festsetzung der Sollwerte und der Bewertungsbereiche der quantitativen Bestimmungen für Antikörper gegen Streptokokken (321) und Rheumafaktor (323) erfolgte streng methodenabhängig. Für standardisierte bzw. automatisierte Testmethoden (ASL, Streptodornase, Rheumafaktor) war bei positiven Proben eine Abweichung von ca. ±27% vom quantitativen Zielwert zulässig, der dem methodenabhängigen Median der Teilnehmerergebnisse entsprach. Die Blotbanden für die Borrelienserologie wurden wegen der äußerst hohen Heterogenität der Teilnehmerergebnisse lediglich aufgeführt und kommentiert, aber nicht zertifiziert.
3 Ergebnisse
3.1 Antikörper gegen Tetanus-Toxoid (310)
3.1.1 Klinische Information
Die Proben 31 und 32 sowie 61 und 62 stammten von klinisch gesunden, vorgetesteten Blutspendern.
3.1.2 Zielwert
Der Bewertungsbereich wurde für alle Proben mit jeweils ±40% um den ermittelten Zielwert festgelegt. Die Zielwerte wurden durch den Modal bzw. Median der qualitativen und quantitativen Ergebnisse der Referenzlaboratorien festgelegt. Die entsprechenden Zielwerte sowie die dazugehörigen Bewertungsbereiche und Bestehensquoten sind in Tabelle 2 [Tab. 2] abgebildet.
Tabelle 2: Tetanus ELISA: Qualitative und quantitative Zielwerte sowie entsprechende Bestehensquoten für die Ringversuchsproben 2011
3.1.3 Diagnostische Gesamtbewertung und Kommentar
Sämtliche Proben wurden klinisch gesunden Spendern entnommen. Für die Spender aller Proben wird eine ausreichende Immunität angenommen. Wird auf eine Impftiterkontrolle verzichtet, wird nach 5–10 Jahren (Probe 32, 61, 62) bzw. nach 2–5 Jahren (Probe 31) eine Auffrischimpfung empfohlen. Anzumerken ist, dass die Antikörperbestimmung gegen Tetanus vor allem indiziert bzw. sinnvoll ist zur Impferfolgskontrolle bei Patienten mit Immundefizienz (Impftiterbestimmung vor und nach Impfung!) oder bei der Beurteilung der Immunfunktion bei Verdacht auf humoralen Immundefekt. Die Bestehensquoten für die qualitativen Zielwerte lagen mit insgesamt ca. 98 bis 100% ähnlich hoch wie in den Vorjahren, die quantitativen Zielwerte erreichten mit ca. 87–93% insgesamt etwas höhere Quoten als in den Vorjahren. Die niedrigste Bestehensquote (87,1%) bei der quantitativen Titerbestimmung wurde für die Probe 32 ermittelt, die die höchste Antikörperkonzentration enthielt. Dabei traten häufiger Überschätzungen (8% der Werte >5) als Unterschätzungen (5% der Werte <2,1) der Antikörperkonzentration auf. Diese Probe erzielte auch die niedrigste Quote in der Gesamtbewertung, lag damit aber im Bereich der letzten Jahre.
3.2 Antikörper gegen Treponema pallidum (311)
3.2.1 Klinische Information
Die Proben 32 und 62 stammten von klinisch gesunden Spendern ohne Lues-Anamnese und negativer Lues-Serologie. Die positiven Proben 31 und 61 wurden aktuell nicht therapiebedürftigen Syphilis-Patienten einige Jahre nach suffizienter Therapie entnommen.
3.2.2 Ermittlung der Zielwerte
Der Modal der Ergebnisse aus den Referenzlaboratorien wurde als qualitativer, der Median als quantitativer Zielwert festgelegt. Zielwerte, Bewertungsbereiche und Bestehensquoten finden sich in Tabelle 3 [Tab. 3].
Tabelle 3: Lues-Diagnostik: Qualitative und quantitative Zielwerte sowie entsprechende Bestehensquoten für die Ringversuchsproben 2011
3.2.3 Diagnostische Gesamtbewertung und Kommentar zu den Testergebnissen
Bei den Patienten der Proben 32 und 62 liegt serologisch kein Hinweis auf eine Infektion mit Treponema pallidum vor. Die Befundkonstellation der Proben 31 und 61 (positiver TPPA, positiver FTAabs bei negativem VDRL-Test, kein Nachweis spezifischer IgM-Antikörper gegen Treponema pallidum) spricht am ehesten für eine Lues satis curata bzw. langjährig zurückliegende Infektion. Beide serologische Befunde sind als Seronarben zu werten, eine Therapie ist derzeit nicht erforderlich. Die Spender dieser Proben sollten nicht als Blutspender zugelassen werden.
Die Bestehensquoten für die unterschiedlichen serologischen Testverfahren erreichen mit 79,5 bis 100% den hohen Standard der Vorjahre. Der niedrigste Wert wurde dabei wie in den Vorjahren (vgl. dazu [3]) bei der im VDRL-Test grenzwertigen Probe 31 erzielt. Die klinische Gesamtbeurteilung von grenzwertig reaktiven Proben (Proben 31 und 61) hinsichtlich der Therapiebedürftigkeit und der Zulassung als Blutspender führt wiederholt zu Schwierigkeiten. Da Seren, die Antikörper gegen T. pallidum enthalten, einen dauerhaften Ausschluss als Blutspender bedingen, sind die Gesamtbestehensquoten von 78,7% für die Probe 31 und 79,7% für die Probe 61 nicht zufriedenstellend.
3.3 Antikörper gegen Chlamydia trachomatis (312)
3.3.1 Klinische Information
Die Proben 31, 32 und 61 stammten von gesunden Blutspendern ohne klinische Symptomatik oder Patienten mit Chlamydia trachomatis-Infektion in der Anamnese. Probe 62 wurde einem Patienten abgenommen mit in der Vergangenheit abgelaufener, diagnostisch gesicherter Chlamydia trachomatis-Infektion.
3.3.2 Ermittlung der Zielwerte
Der Modal der Ergebnisse aus den Referenzlaboratorien wurde als qualitativer, der Median als quantitativer Zielwert festgelegt. Zielwerte, Bewertungsbereiche und Bestehensquoten finden sich in Tabelle 4 [Tab. 4].
Tabelle 4: Chlamydia trachomatis Ak-Nachweis: Qualitative und quantitative Zielwerte sowie entsprechende Bestehensquoten für die Ringversuchsproben 2011
3.3.3 Diagnostische Gesamtbewertung und Kommentar zu den Testergebnissen
Die Proben 31, 32 und 61 zeigten serologisch keinen Hinweis auf eine C. trachomatis-Infektion. Die serologische Konstellation der Probe 62 lässt auf eine abgelaufene Infektion mit Chlamydia trachomatis schließen (KBR negativ, IgG-Nachweis positiv, IgA-Nachweis und IgM-Nachweis negativ).
Die diagnostische Gesamtbewertung der negativen Proben liegt bei ca. 97–98% und damit im Bereich der Vorjahre. Probleme bereitete die positive Probe 62 nicht nur in diesem Bereich (Bestehensquote 83,7%), sondern auch besonders bei der Bestimmung der IgA-Antikörper mittels Immunoblot (Bestehensquote 55%) und mittels MIFT (Bestehensquote 73,9%). Auch die qualitative und quantitative KBR, die wegen mangelnder Standardisierbarkeit laut RKI nicht mehr empfohlen wird [4], erreichte die bei positiven Proben ähnlich geringen Quoten der Vorjahre (73,4 bzw. 73,3%).
3.4 Chlamydia trachomatis-Direktnachweis (313)
3.4.1 Probeninformation
Probe 31 und 62 wurden aus Chlamydia trachomatis-negativem, steril vorgetestetem Urin gewonnen. Für die Proben 32 und 61 wurde Urin mit ca. 3×104 CFU/mL bzw. 1×104 CFU/mL einer inaktivierten Chlamydia trachomatis-Kultur beimpft.
3.4.2 Ermittlung der Zielwerte
Der Modal der Zielwertlaboratorien wurde als qualitativer Zielwert festgesetzt. Zielwerte, Bewertungsbereiche und Bestehensquoten finden sich in Tabelle 5 [Tab. 5].
Tabelle 5: Chlamydia trachomatis-Direktnachweis: Qualitative und quantitative Zielwerte sowie entsprechende Bestehensquoten für die Ringversuchsproben 2011
3.4.3 Diagnostische Gesamtbewertung und Kommentar zu den Testergebnissen
Die Bestehensquoten für die negativen Proben 31 und 62 ohne Hinweis auf Infektion waren mit ca. 90,9% bis 100% für alle Verfahren sehr gut.
Die Ergebnisse der Testmethoden für die Proben 32 und 61 sind mit einer zurückliegenden C. trachomatis-Infektion vereinbar. Für die niedriger konzentrierte Probe 61 wurden die geringsten Bestehensquoten erreicht (71,4–87,5%), die jedoch insgesamt noch erfreulich sind.
3.5 Chlamydia trachomatis-Direktnachweis mittels IFT (316)
3.5.1 Probeninformation
Die Proben wurden vor dem Versand auf Objektträger fixiert. Dabei trugen die Objektträger der negativen Proben 32 und 62 nicht infizierte Zellen aus einer Zellkultur. Die Beschichtung für die positiven Proben 31 und 61 bestand aus Zellen einer Zellkultur versetzt mit C. trachomatis aus Kulturüberstand (Prof. Straube, Uni Jena). Probe 31 bestand aus ca. 3x104 IFU’s pro Objektträger, Probe 61 aus ca. 1x104 IFU’s pro Objektträger.
3.5.2 Ermittlung der Zielwerte
Zur Festlegung der qualitativen Zielwerte wurde der Modal der Teilnehmerergebnisse herangezogen. Zielwerte und Bestehensquoten können Tabelle 5 [Tab. 5] entnommen werden.
3.5.3 Diagnostische Gesamtbewertung und Kommentar zu den Testergebnissen
Der positive IFT der Proben 31 und 61 spricht für eine Infektion mit C. trachomatis, wobei mit dem IFT auch die nicht in der Routinediagnsotik getetesten Serotypen (Serotyp A-C: Trachom, Serotyp L1-3: Lymphogranuloma venereum) erfasst werden können.
Die Bestehensquoten lagen für alle Proben mit 91,4 bis 100% wie aus den Vorjahren gewohnt in einem sehr guten Bereich.
3.6 Antikörper gegen C. pneumoniae (314)
3.6.1 Probeninformation
Die Proben 32, 61 und 62 wurden gesunden Blutspendern entnommen. Die positive Probe 31 stammt von einem Patienten nach respiratorischem Infekt.
3.6.2 Ermittlung der Zielwerte
Der Modal der Ergebnisse aus den Referenzlaboratorien wurde als qualitativer, der Median als quantitativer Zielwert festgelegt. Zielwerte, Bewertungsbereiche und Bestehensquoten finden sich in Tabelle 6 [Tab. 6].
Tabelle 6: Chlamydia pneumoniae Ak-Nachweis: Qualitative und quantitative Zielwerte sowie entsprechende Bestehensquoten für die Ringversuchsproben 2011
3.6.3 Diagnostische Gesamtbewertung und Kommentar zu den Testergebnissen
Die Proben 32, 61 und 62 zeigten serologisch keinen Hinweis auf eine C. pneumoniae-Infektion. Die Ergebnisse von Probe 32 (IgG nachgewiesen bei negativen IgM) sprechen für eine C. pneumoniae-Infektion in der Vergangenheit. Bei negativ/grenzwertigem bzw. grenzwertig/positivem spezifischem IgA-Nachweis wurde allerdings für die diagnostische Gesamtbewertung auch Hinweis auf bestehende C. pneumoniae-Infektion zugelassen.
Insgesamt wurden Bestehensquoten von 72,7%-100% erreicht. Besonders hohe Quoten im Vergleich zu den Vorjahren wurden – bedingt durch die großzügige Bewertung – für die diagnostische Gesamtbewertung erreicht (96,2–99,1%).
3.7 Antikörper gegen Yersinien (315)
3.7.1 Probeninformation
Probe 31 und 32 stammten von klinisch gesunden Blutspendern ohne Hinweis auf eine Gastroenteritis oder Yersinien-assoziierter Folgeerkrankung in der Anamnese.
3.7.2 Ermittlung der Zielwerte
Zur Festlegung der qualitativen Zielwerte wurde der Modal der Referenzlaboratorien herangezogen. Zielwerte und Bestehensquoten können Tabelle 7 [Tab. 7] entnommen werden.
Tabelle 7: Yersinien spezifischer AK-Nachweis: Qualitative und quantitative Zielwerte sowie entsprechende Bestehensquoten für die Ringversuchsproben 2011
Bei den negativen Proben wurde für die quantitativen Messungen ein Bewertungsbereich von 0 bis zum Cutoff-Titer von <100 zugelassen.
3.7.3 Diagnostische Gesamtbewertung und Kommentar zu den Testergebnissen
In der Probe 31 wurden in den Untersuchungen der Referenzlaboratorien (N=6) keine spezifischen Antikörper nachgewiesen. Der serologische Befund der Probe 32 mit positiver IgG-, negativer IgM- und negativer bzw. grenzwertiger IgA-Reaktivität spricht für die Konstellation einer Seronarbe.
Wie in den Vorjahren bereitet der IgA-Nachweis mittels ELISA und Blot in der negativen Probe die größten Schwierigkeiten (Bestehensquote 71,0 bzw. 69%). Die diagnostische Gesamtbewertung wurde von nur 71,7% der Teilnehmer vs. 89,2% für Probe 32 korrekt angegeben.
IgA-Antikörper können nach einer Infektion mit Yersinien bis zu zwei Jahre persistieren, allerdings auch Hinweise auf Folgeerkrankungen wie eine reaktive Arthritis geben. Deshalb wurde für die Probe 32 auch der Hinweis auf eine Folgeerkrankung bei der Bewertung berücksichtigt.
Im Vergleich zum Vorjahr unwesentlich veränderte Bestehensquoten können für die WIDAL-Tests verzeichnet werden (83,3–100%). Der spezifische Antikörpernachweis mittels ELISA bzw. Immunoblot für IgG- und IgM-Antikörper liegt für die negative Probe 31 mit den diesjährigen Ergebnissen hinter den Vorjahren (Bestehensquoten 81,3–96,6%).
3.8 Antikörper gegen Bordetella pertussis (317)
3.8.1 Probeninformation
Probe 62 stammte von einem klinisch gesunden Blutspender ohne Hinweis auf eine Infektion. Die positive Probe 61 wurde einer Patientin entnommen mit Z.n. klinisch und serologisch gesicherter Reinfektion durch B. pertussis vor 3 Monaten. Enthalten war der spezifische Antikörpernachweis gegen folgende Antigene: IgG-anti PT (101 IU/mL), IgG-anti FHA (400 IU/mL), IgA-anti PT (14 IU/mL), IgA-anti FHA (110 IU/mL) bei negativen IgM-Aktivitäten. Wegen der bekannten Heterogenität der quantitativen Testergebnisse verschiedener Hersteller wurden nur qualitative Ergebnisse zertifiziert.
3.8.2 Ermittlung der Zielwerte
Zur Festlegung der qualitativen Zielwerte wurde der Modal der Ergebnisse der Referenzlaboratorien herangezogen (vgl. Tabelle 8 [Tab. 8]), zusätzlich wurde die Analyse des Referenzzentrums einbezogen. Die quantitativen Messungen wurden wissenschaftlich ausgewertet, aber nicht zertifiziert.
Tabelle 8: Bordetella pertussis spezifischer Ak-Nachweis: Qualitative und quantitative Zielwerte sowie entsprechende Bestehensquoten für die Ringversuchsproben 2011
3.8.3 Diagnostische Gesamtbewertung und Kommentar zu den Testergebnissen
Für den spezifischen IgA-, IgG- und IgM-Nachweis wurde von den Teilnehmern überwiegend Pertussis-Toxin (PT) und Filamentöses Hämagglutinin (FHA)-ELISA verwendet.
Schwächen zeigten sich im Immunoblot für den spezifischen IgM-Nachweis der positiven Probe 61 mit einer Bestehensquote von 80%, insgesamt liegen sämtliche Bestehensquoten allerdings in einem sehr guten Bereich (80,0–100%).
Wegen der ausgesprochen heterogenen Bedingungen bei der quantitativen Testung wurden nur die qualitativen Ergebnisse bewertet.
Der Nachteil aller serologischen Pertussis-Testsysteme, die FHA in der Antigenmischung enthalten, liegt darin, dass nicht zwischen einer Infektion mit B. pertussis und B. parapertussis unterschieden werden kann, da Antikörper gegen FHA bei beiden Infektionen in gleichem Maße gebildet werden [5]. Die von den Referenzlaboratorien empfohlenen PT-ELISAs, die eine quantitative Angabe in IU/ml erlauben, wurden nur von ca. 62 Teilnehmern durchgeführt.
Schwierigkeiten bereitete die Einordnung der Probe 61 als grenzwertig, nicht zuletzt vermutlich wegen der niedrigen Bestehenquote beim IgM-Immunoblot, mit einer Gesamtbestehensquote von nur 82,9%.
3.9 Antikörper gegen Diphterietoxoid (318)
3.9.1 Probeninformation
Alle Proben wurden klinisch unauffälligen, gesunden Blutspendern mit positiver Impfanamnese entnommen.
3.9.2 Ermittlung der Zielwerte
Der Modal der Ergebnisse aus den Referenzlaboratorien wurde als qualitativer, der Median als quantitativer Zielwert festgelegt. Zielwerte, Bewertungsbereiche und Bestehensquoten finden sich in Tabelle 9 [Tab. 9].
Tabelle 9: Diphtherie-Toxoid-Ak: Qualitative und quantitative Zielwerte sowie entsprechende Bestehensquoten für die Ringversuchsproben 2011
Die Probe 32 wurde auf einen festen Bewertungsbereich mit Konzentrationen von 0 bis 0,100 IU/ml festgesetzt. Für die Proben 31, 61 und 62 wurde ein Bewertungsbereich mit einer Schwankungsbreite von ±40% um den ermittelten Zielwert zugelassen.
3.9.3 Diagnostische Gesamtbewertung und Kommentar zu den Testergebnissen
Bei den Spendern der Probe 32 und 61 ist aus serologischen Gesichtspunkten kein ausreichender Immunschutz vorhanden. Beim Spender der Probe 31 sollte eine Auffrischimpfung in ca. 5–10 Jahren durchgeführt werden. Auch der Impftiter in Probe 62 war noch ausreichend hoch, eine Auffrischimpfung könnte jedoch zu einem langfristigen Immunschutz führen. Wie bei der Antikörperbestimmung gegen Tetanus ist die Bestimmung der Antikörper gegen Diphterietoxoid vor allem zur Beurteilung der Immunfunktion bei Verdacht auf humoralen Immundefekt oder zur Beurteilung eines Impferfolgs bei Patienten mit Immundefizienz indiziert.
Die Bestehensquoten für die qualitativen Ergebnisse waren mit 83,7 bis 100% etwas niedriger als in den Vorjahren mit dem schwächsten Ergebnis für die niedrig positive Probe 61. Auch die quantitative Analytik fiel mit einer Bestehensquote von 77,1–94,1% schlechter aus mit wiederum niedrigstem Ergebnis für die Probe 61. Die diagnostische Gesamtbewertung führte auf Grund der kulanten Bewertung jedoch zu Bestehensquoten von 96,7 bis 100%.
3.10 Campylobacter (319)
3.10.1 Probeninformation
Probe 31 wurde einem gesunden jungen Blutspender ohne Hinweise auf eine gastroenteritische Erkrankung in der kürzer zurückliegenden Anamnese entnommen. Probe 32 stammt von einer Patientin ca. 3–4 Wochen nach kulturell gesicherter C. jejunii-Infektion.
3.10.2 Ermittlung der Zielwerte
Der Modal der Teilnehmerergebnisse wurde als qualitativer, der Median als quantitativer Zielwert festgelegt. Zielwerte, Bewertungsbereiche und Bestehensquoten finden sich in Tabelle 10 [Tab. 10].
Tabelle 10: Campylobacter-Serologie: Darstellung der qualitativen und quantitativen Zielwerte sowie der Bestehensquoten für die Ringversuchsproben des Jahres 2010
3.10.3 Diagnostische Gesamtbewertung und Kommentar zu den Testergebnissen
Probe 31 wurde als negativ und ohne Hinweis auf eine Infektion bewertet. Die positive Probe 32 war testabhängig reaktiv bzw. schwach reaktiv in der KBR und für spezifische IgG- und IgA-Antikörper.
Die Heterogenität der verwendeten serologischen Tests spiegelt sich in den variablen Gesamtbestehensquoten wider, die bei eindeutiger klinischer Diagnose und klaren konventionellen mikrobiologischen Befunden nur zwischen 63,6 und 100% lagen. Den offensichtlichen Schwierigkeiten der serologischen Diagnostik entsprechend wurde bei der klinischen Bewertung erneut großzügig verfahren. Bei positiver Bewertung entsprechend den klinischen Informationen (Goldstandard) hätten lediglich 33% der Teilnehmer im IgG-ELISA und 60% im IgA-ELISA den Versuch bestanden. Für die Immunoblots hätten sich dann folgende Gesamtbestehensquoten ergeben: IgG-Blot: 3,2%. IgA-Blot: 31%. Die Befunde zeigen unverändert zu den Vorjahren die Grenzen der derzeit verfügbaren serologischen Diagnostik zum Nachweis akuter Campylobacter-Infektionen auf.
3.11 Procalcitonin (320)
3.11.1 Probeninformation
Die negativen Proben 32 und 62 stammen von gesunden, negativ vorgetesteten Blutspendern. Proben 31 und 61 wurden aus Rückstellproben septischer Intensivpatienten gepoolt.
3.11.2 Ermittlung der Zielwerte
Der Modal der Teilnehmerergebnisse wurde als qualitativer, der Median als quantitativer Zielwert festgelegt. Zielwerte, Bewertungsbereiche und Bestehensquoten finden sich in Tabelle 11 [Tab. 11].
Tabelle 11: Procalcitonin: Qualitative und quantitative Zielwerte sowie entsprechende Bestehensquoten für die Ringversuchsproben 2011
Für die positiven Proben 31 und 61 wurde als Zielwert 1,38 bzw. 14,2 ng/ml festgelegt. Die Zielwerte der negativen Proben lag für Probe 32 bei 0–0,500 und Probe 62 bei 0–0,050 ng/dl.
3.11.3 Diagnostische Gesamtbewertung und Kommentar zu den Testergebnissen
Die Gesamtbestehensquoten der negativen Proben 32 und 62 für die unterschiedlichen serologischen Methoden liegen zwischen 91,3 und 100%. Demzufolge zeigte sich auch eine sehr gute diagnostische Gesamtbewertung von 98,3 und 100%.
Die aus den Vorjahren bekannte herstellerabhängige Diskrepanz zwischen den einzelnen Ergebnissen erforderte die Vergabe verschiedener Zielbereiche.
Unter diesen Voraussetzungen wurden Bestehensquoten von 68,0 bis 100% erreicht bei einer diagnostischen Gesamtbewertung von 75 und 81,3%.
3.12 Antikörper gegen Streptokokken (321)
3.12.1 Probeninformation
Probe 31 und 61 wurden klinisch unauffälligen, gesunden Blutspendern entnommen. Für die Herstellung der positiven Proben wurden Seren eines Patienten mit Z.n. Streptokokkenangina (Probe 32) bzw. Erysipel (Probe 62) nach abgeschlossener Therapie und eines gesunden Blutspenders gepoolt.
3.12.2 Ermittlung der Zielwerte
Für die Ermittlung der Zielwerte für die qualitative Bestimmung von Anti-Streptolysin-O und Anti-Streptodornase (DNAse B)-Antikörpern wurde methodenabhängig bewertet. Für jedes Verfahren wurde der Modal bzw. der Median der Teilnehmerergebnisse ermittelt und bei positiven Proben ein Bewertungsbereich von ±27% um den methoden-abhängigen Zielwert zugelassen. Der Bewertungsbereich der negativen Proben wurde von 0 bis zum Cutoff-Wert von 200 IU/ml definiert.
Zielwerte, Bewertungsbereiche und Bestehensquoten finden sich in Tabelle 12 [Tab. 12].
Tabelle 12: Streptokokken-Serologie: Qualitative und quantitative Zielwerte sowie entsprechende Bestehensquoten für die Ringversuchsproben 2011
3.12.3 Kommentar zu den Testergebnissen
Für die unterschiedlichen Methoden lagen die Bestehensquoten zur Ermittlung der spezifischen Immunglobulintiter gegen Streptodornase und Streptokokken O-Lysin im Bereich von 81,5–100% und konnten damit das Vorjahresniveau weiterhin anheben. Die negativen Proben 31 und 61 sind dabei beinahe durchweg von allen Teilnehmern korrekt bewertet worden.
3.13 Rheumafaktor (323)
3.13.1 Probeninformation
Alle Proben 31, 32, 61 und 62 wurden klinisch gesunden Blutspendern entnommen.
3.13.2 Ermittlung der Zielwerte
Der Ringversuch wurde methodenabhängig bewertet Für jedes Verfahren wurde der Modal bzw. der Median der Teilnehmerergebnisse ermittelt und bei der grenzwertig positiven Probe 31 ein Bewertungsbereich von ±27% um den methoden-abhängigen Zielwert zugelassen. Der Bewertungsbereich der negativen Proben wurde von 0 bis zum Cutoff-Wert von <20 IU/ml definiert.
Zielwerte, Bewertungsbereiche und Bestehensquoten finden sich in Tabelle 13 [Tab. 13].
Tabelle 13: Rheumafaktor-Bestimmung: Qualitative und quantitative Zielwerte sowie entsprechende Bestehensquoten für die Ringversuchsproben 2011
3.13.3 Kommentar zu den Testergebnissen
Die Bestehensquoten lagen mit 62,5–100% etwas unter dem Vorjahresbereich. Die größten Schwierigkeiten bereitete die Bewertung der grenzwertig positiven Probe 31.
3.14 Antikörper gegen Mycoplasma pneumoniae (324)
3.14.1 Probeninformation
Probe 61 wurde einer klinisch unauffälligen Studentin in den Sommermonaten ohne Hinweis auf einen respiratorischen Infekt in der kürzer zurückliegenden Anamnese entnommen. Probe 62 wurde von einem kommerziellen Hersteller zur Verfügung gestellt und zeigte einen epidemiologisch auffälligen Befund, vereinbar mit einer Re-Infektion oder auch einer nicht lange zurückliegenden Infektion mit positivem spezifischen IgG-, schwach reaktivem IgM- und positivem IgA-Nachweis in den verschiedenen Testsystemen.
3.14.2 Ermittlung der Zielwerte
Die Zielwerte wurden durch den Modal bzw. Median der qualitativen und quantitativen Ergebnisse der Referenzlaboratorien festgelegt. Die entsprechenden Zielwerte sowie die dazugehörigen Bewertungsbereiche und Bestehensquoten sind in Tabelle 14 [Tab. 14] abgebildet.
Tabelle 14: Mycoplasma pneumoniae Antikörper Bestimmung: Qualitative und quantitative Zielwerte sowie entsprechende Bestehensquoten für die Ringversuchsproben 2011
3.14.3 Diagnostische Gesamtbewertung und Kommentar zu den Testergebnissen
Die positive Probe 62 führte insgesamt zu niedrigeren Bestehensquoten als die negative Probe 61, dennoch konnten erfreuliche Ergebnisse verzeichnet werden (83,8–100%; diagnostische Gesamtbeurteilung: 83,5 und 98,2%).
3.15 Antikörper gegen Coxiella burnetii (325)
3.15.1 Probeninformation
Probe 61 wurde einem klinisch unauffälligen, negativ getesteten Blutspender entnommen. Probe 62 stammte von einem Patienten mit Z.n. akuter C. burnetii-Infektion vor ca. 8–10 Monaten.
3.15.2 Ermittlung der Zielwerte
Der Modal der Ergebnisse aus den Referenzlaboratorien wurde als qualitativer, der Median als quantitativer Zielwert festgelegt. Zielwerte, Bewertungsbereiche und Bestehensquoten finden sich in Tabelle 15 [Tab. 15].
Tabelle 15: Coxiella burnetii Antikörper Bestimmung: Qualitative und quantitative Zielwerte sowie entsprechende Bestehensquoten für die Ringversuchsproben 2011
3.15.3 Diagnostische Gesamtbewertung und Kommentar zu den Testergebnissen
Für die Probe 61 ergab sich kein serologischer Hinweis auf eine Infektion, die Probe wurde mit einer Gesamtbestehensquote von 97,5 (klinische Bewertung) negativ bewertet.
Die positive Probe 62 mit einem KBR-Titer von 20 (Median), IgG-Phase II-Titern von 320 (Median IFT) und IgG-Phase I-Titern von 40 (Median IFT) und grenzwertig reaktiven IgM-Nachweisen ist mit einem längere Zeit zurückliegenden Infektionszeitpunkt vereinbar. Die Gesamtbestehensquoten liegen für die einzelnen Verfahren zwischen 55,9 und 100%, für die klinische Gesamtbewertung bei 83,5%.
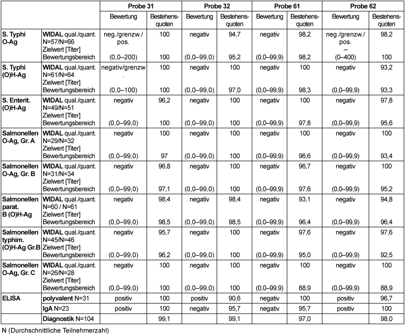
3.16 Antikörper gegen Salmonellen (331)
3.16.1 Probeninformation
Probe 32 und 61 wurde einem klinisch gesunden Spender ohne Hinweise auf eine Gastroenteritis in der Anamnese entnommen. Probe 31 und 62 wurden einem Patienten bzw. einer Patientin ca. 6 Monate nach einer kulturell gesicherten Typhusinfektion (Salmonella enterica subsp. enterica Serovar Typhi entnommen.
3.16.2 Ermittlung der Zielwerte
Der Modal der Ergebnisse aus den Referenzlaboratorien wurde als qualitativer, der Median als quantitativer Zielwert festgelegt. Zielwerte, Bewertungsbereiche und Bestehensquoten finden sich in Tabelle 16 [Tab. 16].
Tabelle 16: Salmonellen-Serologie: Qualitative und quantitative Zielwerte sowie entsprechende Bestehensquoten für die Ringversuchsproben 2011
3.16.3 Diagnostische Gesamtbewertung und Kommentar zu den Testergebnissen
ELISA und WIDAL wurden bei unterschiedlicher Sensitivität differenziert bewertet. Der WIDAL-Test gilt als der am häufigsten angewendete serologische Test bei V.a. Salmonellen-Infektionen und misst die agglutinierenden Antikörper-Titer gegen das oberflächliche Lipopolysaccharid (LPS) “O” und das Geißel-Antigen “H”. Als typische Nachteile beim WIDAL gelten wie bei allen Agglutinationsreaktionen u.a. die relativ niedrige Spezifität und Sensitivität [6], [7]. Auf Grund der niedrigen Antikörper-Titer gegen S. Typhi-O von 200 (Probe 31) bzw. 100 (Probe 61) und gegen S. Typhi-OH von 100 (Probe 31) wurden die Testausfälle im WIDAL-Test großzügig bewertet und es wurden auch negative Ergebnisse anerkannt. Teilnehmer mit negativem Testausfall sollten allerdings ihre Testsysteme im Hinblick auf die Sensitivität überprüfen. Die Gesamtbestehensquoten lagen bei sehr großzügiger Bewertung mit 88,9–100% in einem sehr guten Bereich.
3.17 Antikörper gegen Borrelia burgdorferi (332)
3.17.1 Probeninformation
Probe 31 stammt von einer asymptomatischen Patientin mit bekannt positivem Befund (Seronarbe) nach mehrfacher Zeckenexposition. Probe 32 wurde einem Patienten mit Z.n. nach bekannter Treponema pallidum-Infektion entnommen (TPPA: 640; VDRL: 1; FTAabs-IgM: negativ). Probe 62 wurde einem klinisch gesunden Blutspender ohne sichtbaren oder erinnerlichen Zeckenstich in der Anamnese entnommen. Probe 61 stammt von einem Patienten mit Z.n. Therapie eines Erythema migrans vor 10 Wochen.
3.17.2 Ermittlung der Zielwerte
Der Modal der Ergebnisse aus den Referenzlaboratorien wurde als qualitativer, der Median als quantitativer Zielwert festgelegt. Zielwerte, Bewertungsbereiche und Bestehensquoten finden sich in Tabelle 17 [Tab. 17]. Die aufgeschlüsselten Bandenmuster für die IgG- und IgM-Immunoblots sind in Abbildung 1 [Abb. 1], Abbildung 2 [Abb. 2], Abbildung 3 [Abb. 3] und Abbildung 4 [Abb. 4] abgebildet.
Tabelle 17: Borrelien-Serologie: Qualitative und quantitative Zielwerte sowie entsprechende Bestehensquoten für die Ringversuchsproben 2011
Abbildung 1: Herstellerabhängige Wiederfindungsrate in % der dokumentierten IgG-Immunoblotbanden (Borrelien): RV 2011 Probe 31
Abbildung 2: Herstellerabhängige Wiederfindungsrate in % der dokumentierten IgM-Immunoblotbanden (Borrelien): RV 2011 Probe 31
Abbildung 3: Herstellerabhängige Wiederfindungsrate in % der dokumentierten IgG-Immunoblotbanden (Borrelien): RV 2011 Probe 61 
Abbildung 4: Herstellerabhängige Wiederfindungsrate in % der dokumentierten IgM-Immunoblotbanden (Borrelien): RV 2011 Probe 61
3.17.3 Diagnostische Gesamtbewertung und Kommentar zu den Testergebnissen
Probe 62 zeigte keinen serologischen Hinweis auf eine Infektion. Für Probe 31 waren spezifische IgG-Antikörper in ELISA und Immunoblot nachweisbar bei negativen IgM-Antikörpertests (ELISA-IgG: positiv, ELISA-IgM: negativ, IFT-IgG Titer [Median]: 40, IFT-IgM: negativ, IgG-Immunoblot: positiv für: p83/p100, VlsE (stark positiv), p41, p39, OspC, p17/p18, IgM-Immunoblot: negativ: p41 bzw. keine Bande in cut-off-Intensität). Probe 32 stammt von einem Patienten mit Z.n. Syphilis (TPPA: 640; VDRL: 1; FTAabs-IgM: negativ). Bei eindeutig negativem Befund der Probe für Borrelien-spezifische Antikörper (Ermittlung durch die Zielwertlaboratorien mittels ELISA und BLOT), erhielt die Probe entsprechend den Richtlinien zur Ringversuchsbewertung einen negativen Zielwert. Für die Screeningtests wurden negative und grenzwertige Ergebnisse akzeptiert.
Bei sehr sensitiven Antikörpertests besteht je nach Antigenpräparation das Problem von Kreuzreaktionen mit Antikörpern gegen andere Erreger (z.B. gegen nicht humanpathogene Borrelia-Arten, andere Spirochäten wie Treponema pallidum oder Treponema denticola, Leptospiren, Epstein-Barr-Virus oder Zytomegalievirus). Auch hier wurden (wie schon im November 2007) bei einigen Borrelien-spezifischen Tests auch falsch reaktive Ergebnisse beobachtet. Parallel zur Borrelien-Serologie führten 37% der Laboratorien einen TPPA/TPHA durch, um falsch reaktive Befunde bei bestehender oder abgelaufener Syphilisinfektion auszuschließen. Die Bestehensquoten weisen bei eindeutiger Befundkonstellation der Proben eine große Heterogenität auf (Gesamtbestehensquoten: CLIA, ELISA und Immunoblot: 4,8–100%). Die graphische Darstellung der herstellerabhängigen Wiederfindungsrate der Blotbanden findet sich in Abbildung 1 [Abb. 1], Abbildung 2 [Abb. 2], Abbildung 3 [Abb. 3], Abbildung 4 [Abb. 4]. Die klinische Bewertung aller Proben ist jedoch insgesamt erfreulich (Bestehensquoten: 86,8 bis 99,4%).
3.18 Antikörper gegen Helicobacter pylori (334)
3.18.1 Probeninformation
Die Proben 31 und 61 wurden gesunden Blutspendern entnommen ohne positive Ulcus-Anamnese. Probe 32 und 62 stammen von Helicobacter pylori-besiedelten Patienten.
3.18.2 Ermittlung der Zielwerte
Der Modal der Ergebnisse aus den Referenzlaboratorien wurde als qualitativer Zielwert festgelegt. Zielwerte, Bewertungsbereiche und Bestehensquoten finden sich in Tabelle 18 [Tab. 18].
Tabelle 18: Helicobacter-Serologie: Qualitative und quantitative Zielwerte sowie entsprechende Bestehensquoten für die Ringversuchsproben 2011
3.18.3 Diagnostische Gesamtbewertung und Kommentar zu den Testergebnissen
Für die Proben 31 und fand sich serologisch kein Hinweis auf eine Helicobacter pylori-Infektion, während in den Proben 32 und 62 H. pylori spezifische IgG-Antikörper und IgA-Antikörper nachweisbar waren.
Die Bestehensquoten sind mit rund 82 bis 100% für die Analytik nur etwas niedriger als in den Vorjahren. Die klinische Gesamtbeurteilung lag zwischen rund 81 und 100%, wobei der niedrigste Wert bei der negativen Probe 61 wiederum beim spezifischen IgA-Antikörper-Nachweis mittels ELISA erzielt wurde.
4 Diskussion
Die vorliegende Evaluation liefert eine standardisierte Zusammenfassung der infektionsserologischen Ringversuche aus dem Jahr 2011. Die hier vorgestellten Ergebnisse bestätigen überwiegend die Ergebnisse und Trends vergangener Jahre. Die einzelnen Gesamtbestehensquoten für die verschiedenen Versuchsteile hängen wie gewohnt von der Standardisierung der entsprechenden Parameter und der Güte der jeweils verwendeten kommerziellen Reagenzien ab. Der Einsatz unterschiedlicher Herstellersysteme führt zu starken Schwankungen in der Ergebnisqualität, was erhebliche Einbußen bei der Interpretation der Befunde bedeuten kann.
Die bekannt hohe Qualität [3], [8], [9] der klassischen infektionsserologischen Tests wie der Borrelien- und Syphilisserologie wurde auch in diesem Jahr bestätigt, allerdings ergaben sich auf Grund der hohen Sensitivität der Borrelienserologie mit resultierender Kreuzreaktivität eine Reihe von falsch reaktiven Ergebnissen. Lediglich 37% der teilnehmenden Laboratorien führten parallel einen TPPA/TPHA durch zum Ausschluss falsch reaktiver Befunde bei bestehender oder abgelaufener Syphilisinfektion. Die Gesamtbeurteilung der im VDRL grenzwertig reaktiven Proben in der Syphilisdiagnostik hinsichtlich der Therapiebedürftigkeit und der Zulassung als Blutspender führte wiederholt zu ungenügenden Ergebnissen. Eine weitere Verbesserung der diagnostischen Bewertung in diesen Bereichen wäre wünschenswert.
Methodische Limitationen zeigten sich wie in den Vorjahren [3] insbesondere an der derzeit verfügbaren Serodiagnostik zum Nachweis akuter Campylobacter- oder Pertussis-Infektionen. Es konnte bislang auch keine Steigerung der Teilnehmerzahl der von den Referenzlaboratorien empfohlenen PT-ELISAS für die Pertussis-Serologie festgestellt werden.
Im Bereich der Salmonellendiagnostik ergaben sich als Folge des grundsätzlich relativ niedrig sensitiven WIDAL-Tests eine Reihe falsch negativer Befunde, weshalb die einzelnen Methoden differenziert bewertet werden mussten. Teilnehmer mit negativem Testausfall sollten ihre Testsysteme im Hinblick auf die Sensitivität überprüfen.
Die diagnostische Aussagekraft dieser Parameter sollte demzufolge weiterhin kritisch betrachtet werden.
In der Differenzialdiagnose einer Vielzahl von Infektionskrankheiten kommt der Infektionsserologie als Teil der umfassenden mikrobiologischen Diagnostik ein nach wie vor wichtiger Stellenwert zu. Durch Ringversuche und deren Auswertung können wichtige Lücken in der Einheitlichkeit und Qualität der infektionsserologischen Diagnostik, die auch Tests mit bislang noch geringer Standardisierung umfasst, zunehmend geschlossen werden. Die vorliegende Evaluation soll dabei zur kontinuierlichen wissenschaftlichen Diskussion anregen und dazu anleiten, eine stete Verbesserung diagnostischer Strategien und Verfahren in der mikrobiologischen Diagnostik herbeizuführen und dauerhaft zu gewährleisten.
Anmerkungen
Interessenkonflikte
Die Autoren erklären, dass sie keine Interessenkonflikte in Zusammenhang mit diesem Artikel haben.
Danksagung
Wir bedanken uns auch im Namen der beteiligten Fachgesellschaften ganz herzlich für die kontinuierliche und fachlich qualifizierte Mitarbeit der Expertenlaboratorien der „Bacteriologic Infection Serology Study Group of Germany (BISSGG)“ und der Mitarbeiter von INSTAND e.V. Düsseldorf bei der Durchführung der Ringversuche.
Literatur
[1] Bundesärztekammer. Richtlinie der Bundesärztekammer zur Qualitätssicherung laboratoriumsmedizinischer Untersuchungen. Gemäß Beschluss des Vorstands der Bundesärztekammer vom 23.11.2007, veröffentlicht im Deutschen Ärzteblatt, Jg. 105, Heft 7, 15. Februar 2008, Seite A 341-355, zuletzt geändert/ergänzt durch Beschluss des Vorstands der Bundesärztekammer vom 23.08.2013, veröffentlicht im Deutschen Ärzteblatt Jg.110, Heft 39, 27.09.2013, Seite A 1822. Verfügbar unter: http://www.bundesaerztekammer.de/downloads/Rili-BAeK-Labor_092013.pdf[2] Müller I, Besier S, Hintereder G, Brade V, Hunfeld KP. Zur Qualität der bakteriologischen Infektionsserologie in Deutschland: Eine Metaanalyse der infektionsserologischen Ringversuche des Jahres 2006 – Beitrag der Qualitätssicherungskommission der DGHM. GMS Z Forder Qualitatssich Med Lab. 2009;1:Doc04. DOI: 10.3205/lab000004
[3] Maneg D, Müller I, Hunfeld KP. Ergebnisse des bakteriologisch-infektionsserologischen INSTAND-Ringversuchs 2010: Eine zusammenfassende Analyse – Beitrag der Qualitätssicherungskommission der Deutschen Gesellschaft für Hygiene und Mikrobiologie (DGHM). GMS Z Forder Qualitätssich Med Lab. 2014;5:Doc02. DOI: 10.3205/lab000012
[4] Robert Koch-Institut. Chlamydiosen (Teil 1): Erkrankungen durch Chlamydia trachomatis. RKI-Ratgeber für Ärzte. Verfügbar unter: http://www.rki.de/DE/Content/Infekt/EpidBull/Merkblaetter/Ratgeber_Chlamydia_Teil1.html [abgerufen am 18.05.2014]
[5] Bergfors E, Trollfors B, Taranger J, Lagergard T, Sundh V, Zackrisson G. Parapertussis and pertussis: differences and similarities in incidence, clinical course, and antibody responses. Int J Infect Dis. 1999 Spring;3(3):140-6. DOI: 10.1016/S1201-9712(99)90035-8
[6] Khoharo HK. A comparative study of the typhidot (Dot-EIA) and Widal tests in blood culture positive cases of typhoid fever. Trop Doct. 2011;41(3):136-8. DOI: 10.1258/td.2011.100406
[7] Das S, Rajendran K, Dutta P, Saha TK, Dutta S. Validation of a new serology-based dipstick test for rapid diagnosis of typhoid fever. Diagn Microbiol Infect Dis. 2013 May;76(1):5-9. DOI: 10.1016/j.diagmicrobio.2013.01.0128
[8] Wittek M, Müller I, Hunfeld KP. Ergebnisse des bakteriologisch-infektionsserologischen INSTAND-Ringversuchs 2009: Eine zusammenfassende Analyse – Beitrag der Qualitätssicherungskommission der Deutschen Gesellschaft für Hygiene und Mikrobiologie (DGHM). GMS Z Forder Qualitatssich Med Lab. 2013;4:Doc02. DOI: 10.3205/lab000009
[9] Coste O, Müller I, Brade V, Hunfeld KP; Bacteriologic Infection Serology Study Group of Germany (BISSGG). Ergebnisse des bakteriologisch-infektionsserologischen INSTAND Ringversuchs 2007: Ein zusammenfassender Bericht – Beitrag der Qualitätssicherungskommission der Deutschen Gesellschaft für Hygiene und Mikrobiologie (DGHM). GMS Z Forder Qualitatssich Med Lab. 2010;2:Doc01. DOI: 10.3205/lab000005
Anhänge
| Anhang 1 | Liste der Teilnehmer der BISSGG (Anhang1_lab000014.pdf, application/pdf, 37.19 KBytes) |



