[Hemodynamic analysis and classification of vessel structures of patients with cerebral arterioveneous malformations]
Nils Daniel Forkert 1Dennis Säring 1
Jens Fiehler 2
Till Illies 2
Dietmar Möller 3
Heinz Handels 1
1 Institut für Medizinische Informatik, Universitätsklinikum Hamburg-Eppendorf, Deutschland
2 Klinik und Poliklinik für Neuroradiologische Diagnostik und Intervention, Universitätsklinikum Hamburg-Eppendorf, Deutschland
3 Department Informatik, Arbeitsbereich Technische Informatiksysteme, Universität Hamburg, Deutschland
Abstract
Background: The cerebral arteriovenous malformation (AVM) is a congenital disorder of blood vessels within the brain. An AVM represents an abnormal direct connection between arteries and veins, without normal capillaries between them. Thus, blood flow in other areas of the brain may decrease. Abnormal flow conditions in veins increases the risk of a hemorrhagic stroke and neurological deficit.
Objective: For therapy planning information about localization and quantification of the AVM, detection of feeding arteries (Feeders) and draining veins, and the evaluation of the haemodynamics are required. In this paper we present a method for the automatic detection of the nidus of arterioveneous malformations, its feeding arteries, draining veins and “en-passage” vessels as well as parameters describing the haemodynamics. Spatiotemporal 4D magnetic resonance angiography (MRA) image datasets and 3D MRA datasets with high spatial resolution were acquired for analyzing AVMs.
Methods: Initially the vessel system of a 3D MRA dataset is segmented. Then using a new method characterizing the haemodynamics by definition of a time point of inflow based on curve fitting the temporal intensity curves of 4D MRA image sequences are analyzed voxelwise. Additionally the velocity of the blood flow is approximated. Based on a non-linear registration method the haemodynamic information can be transferred automatically to the segmented vessel system. Different vessel structures can be characterised automatically by a combined analysis of the intensity, velocity and a relative time point of blood inflow.
Results: 19 datasets of patients with a diagnosed AVM were available for evaluation of the proposed method. Artefacts in terms of strong temporal leaps between the time points of inflow of two neighbouring voxels were significantly reduced after the new method extracting the time point of inflow has been applied. The automatic detection of the nidus was validated on the basis of manual segmentation. Experimental results showed a mean volume similarity of approx. 88%. Draining veins and feeding arteries were automatically detected with an accuracy of 95%.
Conclusion: The proposed method allows a robust and fully automatic detection of the AVM nidus as well as a characterization of vessels. A visual rating by neuroradiology experts showed that the proposed method describing a time point of inflow resulted in a better presentation of the blood flow than by the results achieved by the usage of conventional parameters. The detection of feeding arteries and draining veins is supporting the physicians in their spatial evaluation of arterioveneous malformations. The detection of the “en-passage” vessels is especially helpful for the planning of surgical resections.
Keywords
medical imaging, cerebral blood vessels, arteriovenous malformations, regional blood flow, hemodynamic analysis, registration, segmentation
1 Einleitung
Die zerebrale arteriovenöse Malformation (AVM) ist eine Fehlbildung des Gefäßsystems im Gehirn. Eine AVM zeichnet sich durch ein fehlendes Kapillarbett aus, so dass in diesem Bereich das sauerstoffreiche Blut von den arteriellen Gefäßen direkt in die venösen Gefäße geleitet wird. Das Kapillarbett dient einerseits der Reduktion des Blutdruckes als auch dem Austausch von Stoffwechselprodukten. Ein fehlendes Kapillarbett führt daher zu einem anormal hohen Druck in den venösen Gefäßen. Hieraus resultiert ein erhöhtes Risiko für eine intrazerebrale Blutung bedingt durch eine Ruptur der venösen Gefäße. In Deutschland wird pro Jahr bei ca. 800–1200 Patienten diese Erkrankung neu diagnostiziert. Das jährliche Risiko für eine Blutung liegt bei etwa 1–4% [1], hängt jedoch von einer Vielzahl verschiedener Risikofaktoren ab [2]. So verursacht nur etwa jede zweite AVM Letalität oder Morbidität mit bleibenden Defiziten. Es wird angenommen, dass die individuelle Anatomie und die jeweiligen hämodynamischen Verhältnisse der AVM einen entscheidenden Einfluss auf das Blutungsrisiko besitzen. Eine verlässliche Beurteilung des Blutungsrisikos ist mit dem derzeitigen medizinischen Kenntnisstand i.A. schwer möglich.
Das vorrangige Ziel einer invasiven AVM-Behandlung ist die vollständige Ausschaltung der AVM aus dem Blutkreislauf. Dafür stehen u.a. endovaskuläre Embolisation, neurochirurgische Operation und stereotaktische Radiochirurgie sowie deren Kombination als Verfahren zur Verfügung [3]. Zur Abschätzung des chirurgischen Behandlungsrisikos wird häufig die so genannte Spetzler-Martin-Skala [4] verwendet. Anhand der Variablen AVM-Größe, Tiefe der venösen Drainage und Lokalisation werden den AVMs dabei bis zu 5 Punktwerte additiv zugeordnet. Mit ansteigender Punktzahl nehmen perioperative Morbidität und Mortalität zu. Für die Planung eines chirurgischen Eingriffs ist darüber hinaus auch die Detektion von zuleitenden Feeder, ableitenden Drainagevenen und „en passage“-Gefäße sowie die patientenindividuelle hämodynamischen Gegebenheiten von besonderem Interesse. Als „en passage“ gelten solche Gefäße, die in der näheren Umgebung zum AVM-Nidus verlaufen, jedoch keine direkte Verbindung zu ihm besitzen.
Für die Diagnostik der AVM werden unterschiedliche bildgebende Verfahren eingesetzt. MRA-Daten ermöglichen u.a. die Differenzierung von kleinen AVMs und die Erkennung von zuführenden und abführenden Gefäßen [5]. Zur Beurteilung der individuellen Hämodynamik ist die kontrastmittelbasierte digitale Subtraktionsangiographie (DSA) derzeit der Goldstandard. Diese Technik ermöglicht die Aufnahme einer Folge von 2D-Projektionsbildern mit einer zeitlichen Auflösung im Subsekundenbereich. Neben der fehlenden Tiefeninformation stellen die verwendeten ionisierenden Röntgenstrahlen, sowie Komplikationen bei der invasiven Aufnahmeprozedur eine Gefahr für den Patienten dar. Neue nicht-invasive 4D-MRA-Aufnahmetechniken ermöglichen räumlich-zeitliche (4D) Bildinformationen und erlauben so eine Reduktion des Risikos für den Patienten bei der bildgestützen Diagnostik.
Das Softwaresystem AnToNIa (Abk. f.: Analysis Tool for Neuro Imaging Data) wurde am Institut für medizinische Informatik des Universitätsklinikums Hamburg-Eppendorf zur kombinierten Visualisierung und Analyse von räumlichen und räumlich-zeitlichen MRT-Datensätzen entwickelt. Mit seiner Hilfe können nicht-invasive 3D- und 4D-MRT-Bildsequenzen kombiniert werden und anschließend die AVM qualitativ und quantitativ analysiert werden.
Die Anzahl der Veröffentlichungen, welche sich mit der Segmentierung, computergestützten Analyse und Visualisierung von Gefäßsystemen des Gehirns beschäftigen, ist hoch. Jedoch ist ein Segmentierungs- oder Analysetool speziell für die Problematik einer komplizierten arteriovenösen Malformation den Autoren nicht bekannt. Bullitt et al. [6] stellen die AVM mit Volume-Rendering Technik in Kombination mit den Oberflächenmodellen der Gefäße dar und ermöglichen so eine Visualisierung der komplizierten Struktur. Eine Kombination mit hämodynamischen Informationen wird dort nicht beschrieben.
Um die Größe und Lage einer AVM zu bestimmen, ist eine genaue Detektion des AVM-Nidus von zentraler Bedeutung. In der Literatur findet sich hierfür lediglich die Arbeit von Nyui et al. [7], die auf Faktoranalyse beruht und ein Vorwissen über arterielle, venöse und Rauschsignale voraussetzt.
Für die Beurteilung der AVM sind Informationen über die individuelle Struktur und die Hämodynamik von besonderem Interesse. Hierzu wird im Rahmen dieses Beitrages eine Methode für die Definition eines Einflusszeitpunktes anhand zeitlicher Signalverläufe vorgestellt. Aufbauend hierauf werden Verfahren zur automatischen Detektion des Nidus der arteriovenösen Malformation (AVM) sowie der zuleitenden (Feeder), ableitenden (Drainagevenen) und „en passage“-Blutgefäße präsentiert.
2 Material und Methoden
2.1 MRA-Datensätze
Für die Entwicklung und Evaluation der beschriebenen Methoden standen 18 Datansätze von Patienten mit diagnostizierter AVM zur Verfügung. Die MR-Messungen wurden auf einem 3 Tesla Trio Scanner der Firma Siemens unter Verwendung einer 8-Kanal-Phased-Array-Spule aufgenommen.
Die im Rahmen dieser Arbeit verwendeten 3D-TOF-Bildsequenzen (Abbildung 1, Mitte [Abb. 1]) wurden mit einer Repetitionszeit von 23 ms, einer Echozeit von 4,09 ms, einem Flipwinkel von 18°, 5 Schichtblöcken (Slabs) mit je 40 Schichten, einer Schichtdicke von 0,5 mm und einer In-Schichtauflösung von 0,47 mm x 0,47 mm aufgenommen. Nach einer geräteseitigen Vorverarbeitung der Slabs besteht jeder TOF-Datensatz aus 156 Schichten. Die TOF-Bildsequenzen ermöglichen auf Grund der hohen räumlichen Auflösung eine detaillierte Segmentierung des Gefäßsystems und eine Quantifizierung von Größe und Lage der AVM.
Abbildung 1: 3D Gefäßsystem mit AVM (links), TOF MRT (Mitte) und 3 TREAT Schichten (a-c) mit einem zeitlichem Abstand von 6 Sekunden (rechts)

Im Jahr 2005 wurden die technischen Einzelheiten der “time resolved echo shared angiographic technique” (TREAT) publiziert [8]. Diese ermöglicht eine kontrastmittelgestützte Datenakquisition mit einer zeitlichen Auflösung im Sub-Sekundenbereich. Bei dieser Technik werden parallele Bildgebungstechniken und Echo-Sharing kombiniert verwendet, um so eine möglichst hohe zeitliche Auflösung zu gewährleisten. Die TREAT-Sequenzen bilden die Grundlage für die zeitliche Analyse der Hämodynamik. Die im Rahmen dieser Arbeit verwendeten 4D-TREAT-Bildsequenzen (Abbildung 1, rechts [Abb. 1]) wurden mit einer Repetitionszeit von 2,54 ms, einer Echozeit von 0,69 ms, einem Flipwinkel von 20°, einer Schichtdicke von 5 mm und einer In-Schichtauflösung von 1,875 mm x 1,875 mm aufgenommen. Pro Patient standen ca. 100 3D-TREAT-Bildsequenzen mit einem zeitlichen Abstand von 0,5 Sekunden und jeweils 16 Schichten zur Verfügung. Bei der Aufnahme der Treat-Bildsequenzen wurde das Kontrastmittel MultiHance® von Altana (20 ml) verwendet.
Die beschriebenen Methoden wurden in dem Softwareprototypen AnToNIa (Analysis Tool for Neuro Imaging Data) unter Verwendung der Toolkits ITK & VTK implementiert. Klassen wurden problemorientiert angepasst und eigene Klassen in C++ implementiert.
2.2 Vorverarbeitung der räumlich hochauflösenden TOF-Bildfolgen
Die Time-of-Flight Datensätze werden mit der so genannten Multi-Slab-Technik aufgenommen. Hieraus resultieren jedoch Schicht-zu-Schicht Amplitudenvariationen, die durch die Imperfektionen des Schichtprofils hervorgerufen werden [9]. Um diese Amplitudenvariationen auszugleichen, werden benachbarte Schichtblöcke mit einer Überlappung von 20 bis 30% gemessen. Im Anschluss daran werden diese Überlappungen mathematisch mittels Durchschnittsbildung oder Bestimmen des Maximums kombiniert. Trotz der gerätetechnischen Vorverarbeitung kommt es im Bereich der Überschneidungen der einzelnen Schichtblöcke häufig zu einem Abfall der Amplitude, was bei einer Weiterverarbeitung zu ungewünschten Ergebnissen führen kann. Dieses Phänomen wird durch den Begriff des „Slab Boundary Artefakts“ (SBA) beschrieben. Zur automatischen Reduktion von Intensitätsinhomogenitäten in MR-Bildfolgen wurde das von Kholmovski et al. [10] vorgestellte Verfahren verwendet.
Zusätzlich wurde nach Korrektur des „Slab Boundary Artefakts“ die systematische Messabweichung (Bias Field) mittels der von Styner et al. [11] vorgeschlagenen Methode korrigiert. Abschließend wurde eine anisotrope Glättung [12] zur Reduktion von starkem Rauschen in den Bilddaten durchgeführt.
2.3 Kombination von TREAT- und TOF-Bildfolgen
2.3.1 Bestimmung der Einströmzeitpunkte mittels referenzbasierter Kurvenanpassung
Für die Definition eines Einflusszeitpunktes für einen Kontrastmittel-Bolus anhand eines zeitlichen Signalverlaufs wurden eine Vielzahl an Methoden vorgestellt. Für einen umfassenden Überblick wird an dieser Stelle auf die Arbeit von Shpilfoygel et al. verwiesen [13]. Eine häufig verwendete Methode ist es, den Einflusszeitpunkt direkt anhand von markanten Punkten des zeitlichen Signalverlaufs zu definieren. Beispiele hierfür sind “Time To Peak” (TP) und “Time to Peak Gradient” (TG) (siehe Abbildung 2a [Abb. 2]).
Abbildung 2: Konventionelle Parameter zur Definition eines Einflusszeitpunktes (a), zeitlicher Intensitätsverlauf (rot), Referenzkurve (blau), angepasster zeitlicher Intesitätsverlauf (grün) (b), Zwei Voxel aus einer 4D-TREAT-Schicht (c), Vergrößerung des rot umrandeten Bereichs (d), die dazugehörigen zeitlichen Intensitätsverläufe mit einem zeitlichen Abstand nach dem TP von 1,5 Sekunden (e)

Diese Parameter führten bei den vorliegenden 4D-TREAT-Bildfolgen teilweise zu unrealistischen Zeitabständen zwischen den Einflusszeitpunkten zweier direkt benachbarter Voxel (siehe Abbildung 2c–e [Abb. 2]).
Daher wurde eine Methode für die Bestimmung eines Einflusszeitpunktes entwickelt, die auf der Kurvenanpassung eines zeitlichen Signalverlaufs und einer Referenzkurve basiert, um so das Auftreten der beschriebenen Artefakte zu reduzieren.
Zur Analyse der Hämodynamik auf Basis der 4D-MRA-Bilddaten wird zunächst ein für Blutgefäße typischer Referenzsignalverlauf patientenindividuell extrahiert. Als Referenzkurve r(t) dient eine normierte, über die Signalverläufe aller Gefäßvoxel gemittelte Kurve. Dabei werden Signalverläufe mit atypischen Intensitätsverläufen nicht in der Berechnung mit eingeschlossen. Durch eine anschließende B-Spline-Interpolation kann die Referenzkurve auch zwischen den ermittelten Signalwerten ausgewertet werden. Somit ist eine genauere Abschätzung des Einflusszeitpunktes möglich.
Um für einen Voxel den Einflusszeitpunkt zu bestimmen wird der dazugehörige zeitlichen Signalverlauf ѕ(t) = (ѕ1,...,ѕm) an die Referenzkurve r(t) = (r1,...,rn) linear angepasst, so dass ||s(At + B) – r(t)||→ min gilt, wobei B die Verschiebung darstellt und A den Skalierungsfaktor. Der Faktor A dient dazu die Zeitachse zu skalieren um so die unterschiedlichen Geschwindigkeiten des Blutflusses zu berücksichtigen.
Bei der Auswahl der besten Kurvenanpassung kommt als Ähnlichkeitsmetrik die Methode der kleinsten Quadrate zur Anwendung, so dass
gilt, wobei ƒ ein Polynom der Form ƒ(t) = At + B ist.
Durch Veränderung des Skalierungsfaktors ergibt sich ein Offset, der bei der Kurvenanpassung beachtet werden muss. Unter Verwendung des Powell-Optimierungs-Algorithmus [14] werden dann die Parameter A und B iterativ bestimmt, so dass E minimal wird. Der so bestimmte Parameter B wird als Einflusszeitpunkt verwendet.
2.3.2 Bestimmung der Flussgeschwindigkeit
In Anlehnung an das Maximum Slope Model [15] wird aus den zeitlichen Signalverläufen ein Parameter zur Charakterisierung der Flussgeschwindigkeit extrahiert. Hierbei wird die Ableitung der Signalkurve unter Verwendung von Regressionsgeraden näherungsweise bestimmt. Als Flussgeschwindigkeit dient das Maximum der Ableitung der Signalkurve.
2.3.3 Übertragung der hämodynamischen Parameter auf das Gefäßsystem
Um die zeitliche Information der Dynamik des Blutes aus den TREAT-Bilddaten und die räumliche Auflösung der TOF-Bilddaten zu kombinieren, wird zunächst für jedes Voxel der TREAT-Sequenz der Intensitätsverlauf über die Zeit analysiert. In einem weiteren Schritt werden voxelweise die Einströmzeitpunkte und Flussgeschwindigkeiten des Blutes nach der oben beschriebenen Methode berechnet, wodurch das zeitlich-räumliche Datenvolumen auf zwei 3D-Parameterdatensätze reduziert wird.
Um die TREAT- und die TOF-Bildfolgen zu kombinieren, wird in einem ersten Schritt eine 3D-Maximum Intensity Projection (MIP) über alle Zeitpunkte aus den 4D-TREAT Daten berechnet. Die 3D-MIP ermöglicht eine verbesserte Darstellung von charakteristischen Gefäßverläufen. Die daraus entstandenen zusätzlichen Bildinformationen sind hilfreich für den Registrierungsprozess. Für das hier verwendete nicht-lineare B-Spline 3D-3D Registrierungsverfahren wird zunächst mittels Skalierung die Auflösung der 3D-MIP an die der 3D-TOF-MRA Bildsequenz angepasst und anschließend die hochskalierte MIP mit dem TOF-MRA Datensatz unter Verwendung der Mutual Information als Ähnlichkeitsmaß registriert. Die aus dieser Registrierung gewonnene Transformationsmatrix kann dafür verwendet werden, die extrahierten hämodynamischen Charakteristika auf die TOF zu übertragen.
2.4 Analyse des Gefäßsystems
2.4.1 Extraktion des AVM-Nidus
Eine Segmentierung des AVM-Nidus ist die Vorraussetzung, um die klinisch relevanten Parameter wie Größe und Lage einer AVM sowie zuleitende und ableitende Gefäße zu bestimmen. Des Weiteren kann die Information über Lage und Größe des AVM-Nidus für eine lokale Perfusionsanalyse verwendet werden [16].
Die hier vorgestellte Methode zur Detektion des AVM-Nidus basiert auf zwei medizinischen Annahmen:
- Der AVM-Nidus stellt sich im 3D-TOF-Datensatz durch eine lokal erhöhte Dichte von hohen Intensitätswerten dar.
- Das fehlende Kapillarbett im AVM-Nidus führt zu einer erhöhten Flussgeschwindigkeit und dadurch zu einem relativ frühen Einflusszeitpunkt des Kontrastmittels in der AVM.
Diese Eigenschaften sollen benutzt werden, um den AVM-Nidus aus den vorhandenen Bildsequenzen zu extrahieren.
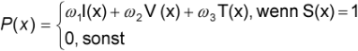
Zur Extraktion des AVM-Nidus wird ein Parameterdatensatz Ρ : Ω → W mit Ω
Z3 und W
{0,1} berechnet, der unter Berücksichtigung der zuvor gemachten Annahmen die Zugehörigkeit für jedes Voxel zum AVM-Nidus charakterisiert. Für jedes Voxel x berechnet sich P(x) durch die gewichtete Summe der Intensität I(x), der Geschwindigkeit des Blutes V(x) und dem relativen Einflusszeitpunkt T(x) (I,V,T : Ω → W):
wobei mit S(x) die Gefäßzugehörigkeit des Voxel betrachtet wird (eine 1 stellt ein Gefäßvoxel dar).
In einem ersten Schritt wird eine Segmentierung S des individuellen Gefäßsystems aus dem 3D-TOF-Datensatz mittels Region-Growing und manueller Korrektur in orthogonalen Sichten generiert. Als Datensatz I dient der 3D-TOF-Datensatz, als Datensatz V der registrierte Flussgeschwindigkeitsdatensatz (siehe Abschnitt 2.2.2). Auf Basis der mittels des 4D-TREAT-Datensatzes berechneten Einflusszeitpunkte und der Segmentierung wird ein mittlerer Einflusszeitpunkt t’ für das Gefäßsystem bestimmt. Für jedes Voxel wird nun der Einflusszeitpunkt t von dem mittleren Einflusszeitpunkt t’ subtrahiert. So entsteht ein 3D-Datensatz T mit relativen Einflusszeitpunkten.
Die Kombination der einzelnen Parameterbilder liefert ein Datensatz, in dem sich der AVM-Nidus durch eine lokale Anhäufung hoher P-Werte darstellt. Um den Nidus hieraus zu extrahieren werden die auftretenden P-Werte für jede Schicht in axialer Richtung aufsummiert. In einem weiteren Schritt werden dann Mittelwert und Maximum bestimmt. Dieses wird analog für die koronaren und sagittalen Ebenen durchgeführt. Ausgehend von den Mittelwerten kann eine Boundingbox berechnet werden, in der sich der AVM Nidus befindet (Abbildung 3 [Abb. 3]). Neben dem AVM-Nidus können sich in der so bestimmten Boundingbox auch noch weitere Gefäße befinden, die innerhalb der Bounding Box keine Verbindung zu diesem aufweisen. Um diese auszuschließen wird in einem abschließenden Schritt eine Zusammenhangsanalyse durchgeführt, wobei die größte Komponente den AVM-Nidus darstellt.
Abbildung 3: Farbcodierte Darstellung des AVM-Nidus (grün) auf TOF-MRT (a), aufsummierte P-Werte für alle Schichten in axialer, coronaler und sagittaler Ebene (b-d) und 3D-Oberächenmodell des AVM-Nidus (e)

2.4.2 Definition von Drainagevenen, Feeder und „en-passage“-Gefäßen
Auf Basis des extrahierten Nidus kann mit Hilfe der übertragenen Einflusszeitpunkte ein mittlerer Einflusszeitpunkt des Nidus bestimmt werden. In einem weiteren Schritt werden die Gefäßvoxel in der näheren Umgebung zum AVM-Nidus analysiert. Gefäßteile, die keine Verbindung zum AVM-Nidus aufweisen, werden als „en passage“ eingeordnet. Für die verbliebenen Gefäßvoxel werden die dazugehörigen Einflusszeitpunkte des Kontrastmittels analysiert. Voxel, die einen früheren Einflusszeitpunkt aufweisen als der AVM-Nidus, werden als Feeder eingeordnet, Voxel die einen späteren Einflusszeitpunkt aufweisen als Drainagevenen. In einem Nachverarbeitungsschritt werden einzelne Voxel, die falsch klassifiziert wurden, durch eine Nachbarschaftsanalyse detektiert und korrigiert.
3 Ergebnisse
Bei der Entwicklung der Analyse und Visualisierungstechniken von AnToNIa standen 18 Datensätze von Patienten mit einer diagnostizierten AVM zur Verfügung. Zur Evaluation erster Ergebnisse wurde in den TOF-MRT-Bilddaten aller Patienten das Gefäßsystem segmentiert und ein Oberflächenmodell erzeugt. Anschließend wurden in 4D-TREAT-Datensätzen Einströmzeitpunkte und Flussgeschwindigkeiten berechnet und auf Basis der vorgestellten Methode zur Kombination der TOF- und TREAT-Datensätze auf das 3D-Oberflächenmodell und auf die 2D-TOF-Schichtbildern übertragen. Dort können die extrahierten hämodynamischen Informationen farbkodiert dargestellt werden (Abbildung 4 [Abb. 4]).
Abbildung 4: TOF-Schicht mit Einflusszeitpunkten farbüberlagerter Segmentierung (links) , Oberflächenmodell mit farbkodierten Einflusszeitpunkten (mitte), farbkodierte Darstellung der Feeder (rot), Drainagevenen (blau) des AVM Nidus (grün) sowie „en passage“-Gefäße (gelb) auf 3D-Oberflächenmodell (rechts)

Durch die hier vorgestellte Methode zur Bestimmung der Einflusszeitpunkte durch Kurvenanpassung ist es im Vergleich zur Verwendung von konventionellen Parametern möglich, die zeitliche Auflösung zu steigern. Wesentlicher Vorteil der Methode ist, dass die Anzahl von starken zeitlichen Sprüngen zwischen den Einflusszeitpunkten zweier benachbarter Voxel deutlich verringert werden konnte. Eine visuelle Begutachtung durch erfahrene Neuroradiologen ergab, dass bei Verwendung der vorgestellten Methode zur Charakterisierung des Blutflusses dieser qualitativ besser dargestellt werden kann als bei der Verwendung konventioneller Parameter. Die Laufzeit der hier vorgestellten Methode ist ca. 5-mal höher als die zur Extraktion der konventionellen Parameter.
Zur Evaluation der automatischen Detektion der AVM-Nidi wurden diese in den zur Verfügung stehenden Datensätzen von Neuroradiologen manuell segmentiert. Erste Ergebnisse der automatischen Detektion im Vergleich zu der manuellen Segmentierung ergab eine durchschnittliche Volumenübereinstimmung von 88% und eine Sensitivität von 76%, bei w1, 2, 3 = 1. Die Ergebnisse der automatischen Detektion wurden von den medizinischen Experten als qualitativ wertvoll eingestuft. Die benötigte Zeit für die automatische Detektion lag bei ca. 5 Minuten, wobei bei der vorgestellten Methode keine Benutzinteraktion von Nöten ist, im Vergleich zu durchschnittlich 30 Minuten, die für die manuelle Segmentierung benötigt wurde.
Für die Beurteilung der automatischen Detektion von Drainagevenen und Feeder wurden diese in einem ersten Schritt durch Experten, auf Basis von medizinischem Wissen bestimmt und die Ergebnisse mit der automatischen Detektion verglichen. Dabei zeigte sich, dass durch die vorgestellte Methode eine Genauigkeit von 95% erreicht wurde. Die Ergebnisse der automatischen Detektion von AVM-Nidus, Drainagevenen, Feeder und „en passage“-Gefäßen können ebenfalls farbüberlagert in den 2D-TOF Schichtbildern und auf einem 3D-Oberflächenmodell des Gefäßsystems dargestellt werden (Abbildung 4 [Abb. 4]).
Die interaktive Navigation im 3D-Raum, Rotation und Zooming, sowie das optionale Ein- und Ausblenden der Zeitinformation von Gefäßstrukturen trägt wesentlich zur diagnostischen Unterstützung bei der Beurteilung von zerebralen Gefäßmissbildungen bei. Die kombinierte Darstellung von Anatomie und Hämodynamik erlaubt einen Informationsgewinn gegenüber der Diagnostik mittels DSA und MRA bzw. CTA.
4 Diskussion
Es wurden neue Verfahren zur Visualisierung und Analyse von AVM präsentiert. Hierbei wurden aus zeitlich-räumlichen 4D-TREAT-Datensätzen Parameter für die Hämodynamik extrahiert und nach nicht-linearer Registrierung mit räumlich hochaufgelösten 3D-TOF-Bilddaten kombiniert visualisiert und analysiert. Dabei können die extrahierten Parameter optional als starre Farbüberlagerung in den TOF-Schichten und im 3D-Gefäßmodell dargestellt werden. Weiterhin wurde ein Verfahren zur Analyse der Hämodynamik präsentiert. Hierbei wurde mittels Kurvenanpassung ein gegebener zeitlicher Signalverlauf an eine Referenzkurve angepasst. Geschwindigkeitsunterschiede des Blutflusses wurden durch die Skalierung der Kurven mit berücksichtigt.
Es wurde ein neues Verfahren zur Detektion des AVM-Nidus sowie der zuleitenden, ableitenden und „en passage“-Blutgefäße präsentiert. Eine erste Evaluation der automatischen Detektion des AVM-Nidus ergab eine
Übereinstimmung des Zielvolumens von ca. 88% im Vergleich zu der manuellen Segmentierung. Um fundierter Aussagen über die Genauigkeit der vorgestellten Methode machen zu können, sind manuelle Segmentierungen von weiteren Experten im Bereich der Neuroradiologie notwendig, da auf Grund der hohen Komplexität der Struktur der AVM mit einer hohen Inter-Observer-Varianz zu rechnen ist. Die durchschnittliche Zeit von ca. 5 min, die für die automatische Detektion benötigt wird und währenddessen keine Benutzerinteraktion von Nöten ist, stellt im Vergleich zu den 30 min, die im Mittel für die manuelle Segmentierung benötigt wird, eine deutliche Zeitersparnis dar. Die Detektion von zuleitenden und ableitenden Gefäßen wurden von erfahrenen Neuroradiologen als hilfreich insbesondere für die Diagnose und Therapieplanung eingestuft.
Für die nähere Zukunft ist geplant, die Laufzeit des Algorithmus zur Bestimmung der Einflusszeitpunkte zu verringern. Zusätzlich soll die vorgestellte Methode zur Definition von Einflusszeitpunkten quantitativ anhand von Flussphantomen evaluiert werden.
Anmerkungen
Interessenkonflikte
Keine angegeben.
Danksagung
Diese Arbeit wurde von der Deutschen Forschungsgemeinschaft gefördert (Ha2355/10-1).
Literatur
[1] Choi JH, Mohr JP. Brain arteriovenous malformations in adults. Lancet Neurol. 2005;4(5):299-308. DOI: 10.1016/S1474-4422(05)70073-9[2] Al-Shahi R, Warlow C. A systematic review of the frequency and prognosis of arteriovenous malformations of the brain in adults. Brain. 2001;124(10):1900-26. DOI: 10.1093/brain/124.10.1900
[3] Grzyska U. Hamburger Konzept bei zerebralen arteriovenösen Malformationen [Treatment of cerebral arteriovenous malformations: Hamburg Concept]. Clin Neuroradiol. 2004(1);14:41-7. DOI: 10.1007/s00062-004-5375-5
[4] Spetzler RF, Martin NA. A proposed grading system for arteriovenous malformations. J Neurosurg. 1986;65(4):476-83. DOI: 10.3171/jns.1986.65.4.0476
[5] Fasulakis S, Andronikou S. Comparison of MR angiography and conventional angiography in the investigation of intracranial arteriovenous malformations and aneurysms in children. Pediatr Radiol. 2003;33(6):378-84.
[6] Bullitt E, Aylward S, Bernard EJ, Gerig G. Computer-assisted visualization of arteriovenous malformations on the home personal computer. Neurosurgery. 2001;48(3):576-82. DOI: 10.1097/00006123-200103000-00024
[7] Nyui Y, Ogawa K, Kunieda E. Extraction of arteriovenous malformation with factor analysis. Image Processing, 2000 Proceedings. 2000;2:621-4. DOI: 10.1109/ICIP.2000.899514
[8] Fink C. Ley S, Kroeker R, Requardt M, Kauczor MU, Bock M. Time-resolved contrast-enhanced three-dimensional magnetic resonance angiography of the chest: combination of parallel imaging with view sharing (TREAT). Invest Radiol. 2005;40(1):40-8.
[9] Laub G, Gaa J, Drobnitzky M. Techniken Der Magnetresonanz-Angiographie. Electromedica. 1998;66(2):62-70.
[10] Kholmovski E, Alexander A, Parker D. Correction of slab boundary artifact using histogramm matching. J Magnetic Resonance Imaging. 2002;15:610-7. DOI: 10.1002/jmri.10094
[11] Styner M, Gerig G, Brechbuehler C, Szekely G. Parametric estimate of intensity inhomogeneities applied to MRI. IEEE Transaction On Medical Imaging. 2000;19(3):153-65. DOI: 10.1109/42.845174
[12] Perona P, Malik J. Scale-space and edge detection using anisotropic difusion. IEEE Transaction On Pattern Analysis Machine Intelligence. 1990;12(7):629-39. DOI: 10.1109/34.56205
[13] Shpilfoygel SD, Close RA, Valentino DJ, Duckwiler GR. X-ray videodensitometric methods for blood flow and velocity measurement: a critical review of literature. Med Phys. 2000;27(9):2008-23. DOI: 10.1118/1.1288669
[14] Press WH, Teukolsky SA, Vetterling WT. Numerical Recipes in C. 2nd ed. Cambridge: University Press; 1993.
[15] König M, Klotz E, Heuser, L. Zerebrale Perfusions-CT – Theoretische Grundlagen, methodische Realisierung und praktische Erfahrungen in der Diagnostik des ischämischen Hirninfarktes. Fortschr Rontgenstr. 2000;172(3):210-8. DOI: 10.1055/s-2000-109
[16] Säring D, Forkert ND, Fiehler J, Piening M, Handels H. Analyse des zerebralen Blutflusses bei arteriovenösen Malformationen unter Verwendung von 3D MRA und ASL Bilddaten. In: Kongress Medizin und Gesellschaft 2007; Augsburg, 17.-21.09.2007. Düsseldorf: German Medical Science GMS Publishing House; 2007. Doc 07gmds674 Available from: http://www.egms.de/en/meetings/gmds2007/07gmds674.shtml



