References for electrophysiological measurements for intraoperative verification of placement for several types of CI electrodes
Oliver C. Dziemba 1Parwis Mir Salim 2
Alexander Müller 2
1 Departement of Otorhinolaryngology, Head and Neck Surgery, University Medicine Greifswald, Greifswald, Germany
2 Clinic for ENT, Hearing Center Berlin (HZB), Vivantes Klinikum im Friedrichshain, Berlin, Germany
Abstract
Quality assured implantation and fitting of cochlear implants (CI) is based on several pre-, intra- and postoperative audiological measurement methods. Verification of CI electrode position is an important part of the intraoperative measurements during the implantation. Postoperative electrode localization checks are usually based on CT scan and conventional X-Ray and lead to an additional radiation exposure for the patient. Spread of Excitation measurement (SOE) is an alternative intraoperative electrophysiological method avoiding especially postoperative imaging techniques. Several studies have shown that this objective method can detect a “tip foldover” and is therefore suitable as a fast and cost efficient procedure to detect electrode displacements during the procedure. For evaluation this method needs standardized measurement protocols and electrode specific normal values. In our study this was performed, analyzed and discussed in 37 patients using different electrodes.
Keywords
cochlear implants, intraoperative measurements, spread of excitation, position contro, screening
Introduction
The treatment of severe to profound hearing loss using a cochlear implant (CI) has been established for many years. The treatment is divided into four successive phases. Preoperative diagnostics with indication and planning of the operation are at the beginning of CI treatment. During the surgical phase, the implant and the electrodes required for electrostimulation are implanted. The basic therapy and the subsequent lifelong follow-up therapy train, evaluate and document the hearing success. This multidisciplinary care concept is condensed in a Sk2 guideline [1].
Audiological services are an essential part of a multidisciplinary therapy concept in all phases of CI care. The type and scope of these audiological services were published as a basic recommendation in a consensus paper by the German Society of Audiology (DGA) [2].
The surgical phase in particular comprises three important audiological tasks: testing the integrity of the implant, testing the neural coupling of the implanted electrode array and checking its position. A number of equivalent methods are available for these three tasks, the choice of which should be made depending on the situation [3].
Currently, projection radiologic control (images according to Schüller or Stenvers) is the “gold standard” for assessing the position of the electrode array [4], [5]. From a radiation hygiene and economic point of view, functional diagnostic procedures offer an alternative for documenting the correct electrode position. In the work of Walkowiak et al. [6] and Grolman et al. [7], spread of excitation (SOE) measurements were described for intraoperative electrophysiological position monitoring of the inserted CI electrode array. Such a procedure would represent an objective, fast and cost-effective measurement method, which would only have to be followed by a radiological examination if the results could not be interpreted well enough. It could also offer the surgeon the opportunity to correct the position of the electrode array intraoperatively.
According to Grolman et al. [7], the measurement and especially the evaluation of intraoperative SOE measurements have so far been highly dependent on the examiner. Grolman et al. [7] describe that the intraoperative measurements and the assessment of the position of the electrode array were performed by a qualified and experienced audiologist in all but one cases. In this one case, the correct position of the electrode array was not recognized by a qualified but less experienced audiologist.
The comparison of individual measurements with data from a comparison group within a measurement method is a proven means of evaluating normal values. Test procedures, for example in the sense of screening, require a clearly described test range and stable comparative values. Such standards are desirable for intraoperative position monitoring of CI electrode wearers.
Objective
To date, there is no established standard for monitoring the position of CI electrode wearers using SOE measurements. Uniform stimulation and measurement conditions as well as comparative values in the sense of normal data are fundamental for their diagnostic use. In order to optimize the stimulation and measurement conditions for the SOE measurement, the following objectives were set for this study:
- Creation of an intraoperatively robust and time-effective measurement setup
- Inter-individual comparability of the measurement results
- Determination of a reference standard for position control independent of the electrode holder
In the following, the authors present their test setup for intraoperative electrophysiological position monitoring of the implanted CI electrode array. The SOE measurements obtained with different electrode arrays and a standardization procedure are then discussed.
Methods
Patients
This prospective, bi-center study included 37 patients (22 female/15 male) with unilateral or bilateral deafness who were implanted or reimplanted in Greifswald or Berlin between August 2013 and December 2015. Preoperative diagnostics excluded absolute and relative contraindications as defined by the guideline [1] for CI treatment in all patients.
The patients were fitted with Cochlear™ Nucleus® CI24RE, CI422, CI512 or CI522 implants. A Slim-Straight electrode array was implanted in 17 cases and a Contour Advance™ electrode array in 20 cases. Electrode insertion was complete and without complications in all cases. Postoperative monitoring confirmed correct electrode position at the latest at the time of initial fitting. This was confirmed radiologically or by subjectively checking the tonotopy of all intracochlear electrodes in accordance with Battmer [8].
After processing and analyzing all individual intraoperative measurement data (ECAP thresholds or SOE), the patients were included in or excluded from the comparison group. A total of 34 patients (21 female/13 male) with unilateral or bilateral-sequential CI initial treatment were included in this comparison group. In the case of bilateral-sequential treatment, the last ear treated was included. The age of these patients at the time of fitting ranged from 8 months to 76 years with a mean age of 24.6 years. The number of electrode types in the comparison group was 15 Slim-Straight and 19 Contour Advance™. The inclusion parameters are described below.
Three patients (1 female/2 male) could not be included in the comparison group. These are discussed separately. The inclusion and exclusion criteria are presented in detail below.
Intraoperative measurements
The manufacturer’s clinical software Custom Sound® EP 4.x (CS EP) was used for all intraoperative measurements.
Immediately after insertion of the electrode array into the cochlea and placement of the reference electrode, the following measurements were performed:
- Impedance telemetry
- Triggering of the electrically evoked stapedius reflex with successive stimulation of individual electrodes.
- Measurement and threshold determination of electrically evoked compound action potentials (ECAP) of all intracochlear (22) electrodes in AutoNRT mode (250 Hz stimulation rate, 25 µs phase duration, 35 averages)
- Position control measurement – Spread of Excitation (SOE)
After wound closure, a final impedance telemetry was performed.
For the position control measurement, a “Spread of Excitation” (SOE) measurement series selectable in the CS EP software was modified. The choice of stimulation electrode was based on its position outside an expected foldover area of the electrode array [7]. Müller et al. [9] describe a range of intracochlear electrodes 9 to 13 with the lowest scatter of the ECAP threshold in intraoperative measurements. Therefore, electrode 13 was determined to be the active stimulation electrode. Missing individual measurements were added to the preset measurement series to obtain a complete series in the apical electrode direction. The basic settings are shown in Table 1 [Tab. 1]. The modified measurement series was saved in the CS EP as a template and used unchanged.
Table 1: Settings for the Spread of Excitation measurement for the position control of the CI electrode array in the Custom Sound EP 4.x software (Cochlear® Ltd.). The table contains the settings of the “Basic Parameter Set”. The settings of the “Advanced Parameter Set” were not changed after creating a “Spread of Excitation” series. The stimulation intensity was selected according to the ECAP threshold (AutoNRT) of electrode 13.
Depending on pathological changes in the inner ear (e.g. ossification, malformation) and the type and position of the electrode array in the scala tympani, the ECAP threshold (AutoNRT) is an indirect measure of the quality of the electrode coupling to the neuronal structure and is subject to great interindividual variability (cf. [9]). Nevertheless, in order to enable interindividual comparability of the SOE measurement series, the SOE was measured in all cases at approximately the stimulation intensity (current units [cu]) which was found as the ECAP threshold of electrode 13 in AutoNRT mode. The phase duration for stimulation of the SOE measurement was doubled to 50 µs compared to the AutoNRT algorithm. The orientation to the ECAP threshold thus only serves as an inter-individual normalization point.
Evaluation and data analysis of the ECAP measurements and inclusion criterion in the comparison group
All measurement series were also evaluated using the CS EP software.
All ECAP measurements (AutoNRT and SOE) were low-pass filtered at 4 kHz [10]. Following Hey and Müller-Deile [11], ECAP measurements with an N1-P1 amplitude of less than 10 µV were not considered.
The threshold evaluation of the ECAPs from the AutoNRT of electrode 13 was performed manually. The lowest stimulation intensity with recordable ECAP amplitude was designated as the “visual T-NRT”. Furthermore, the software-internal regression was used to determine the “extrapolated T-NRT”.
Within each SOE measurement series, the positions of the markers for the N1 and P1 latency were set the same for all individual measurements based on the clearly suprathreshold ECAP amplitudes. The masker stimulation at electrode 15 led to an incorrect measurement in all cases, as this was used as a recording electrode (cf. Table 1 [Tab. 1]).
The data analysis for inclusion in the comparison group was carried out in two steps. Only those measurement series were included whose ECAP threshold measurement (AutoNRT) could be classified as a “normal case” according to Müller et al. [9] – criterion 1. If the ECAP amplitudes of the subsequent SOE measurement showed a strictly monotonically decreasing course in the apical direction – criterion 2, this SOE measurement series was included in the comparison group. From these data, the position and scattering measures of the individual electrode types were determined in absolute terms. For an analysis of the data independent of the respective implanted electrode type, the position and scatter dimensions of all measurement series were created in normalized representation. The distribution of electrode-specific measured values between the Contour Advance™ and Slim-Straight electrode categories was analyzed using the Wilcoxon rank sum test for unpaired samples. Subsequently, individual SOE measurement series that could not be included in the comparison group were compared with these results.
Table 2 [Tab. 2] lists the mean values and standard deviation of the two ECAP threshold determination methods for the threshold determination of electrode 13 and, for comparison, the mean stimulation intensity of all SOE measurements of the comparison group.
Table 2: The manual evaluation of the AutoNRT thresholds measured during stimulation of electrode 13 of all measurement series of the comparison group. The lowest stimulation intensity with recordable ECAP amplitude was designated as “visual T-NRT”. The software-internal regression for determining the ECAP threshold was labeled “extrapolated T-NRT”. The stimulation intensity for the SOE measurement was selected approximately at visual T-NRT. The table shows the mean values and standard deviation of the values of all measurement series included in the comparison group.
Results
Electrode type-specific results
Figure 1 [Fig. 1] shows the electrode type-specific position and scattering mass of the measurement results of typical SOE amplitude curves. While the absolute ECAP amplitudes are significantly higher when using the Contour Advance™ electrode array than when using the Slim Straight electrode array, both electrode arrays show a similar monotonically decreasing amplitude curve in the apical direction. The dispersion of the absolute values of the ECAP amplitudes is significantly greater with the Contour Advance™ electrode array.
Figure 1: Spread of excitation measured during stimulation of electrode 13. The complete ECAP amplitude curve of the electrode types Contour Advance™ (white, N=19) and Slim Straight (gray, N=15) is shown separately above the stimulation position of the masking pulse. The boxes show the median and the quartiles. The whiskers show the absolute dispersion.
Standardization of the results
In order to create the possibility of a comparison of the SOE profile independent of the electrode type, each individual measurement series was normalized. The normalization is based on the division by the value of the absolute ECAP amplitude during Masker stimulation of electrode 14, as this showed the maximum ECAP amplitude in the median for both electrode types. Figure 2 [Fig. 2] shows the scattering of the measured values which lie up to twice the interquartile range around the median. There are electrode type-specific differences with regard to the scattering of the measured values. However, the median does not show any significant differences in the course. The statistical comparison of the measured values across the Contour Advance™ and Slim Straight electrode arrays did not prove to be significantly different.
Figure 2: Normalized representation of the spread of excitation measured during stimulation of electrode 13. Normalization was performed individually to the ECAP amplitude during masking stimulation of electrode 14. The normalized ECAP amplitude curves of the electrode types “Contour Advance™” (white, N=19) and “Slim Straight” (grey, N=15) are shown separately above the stimulation position of the masking pulse. The boxes show median and quartiles. The whiskers show the twofold interquartile range.
In the range of masker stimulation between electrodes 14 to 22 and 1 to 14, exponential functions were approximated to the mean value of the normalized ECAP amplitudes of all 34 measurement series (Figure 3 [Fig. 3]). These functions can be described by the following equations:
y1=3.9093 e–0.096x for [22≥x≥14]
Figure 3: Position and spread of all values. The boxes show the median and quartiles, the whiskers the twofold interquartile range. The constrictions illustrate the 95% confidence interval of the median. The trend lines were approximated to the median in the areas around electrode 13.
y2=0.0114 e0.3616x for [13≥x≥1]
The coefficient of determination of this exponential function resulted in:
R1=0.9924 for [22≥x≥14]
R2=0.9469 for [13≥x≥1]
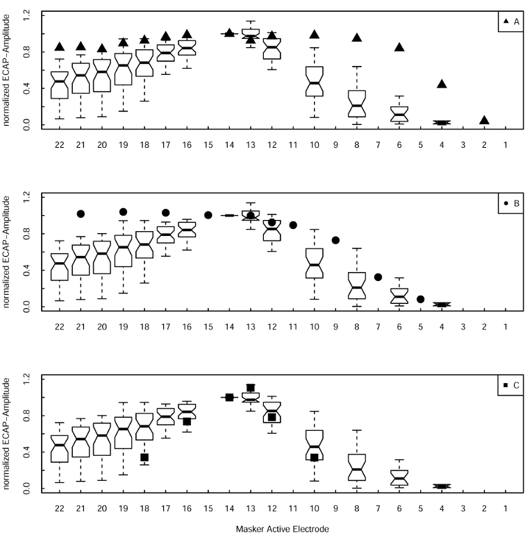
Not inconspicuous position of the electrode array
An actual malposition (tip foldover) of an implanted electrode array has never been documented intraoperatively. Figure 4 [Fig. 4] shows three examples in which a conspicuous position of the electrode array could not be confirmed when comparing the measurement series to the reference. In such cases, the position of the electrode array was described as “not inconspicuous”. The measurement series of the individual examples were compared against the median and the spread of the quartiles of the reference group. The subsequent postoperative position check confirmed the correct position of the electrode array in all three cases.
Figure 4: Examples of “inconspicuous” spread of excitation measurement series in normalized representation. The constrictions mark the 95% confidence interval of the median and the quartiles. The whiskers show the simple interquartile range of the entire comparison group. Example A (male, 54 years, CI522) shows an insufficiently falling amplitude curve Example B (male, 32 years, CI422) shows a measurement series with a horizontal amplitude curve. Example C (female, 43 years old, CI24RE, re-implantation) shows an excessively steep amplitude curve.
Discussion
The design of the electrode array plays a significant role in the measurement and evaluation of electrically evoked compound action potentials (ECAP). With perimodiolar electrode array designs, ECAP thresholds can be measured at significantly lower stimulation levels [12], [13]. The electrode array-specific measurement results of the spread of excitation measurements shown in Figure 1 [Fig. 1] illustrate this correlation. The stimulation level for the SOE measurement was selected depending on the individually measured ECAP threshold (electrode 13). It can be seen that a significantly higher ECAP amplitude is detectable in perimodiolar electrode arrays. Likewise, the ECAP amplitude scattering within the SOE measurement series varies depending on the electrode.
The SOE measurement for assessing the position of the electrode array is based on an evaluation of the influence of a masking stimulus (masker) on the ECAP amplitude at different spatial distances from the actual measuring pulse (sample). The apical region is of particular interest when evaluating the position, especially with regard to possible tip foldover. The SOE measurement series measured with the same stimulation pattern on different CI electrode arrays show a very homogeneous course in the normalized representation (Figure 2 [Fig. 2]). An apparent observation of the course of the median between electrodes 14 to 22 shows an almost congruent course of the electrode-specific SOE measurement series. The normalized representation also clearly shows the increasing variability with the distance of the masker. Assuming that misalignments of the electrode support in the sense of a “tip foldover” occur in the apical area of the electrode array, a detailed examination of the basal area was omitted.
For the electrode-independent analysis, the position and scattering values of all measurement series were shown. Since a normal distribution cannot be assumed for the measurement data, it is not expedient to consider the mean value here. The exponential course of the median, primarily in the apical direction, with a coefficient of determination of over 99% can be interpreted as a clear measure of the robustness of this method.
The standardized measurement results show that when using an SOE stimulus paradigm based on the previously determined ECAP threshold, a comprehensive evaluation for position control of different electrode arrays of a CI manufacturer can be performed. Our results also show that the determination of specific standardized data for certain electrode arrays is possible with regard to the accuracy of the method, but does not necessarily have to be carried out with regard to a general screening procedure specific to a manufacturer.
The spread of excitation measurement is a fast and reliable examination method for checking the position of the electrode array. As an integral part of intraoperative measurements, it is also not associated with any additional stress or risk for the patient. Compared to routine radiological position checks, this method is a very time-efficient alternative with an intraoperative measurement time of less than 2 minutes.
Examples of “inconspicuous” position of the electrode array
The diagrams in Figure 4 [Fig. 4] document SOE measurement laths in which a correct position of the electrode support could not be confirmed in comparison to the normal values.
A borderline case is shown in Figure 4A [Fig. 4] of a male patient (54 years, CI522). Although there is a hint of a falling SOE profile here, the profile does not follow the exponential course of the trend line (cf. Figure 3 [Fig. 3]). A deviation from the monotony can be seen particularly in the area of electrodes 20 to 22. The stimulation to SOE took place at 170 cu and is thus about 25 cu below the average stimulation intensity of comparable SOE measurements. In contrast to the procedure described above, the measurements were carried out after wound closure. No other external influencing factors were observed. It should be noted that changes in the surgical procedure can cause changes in the boundary conditions of the ECAP measurements, which can influence the evaluation of the SOE result.
The ECAP thresholds of the AutoNRT of the second example (Figure 4B [Fig. 4], male, 32 years, CI422) were visual T-NRT=224 cu and extrapolated T-NRT=221.9 cu. Thus, the SOE measurement was performed at a stimulation level of 220 cu. The non-monotonically decreasing course of the ECAP amplitudes can be interpreted here as an almost completely saturated excitation of the cochlea by the electric field of the masking pulse. The mean stimulation level of the SOE measurements of the normal group was 195 cu. Consequently, SOE measurements at significantly higher stimulation levels compared to the control group can lead to false-negative results when assessing the position of the electrode array.
The measurement series of the third example (Figure 4C [Fig. 4]) of a 43-year-old female patient was taken during CI revision surgery with a CI24RE. The stimulation level of the SOE was selected at 195 cu. Nevertheless, no complete SOE profile was measurable with masker stimulation of the apical electrodes. An SOE profile with a clearly steeper decline was observed. It can be assumed that the intraoperative conditions during CI revision surgery were so altered that the measurability of ECAP was impaired.
Limits of the procedure and outlook
There are also limits to purely electrophysiological position monitoring. The clear measurability of ECAP is a mandatory prerequisite for such a method. ECAPs cannot be measured or can only be measured poorly if the electrode integrity is insufficient. The absolute stimulation intensity is also a limiting factor in SOE measurement. The values shown in Figure 4 [Fig. 4] illustrate that at very high stimulation levels the influence of the masker along the electrode array does not decrease strongly enough. This leads to an insufficiently steep exponential curve and thus to false-negative test results. However, too low stimulation can also lead to false-negative results. If no usable ECAP can be measured during apical mask stimulation, no statement can be made about the course of the SOE. Although an actual radiologically confirmed malposition of the implanted electrode array was not found in any of the 34 cases, the results shown in Figure 4 [Fig. 4] show the potential of this method for an intraoperative screening procedure to detect such a malposition. Especially in connection with the intraoperative measurability of ECAPs [9] and the associated possibility of classification, an intraoperative, multi-stage, ECAP-based screening procedure can lead to an even safer CI fitting. Only in the case of inconclusive ECAP or SOE measurement results would radiological imaging examinations be necessary as a follow-up. The work of Mittmann et al. [14] represents an addition to the electrophysiological inventory of methods for intraoperative position monitoring of an implanted perimodiolar electrode array with regard to scale breakthroughs.
Current developments in the field of CI fitting aim to achieve the most atraumatic insertion possible with maximum residual hearing retention by using even thinner and more fragile electrode array designs. This development is clearly to be welcomed in terms of improving the quality of care. In the authors’ opinion, the risk of malposition of implanted electrode arrays could increase with such electrode designs. Electrophysiological position monitoring is gaining in importance against the background of a cost- and time-efficient surgical phase of CI fitting. Intraoperative multi-stage CI electrode screening would fulfill this task.
Notes
Competing interests
The authors declare that they have no competing interests.
References
[1] Lenarz T, Laszig R; Deutsche Gesellschaft für Hals-Nasen-Ohren-Heilkunde, Kopf- und Hals-Chirurgie eV. S2k-Leitlinie Langfassung „Cochlea-Implantat Versorgung und zentral-auditorische Implantate“; AWMF-Register-Nr. 017/071. 2012 May.[2] Deutschen Gesellschaft für Audiologie. Audiologische Leistungen nach der CI-Indikation: Empfehlungen der Deutschen Gesellschaft für Audiologie, Frankfurt 2014. Z Audiol. 2015;54(1):36-7.
[3] Wesarg T, Arndt S, Aschendorff A, Laszig R, Zirn S. Intraoperative audiological-technical diagnostics during cochlear implant surgery. [Intraoperative audiologisch-technische Diagnostik bei der Cochleaimplantatversorgung]. HNO. 2014;62:725-34. DOI: 10.1007/s00106-014-2936-z
[4] Copeland BJ, Pillsbury HC, Buchman CA. Prospective evaluation of intraoperative cochlear implant radiographs. Otol Neurotol. 2004;25:295-7.
[5] Theunisse HJ, Joemai RMS, Maal TJJ, Geleijns J, Mylanus EAM, Verbist BM. Cone-Beam CT Versus Multi-slice CT Systems for Postoperative Imaging of Cochlear Implantation – A Phantom Study on Image Quality and Radiation Exposure Using Human Temporal Bones. Otol Neurotol. 2015;36:592-9. DOI: 10.1097/MAO.0000000000000673
[6] Walkowiak A, Kostek B, Lorens A, Obrycka A, Wasowski A, Skarzynski H. Spread of Excitation (SoE) – A Non-Invasive Assessment of Cochlear Implant Electrode Placement. Cochl Impl Int. 2010;11:479-81. DOI: 10.1179/146701010X12671177204787
[7] Grolman W, Maat A, Verdam F, Simis Y, Carelsen B, Freling N, Tange RA. Spread of Excitation Measurements for the Detection of Electrode Array Foldovers: A Prospective Study Comparing 3-Dimensional Rotational X-ray and Intraoperative Spread of Excitation Measurements. Otol Neurotol. 2009;30:27-33. DOI: 10.1097/MAO.0b013e31818f57ab
[8] Battmer RD. Die Anpassung des Clark/NUCLEUS Cochlear Implant. In: Lehnhardt E, Hirshorn MS, editors. Cochlear Implant: Eine Hilfe für beidseitig Taube Überblick über das 22-kanalige Cochlear Implant nach Clark/NUCLEUS. Berlin, Heidelberg: Springer Berlin Heidelberg; 1987.
[9] Müller A, Hocke T, Mir-Salim P. Intraoperative findings on ECAP-measurement: Normal or special case? Int J Audiol. 2015;54:257-64. DOI: 10.3109/14992027.2014.969410
[10] Arbeitsgemeinschaft Deutschsprachiger Audiologen, Neurootologen und Otologen (ADANO). Empfehlungen der Arbeitsgemeinschaft Deutschsprachiger Audiologen und Neurootologen (ADANO) zur Durchführung der Elektrischen Reaktions-Audiometrie mit transienten Potentialen: Erarbeitet von der Arbeitsgruppe ERA (AGERA) der ADANO; 06.10.2006.
[11] Hey M, Müller-Deile J. Accuracy of measurement in electrically evoked compound action potentials. J Neurosci Methods. 2015:214-22. DOI: 10.1016/j.jneumeth.2014.10.012
[12] Telmesani LM, Said NM. Effect of cochlear implant electrode array design on auditory nerve and behavioral response in children. Int J Pediatr Otorhinolaryngol. 2015;79:660-5. DOI: 10.1016/j.ijporl.2015.02.008
[13] Gordin A, Papsin B, James A, Gordon K. Evolution of cochlear implant arrays result in changes in behavioral and physiological responses in children. Otol Neurotol. 2009;30:908-15. DOI: 10.1097/MAO.0b013e3181b236b0
[14] Mittmann P, Todt I, Wesarg T, Arndt S, Ernst A, Hassepass F. Electrophysiological Detection of Intracochlear Scalar Changing Perimodiolar Cochlear Implant Electrodes: A Blinded Study. Otol Neurotol. 2015;36:1166-71. DOI: 10.1097/MAO.0000000000000766



